Journal of the Society of Naval Architects of Korea
[ Research Paper ]
Journal of the Society of Naval Architects of Korea - Vol. 63, No. 1, pp.21-28
ISSN: 1225-1143 (Print) 2287-7355 (Online)
Print publication date 20 Jan 2026
Received 04 Sep 2025 Revised 28 Nov 2025 Accepted 12 Dec 2025
DOI: https://doi.org/10.3744/SNAK.2026.63.1.21

회류수조 자유수면 하부 유속 결손 완화를 위한 액체밀봉형 가속 로터 수치해석

박주열1 ; 옌카이청2 ; 나인강1 ; 오정근1 ; 함연재3 ; 김효철4 ; 서대원1,
1국립군산대학교 조선해양공학과
2절강해양대학교 로봇공학과
3㈜시즈
4서울대학교 조선해양공학과
Numerical Study on Liquid-Sealed Acceleration Rotor for Velocity Deficit Reduction Beneath Free Surface in a Circulating Water Channel
Ju-Yeol Park1 ; Kaicheng Yan2 ; In-Kang Ra1 ; Jung-Keun Oh1 ; Younjae Ham3 ; Hyochul Kim4 ; Dae-Won Seo1,
1Department of Naval Architecture and Ocean Engineering, Kunsan National University
2Department of Robotics Engineering, Zhejiang Ocean University
3Ciiz Co., Ltd.
4Department of Naval Architecture and Ocean Engineering, Seoul National University

Correspondence to: Dae-Won Seo, dwseo@kunsan.ac.kr

This is an Open-Access article distributed under the terms of the Creative Commons Attribution Non-Commercial License(http://creativecommons.org/licenses/by-nc/3.0) which permits unrestricted non-commercial use, distribution, and reproduction in any medium, provided the original work is properly cited.

Abstract

This study proposes and analyzes a surface flow acceleration rotor system to address the issue of non-uniform flow velocity beneath the free water surface. The system employs a liquid-sealed rotating rotor to induce shear flow, thereby enhancing local velocity distribution and improving flow uniformity. A three-dimensional numerical model was developed using STAR-CCM+, and simulations were conducted under varying rotor installation heights, rotor–casing gaps, and structural configurations. The optimized configuration (Hgap = 47mm, Dgap = 3mm) achieved the best velocity recovery, with a velocity of 0.97. Comparative analysis showed that polygonal-edged casing outperformed rectangular-edged ones by generating more concentrated shear layers, thus improving flow induction efficiency. Furthermore, water temperature variations within the 10–20oC range were found to have negligible influence on velocity recovery. The results provide theoretical and practical guidance for flow field regulation near free surfaces in hydrodynamic experiments and demonstrate potential for engineering applications.

Keywords:

Liquid-sealed acceleration rotor, Velocity deficit, Free surface, Circulating Water Channels(CWC), Computational Fluid Dynamics(CFD)

키워드:

액체밀봉형 가속 로터, 유속 결손, 자유수면, 회류수조, 전산유체역학

1. 서 론

해양공학 및 선박유체역학 분야에서는 다양한 유체-구조 상호작용 현상을 해석하기 위해 모형실험이 여전히 핵심적인 연구 수단으로 널리 활용되고 있다. 특히 자유수면 조건이 포함된 복잡한 유동장, 프로펠러 유동, 해양 구조물 주변의 3차원 비정상 와도 형성 등과 같은 현상은 수치해석이나 이론 모델만으로는 충분한 검증이 어려우며, 고해상도의 계측이 가능한 실험적 접근이 필수적이다(Atsavapranee et al., 2010; Jamin et al., 2025).

전통적으로는 선형 예인 수조(towing tank)에서 축소모형선박을 견인하여 선체 저항이나 운동 특성을 평가해왔다. 하지만 이 방식은 모형을 운동시키고 유체는 정지시켜야 하는 역학적 복합성과 제한된 측정 시간이라는 단점을 갖는다. 이에 반해 회류수조(circulating water channel)는 유체를 움직이고 모형은 고정된 상태로 유지할 수 있어, 시간적으로 안정된 유동장을 확보할 수 있다는 점에서 실험적 이점이 뚜렷하다. 또한 선박 주위 유동 패턴 연구, 저항 실험, 후류(wake) 분석, 트림(trim) 측정 등과 같은 다양한 유체역학 연구를 수행할 수 있으며 제어된 유동환경을 제공한다(Bhavaraju et al., 2015 cited in Varghese et al., 2021). 일례로 Hah et al. (2015)은 선박의 저항성능 평가를 위해 회류수조에서 실험을 수행한 바 있다.

회류수조는 폐쇄 루프(closed-loop) 시스템으로 펌프나 임펠러를 통해 물을 지속적으로 순환시키며, 시험부(test section)는 투명한 관찰창과 함께 유속 제어, 난류 억제, 유동 안정성 확보 등 다양한 실험 조건을 정밀하게 조절할 수 있는 환경을 제공한다. 이는 프로펠러의 단독성능시험(propeller open water test), 복잡한 구조물 주위의 유동 시각화, 입자 영상 유속계(PIV)를 활용한 정량 계측 등 정밀도를 요구하는 실험 분야에서 회류수조의 필요성을 크게 부각시킨다(Tokgöz et al., 2016). 이러한 실험은 예인수조에서도 수행 가능하지만, 회류수조는 시험부 내 유동 조건을 매우 오랜 시간 동안 유지할 수 있다는 장점이 있다. 또한, 유동 가시화의 측면에서 회류수조는 예인수조보다 더 나은 성능을 발휘한다(Ássi, 2005; Chen, 2006; Santos, 2016).

그러나 회류수조의 구조적 장점에도 불구하고 자유수면 아래 영역에서 발생하는 유속 불균일성, 특히 자유수면 부근의 유속 결손 현상은 여전히 해결되지 않은 핵심 문제로 남아있다 (Tamashima et al., 1983). 이 문제는 정적인 벽면 경계층과 공기층이 유동 층간의 마찰로 발생하는 표면 전단 응력(surface shear stress), 경계층 구조의 비선형 특성, 유입 유동 조건의 공간적 불균일성 등에 기인한다. 특히 자유수면 부근의 저속층은 선체 저항 시험에서 저항성능을 왜곡시키고, 해양 구조물 주위의 와도 방출 양상에 영향을 주는 등 실험의 정밀성과 신뢰성에 중대한 영향을 미친다.

이러한 유속 결손 현상을 해결하기 위해 시험부 상류에 프로펠러나 워터젯, 가속 로터 등을 통해 유속을 가속시키는 방법이 개발되었다. 그러나 프로펠러나 워터젯은 유동교란, 유속 균일도 제어의 문제에서 벗어날 수 없었으며, 이에 기존의 가속 로터보다 유속 균일도가 높은 액체밀봉형 가속 로터의 개념이 등장하였다(Tamashima et al., 1983). 하지만 액체밀봉형 가속 로터의 최적 설계안 등의 연구는 현재 부족한 상황이다. 이에 따라 본 연구에서는 실험에 비해 정확도는 다소 떨어지지만 다양한 설계변수로 신속하고 경제적인 검토가 가능한 CFD 해석을 수행하였다 (Choe et al., 2011).

본 연구는 액체밀봉형 가속 로터의 유속 균일도 향상을 위한 설계변수 초기 연구로서, 가속 로터 시스템의 최적 설계안을 도출하기 위해 전산유체역학(CFD) 수치해석 프로그램인 STAR-CCM+를 통해 회류수조의 유속 결손 층을 모사하였다. 주된 설계 변수로는 로터의 설치 깊이와 케이싱간의 간극, 케이싱의 형상으로 변수를 조절하며 유속 프로파일을 비교하여 유속 균일도를 평가하였다.


2. 액체밀봉형 가속 로터

액체밀봉형 가속 로터는 Fig. 1과 같이 자유수면 근처에 설치되며, 고정된 케이싱 내에서 로터 축을 회전시킴으로써 로터 축 사이의 흐름이 가속되어 자유 표면 아래의 속도가 향상된다. Okuno et al. (1988)은 자유수면 표면의 유속 결손 프로파일이 2차원 후류와 유사하며, 로터에 의해 유도된 가속유동 프로파일은 2차원 제트 이론과 유사함을 보였다.

Fig. 1

Velocity profile modification by rotor rotation and free surface velocity deficit

가속 로터의 각속도를 ωR=2πn, 로터 반경을 rR이라 정의하면 로터 표면에서의 접선속도는 ut=ωRrR로 표현할 수 있다. 운동량 보존에 따라 로터에서 생성되는 유도 속도는 케이싱 반경(rC)보다 더 큰 반경 위치에도 형성될 수 있으며, 이 유도 속도는 로터 전방과 후방에서 유속 결손 및 보상 분포를 생성한다. 따라서 로터 반경(rR), 케이싱 반경(rC) 및 로터 회전 속도(ωR)의 정합 설계가 필요하다.

이러한 가속 로터의 설계를 위해 케이싱 개구부 인근의 속도 분포 예측이 요구되며 일반적으로 자유수면 하부의 유속 결손 분포는 수조의 회전 구간과 정류장치 등 설치된 구조마다 변형되어 가정이 필요하다. 본 연구에서는 설계에서 자유수면에 관측된 최대 유속 결손이 평균 유속의 약 25% 수준이라고 가정하였으며 식 (1)과 같이 이를 보상하기 위한 접선속도를 설정하였다.

ut=ωRrR=3.75U0max(1) 

여기서, U0max는 생성 가능한 평균 유속의 최대치를 나타낸다. 목표 접선속도 ut를 만족할 수 있도록 rRωR을 선정하고, 케이싱 직경은 로터와의 적절한 간극을 위해 다음 식 (2)의 범위를 따른다.

rc=(1.11.3)rR(2) 

3. 가속 로터의 수치해석

3.1 수치해석 방법

본 연구에서는 비압축성 점성 유체의 운동을 표현하기 위해 비정상 난류 유동을 해석하기 위한 RANS 기법을 사용하였으며, 주요 연속 방정식과 지배방정식은 다음 식 (3)(4)와 같다.

U¯ixi=0(3) 
U¯it+U¯jU¯ixi=-1ρp¯xi+1ρxi(U¯ixj-ρ uiuj¯)(4) 

여기서, ρ는 밀도, u¯는 시간에 대한 평균 유속, p는 압력, μ는 점성계수, -ρ uiuj¯는 레이놀즈 응력 항을 나타낸다. 본 연구에서는 레이놀즈 응력 항을 모델링하기 위해 Realizable k-ϵ 난류모델을 사용하였다. 본 모델은 회류수조 수치해석에서 활용 및 검증된 바 있으며(Li et al., 2024; Pullinger and Sargison, 2007), 자유유동 영역의 조류터빈 실험과의 난류모델 비교에서도 높은 정확도로 재현한 바 있다(O’Doherty et al., 2009). Realizable k-ϵ 난류모델은 난류 운동 에너지 k와 그 소산율 ϵ에 대한 두 개의 수송 방정식(식 (5)~(6))을 푸는 2-방정식 모델이다.

(ρk)t+(ρkuj)xj=xj[(μ+μtσk)kxj]+Pk-ρϵ(5) 
(ρϵ)t+(ρϵuj)xj=xj[(μ+μtσk)ϵxj]+C1ϵkPk-C2ρϵ2k+νϵ+R(6) 

여기서, Pk는 난류 생성 항이며, μt는 난류 점성 계수이다. 난류 점성 계수는 식 (7)로 표현할 수 있다.

μt=ρCμk2ϵ(7) 

또한 회류수조 시험부의 자유수면 영역을 표현하기 위해 VOF (Volume of Fluid) 기법을 적용하였다. VOF 기법은 유체의 체적분율을 다음 식 (8)의 수송방정식을 만족하는 속도 u로 구동된다 (Zhou et al., 2022).

αt+(uα)=0(8) 

3.2 수치해석 형상 및 격자

본 연구의 수치해석은 계산 단순화를 위해 Fig. 2와 같이 가속 로터 반경인 rR과 로터 케이싱의 반경인 rC를 고정조건으로 두었으며 회류수조의 회전부 및 설치된 정류장치 등을 생략하여 Fig. 3의 형태로 유입부의 직선구간과 가속 로터, 자유수면과 맞닿는 시험부만을 모델링하였다.

Fig. 2

Geometry of acceleration rotor and casing with fixed radii and variable gaps

Fig. 3

Schematic of simplified flow domain with designated rotor location

시스템은 Fig. 4에서 보이는 바와 같이 가속 로터, 주변 케이싱, 상부 억제판을 단순화하였다고 가정하였다. 가속 로터의 회전에 의해 흐름이 원활히 유도될 수 있도록 로터의 외곽 가장자리에는 개구각이 균일하게 분포된 노치 홈을 포함하여 경계 전단층의 발달을 촉진하기 위해 필렛 처리된 시스템이다. Fig. 5는 수치해석 형상의 격자를 나타낸다. 해석 영역의 총 격자 수는 약 50만 개로 수치적 안정성을 보장하기 위해 벽 근처에 경계층 격자를 적용하고 가속 로터의 경우 SMM(Sliding Moving Mesh) 회전 정의를 통해 전단층과 소용돌이 구조의 발달을 보다 정확하게 포착하고자 하였다.

Fig. 4

Geometric specification of the acceleration rotor with surface notch detail

Fig. 5

Mesh configuration of the numerical domain

Fig. 6은 계산 영역의 경계조건을 나타낸다. 계산 영역의 유동 흐름인 유입구와 출구는 속도 입구 조건, 측면은 마찰의 영향을 주지 않기 위해 Slip 벽 조건, 시험부 영역은 자유수면이 내부 압력에 영향이 미치지 않기 위해 압력 출구 조건을 부여하였다.

Fig. 6

Boundary conditions for numerical simulation

3.3 수치해석 조건 정의

본 절에서는 가속 로터의 수치해석 조건을 정의한다. 먼저 모든 수치해석에서 유입 조건은 U0=1m/s, 가속 로터의 회전 속도는 ωr=19.8rad/s로 고정하였으며 로터 외경과 케이싱 내벽 사이의 간극에 따른 유동 변화를 관측하기 위해 Table 1과 같이 해석 조건을 정의하였다. Fig. 78, 9는 각 해석 조건별 격자 형상을 나타낸다.

Simulation conditions with different acceleration rotor parameters

Fig. 7

Mesh geometry for Case 1 and 2 conditions

Fig. 8

Mesh geometry for Case 3 conditions

Fig. 9

Mesh geometry for Case 4 conditions

또한 로터 케이싱의 형상에 따라 로터와 케이싱 내부 공간의 유동 흐름이 변화하기 때문에 이에 대한 영향성을 분석하기 위해 Case 2의 조건을 기준으로 케이싱 형상을 Fig. 10과 같이 원형, 사각형, 다각형으로 각각 비교하였다.

Fig. 10

Different rotor casing shapes considered in numerical simulation (a) Circle, (b) Polygon, (c) Square

마지막으로 물의 물리적 특성 변화가 유속 결손 분포에 미치는 영향을 평가하기 위해 ITTC (2011)에서 제공한 담수 특성을 사용하여 10oC, 15oC, 20oC의 각기 다른 온도에서 수치해석을 수행하였다.


4. 수치해석 결과

본 절에서는 수치해석의 결과를 나타낸다. 유속은 Fig. 11에서와 같이 가속 로터 위치를 기준으로 1m, 3m, 5m 이격된 지점에서 관측을 수행하였다.

Fig. 11

Sampling locations of velocity profiles at X=1m, 3m, and 5m

4.1 설계변수 비교

Fig. 12는 회전 유무와 로터-케이싱 간격, 로터 설치 높이에 따른 로터 주변 유동 변화를 나타낸다. Case 1의 경우 자유수면 인접부에 두꺼운 유속 결손층이 형성되며 비회전 상태에서는 유속 회복이 사실상 이루어지지 않음을 보여준다. Case 2는 가속 로터의 회전에 따라 표면 근처 유속이 유의하게 증가함이 관찰된다. Case 3는 회전에 의한 유속 보상 범위가 폭넓게 확장되나, 전단 강도는 약화되고 속도의 요동이 증폭되는 결과를 나타내었다. Case 4는 가장 강한 유도 유동이 형성되어 모든 조건 중 가장 효과적인 속도 회복을 달성하여, 표면에 인접한 결손층이 얇고 균일하게 정리되는 모습을 보인다.

Fig. 12

Comparison of velocity contours under different simulation cases

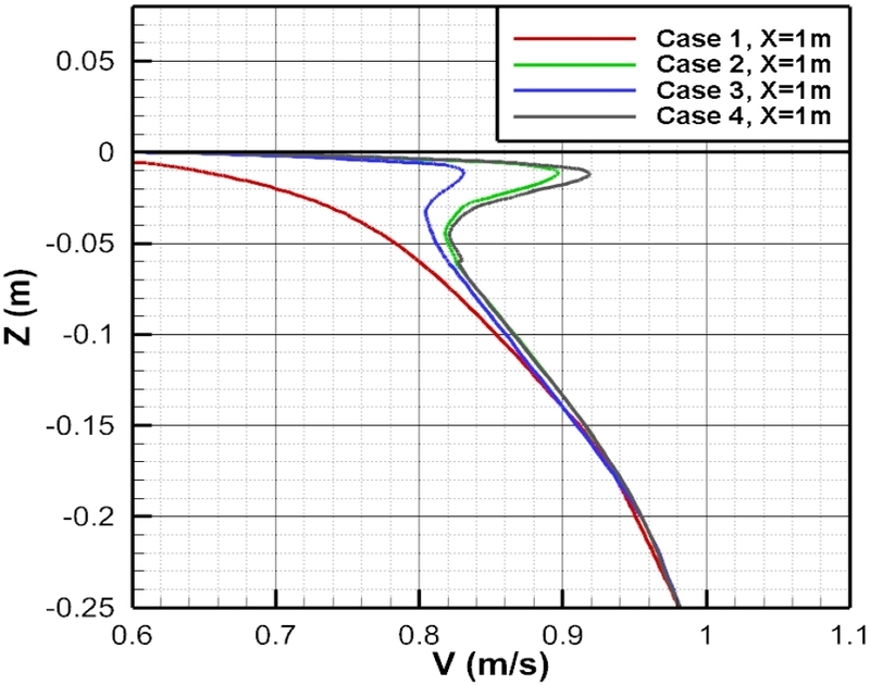
Fig. 13은 가속 로터로부터 x=1m 떨어진 위치에서의 수심에 따른 유속 그래프를 나타낸다. 가속 로터가 회전하지 않은 Case 1의 경우 회복 성능이 나타나지 않았다. 자유수면과 가속 로터 간격이 가장 가까웠던 Case 4에서 가장 큰 속도 회복을 보였으며 그 다음으로 Case 2, Case 3, Case 1 순으로 회복 성능이 좋게 나타났다. 로터 회전에 의해 회복 성능을 보인 Case 2, 3, 4는 자유수면부 인근(Z=-0.01m)에서 큰 회복이 이루어졌다가 점차 감소하고 다시 회복하는 모습을 보였다.

Fig. 13

Vertical velocity profiles at X=1m under different simulation cases

Fig. 1415는 x=3m, 5m 떨어진 위치에서의 수심에 따른 유속 그래프를 보여준다. 수심이 낮아질수록 유속의 차이가 완화되며 전반적으로 확산 및 안정화되는 경향을 보였다. 그럼에도 Case 4는 가장 높은 회복 성능을 보였으며 균일한 분포를 지속적으로 유지하였다. 반면 Case 3은 중층의 약한 요동이 남아있어 간극 확대가 전단 구배를 약화시킨 영향이 하류에서도 일부 지속됨을 시사한다.

Fig. 14

Vertical velocity profiles at X=3m under different simulation cases

Fig. 15

Vertical velocity profiles at X=5m under different simulation cases

4.2 케이싱 형상에 따른 성능 비교

본 절에서는 케이싱 형상 차이가 자유수면 인접부 유동 회복과 전단 발달에 미치는 영향을 비교하였다. Fig. 16(a)는 다각 케이싱으로 유도 영역 내에 제트 유동 구조가 형성되며, 자유수면 하부에서 전단층이 급속히 발달하는 모습을 나타내었다. 이로 인해 표면 인접부 속도 회복이 빠르고 뚜렷하게 나타났으며 제트 코어가 상대적으로 좁고 유효 전단 구배가 커 유속 상승을 주도하였다. 이에 비해 Fig. 16(b)의 사각 케이싱은 전단 유도가 넓게 분산되는 대신 국부 전단 강도와 표면 인접 운동량 유입이 부족하다. 결과적으로 자유수면 근처의 속도 회복이 제한적이며, 전반적인 유동 분포는 비교적 균일하나 회복 효율이 낮았다.

Fig. 16

Flow field induced by the polygonal and square

Fig. 1718, 19는 각각 X=1m, 3m, 5m 위치에서 케이싱 형상에 따른 수심별 유속 분포를 비교한 결과를 보여준다. X=1m 위치에서는 원형 케이싱이 자유수면 인근에서 뚜렷한 피크 유속을 보였으며, 수심 -0.05m 이하 구간에서는 다각형 및 사각형 케이싱과 유사한 속도 분포를 나타냈다. X=3m 위치에서는 케이싱 형상이 유속 분포에 큰 차이를 나타나지 않았으나 특정 수심(-0.15m<Z<-0.05m) 구간에서 형상에 따라 회복 속도 차이가 나타남을 확인하였다. X=5m 위치에서는 원형 케이싱에 비해 다각 및 사각 케이싱이 보다 균일한 유속 분포와 우수한 유속 회복 특성을 보이며, 원거리 구간에서의 유속 안정화에 유리함을 확인할 수 있었다.

Fig. 17

Vertical velocity profiles at X=1m under different rotor casing configurations

Fig. 18

Vertical velocity profiles at X=3m under different rotor casing configurations

Fig. 19

Vertical velocity profiles at X=5m under different rotor casing configurations

본 결과를 통해 시험부 상류에서 자유수면에 인접한 유속 결손층의 신속한 보정이 요구될 경우 원형 케이싱 형상을 통해 효과적으로 유속 회복을 수행할 수 있으며, 거리적 여유가 있는 경우 다각 및 사각 케이싱 형상이 효과적임을 확인하였다.

4.3 다양한 수온 조건 비교

수온 변화가 회복 유동에 미치는 영향을 정량화하기 위해, 10°C, 15°C, 20°C의 세 조건을 비교하였다. 비교는 Case 2의 원형 케이싱 형상에서 수행되었으며 그 결과 수온이 상승할수록 자유수면 하부의 유속이 소폭 증가하는 경향을 보였다. Fig. 20과 같이 절대 변화량은 약 0.5% 정도로 수온에 따른 영향은 경미하였다.

Fig. 20

Vertical velocity profiles at X=10m under different water temperatures

수온 상승에 따른 점성과 동점성의 감소로 경계층이 다소 얇아지고, 이에 따라 표면 인접부의 속도 결손이 약화되어 유속이 미세하게 회복된 것으로 해석된다.


5. 결 론

본 연구는 회류수조 시험부의 자유수면 하부에서 발생하는 유속 결손(velocity deficit)을 완화하기 위해 액체밀봉형 가속 로터를 대상으로 구조적 구성 및 운전 조건에 따른 유도 전단 메커니즘과 속도 회복 효과를 CFD로 체계적으로 평가하였다. 유입속도 1m/s를 기준으로 로터–케이싱 간극, 로터 설치 높이, 가장자리 케이싱 형상을 변화시켰고, 추가적으로 ITTC (2011)에서 제공하는 담수 물성(10–20°C)을 적용하여 수온 영향도 검토하였다. 이로부터 다음과 같은 결론을 도출하였다.

  • - 자유수면 인접부에 액체밀봉형 로터를 배치하면 유도 전단층이 빠르게 발달하여 표면 하부의 두꺼운 결손층이 얇아지고 속도 회복이 뚜렷해진다. 비회전 조건(Case 1)에서 나타난 유속에 비하여 회전 조건에서는 수면 유속이 유의하게 상승하였다.
  • - 설계변수를 조절하여 검토한 조건중 Case 4가 가장 높은 속도 회복과 우수한 단면 균일도를 보였다. 반면 간극 확대는 유도 영역을 넓히지만 국소 전단 강도를 희석시켜 피크 속도 회복이 저하되고 중층 요동이 증가하는 경향을 보였다.
  • - 원형 케이싱은 자유수면 인접부의 유속 결손을 신속하게 보정하여 단거리 내에서 유속 회복에 효과적임을 확인하였다. 반면, 다각형 및 사각형 케이싱은 원거리 영역에서 보다 균일하고 안정적인 유동 분포를 형성하며, 유속 회복 효율을 향상시키는 데 유리한 특성을 보였다. 이러한 결과는 케이싱 형상 선택 시 요구되는 유동 회복 거리와 목표 유동 특성을 고려한 최적 설계의 필요성을 시사한다.

ITTC 물성을 적용한 10–20°C 범위에서 수온 상승에 따라 점성이 감소하며 경계층이 얇아져 유속이 소폭 증가하였으나, 변화폭은 0.5% 이내로 크지 않음을 확인하였다. 다만 극한 온도 조건이나 고정밀 비교 실험에서는 물성 보정이 요구될 수 있을 것으로 보인다.

Acknowledgments

이 논문은 행정안전부 재난안전 융합기술 고도화 지원사업(RS-2025-07282968)과 해양수산부 해양수산과학기술진흥원의 지원을 받아 수행된 연구(RS-2021-KS211511)임을 밝힙니다.

References

  • Ássi, G.R.S., Meneghini, J.R., Aranha, J.A.P. and Coleto, W.G.P., 2005. Design, assembling and verification of a circulating water channel facility for fluid dynamics experiments. In: ABCM (ed.), Proceedings of COBEM 2005: 18th International Congress of Mechanical Engineering, Ouro Preto, MG, 6–11 November 2005. ABCM: Ouro Preto.
  • Atsavapranee, P., Miller, R., Dai, C., Klamo, J. and Fry, D., 2010. Steady-Turning experiments and RANS simulations on a surface combatant hull form (Model #5617). In: 28th Symposium on Naval Hydrodynamics, Pasadena, California, 12-17 September 2010.
  • Chen, Z., Kurokawa, Y. and Nishimoto, H., 2006. CFD application on the development of circulating water channel. In: ISOPE (ed.), Proceedings of the Sixteenth (2006) International Offshore and Polar Engineering Conference, San Francisco, California, USA, May 2006. The International Society of Offshore and Polar Engineers: San Francisco.
  • Choe, S.B., Cho, D.H. and Choi, J.Y., 2011. A study on flow characteristics behind the bluff body using PIV. Journal of the Korean Society of Marine Engineering, 35(1), pp.89–95. [https://doi.org/10.5916/jkosme.2011.35.1.089]
  • Hah, C.-K., Kim, H., Lim, L.-Y. and Ki, J.-S., 2015. Hydrodynamic evaluation for developing the new inflatable kayak. Journal of the Korean Society of Marine Engineering, 39(3), pp.334–341. [https://doi.org/10.5916/jkosme.2015.39.3.334]
  • ITTC, 2011. Fresh Water and Seawater Properties. ITTC-Recommended Procedures and Guidelines, ITTC 7.5-02-01-03.
  • Jamin, T., Berhanu, M. and Falcon, E., 2025. Experimental study of three-dimensional turbulence under a free surface. Physical Review Fluids, 10(3). Article 034608. [https://doi.org/10.1103/PhysRevFluids.10.034608]
  • Li, C., Luo, R. and Wang, F., 2024. Hydrodynamic analysis of flow stabilization process in a miniature circulating water channel equipped with combined porous plate structures. Journal of Marine Science and Engineering, 12(12), Article 2204. [https://doi.org/10.3390/jmse12122204]
  • O’Doherty, T., Mason-Jones, A., O’Doherty, D.M., Byrne, C.B., Owen, I. and Wang, Y.X., 2009. Experimental and computational analysis of a model horizontal axis tidal turbine. In: Proceedings of the 8th European Wave and Tidal Energy Conference. Uppsala, Sweden, January 2009.
  • Okuno, T., Miyake, H. and Tanaka, N., 1988. Velocity profile near free surface in circulating water channel. Journal of the Kansai Society of Naval Architects, 210, pp.19–25.
  • Pullinger, M.G. and Sargison, J.E., 2007. Using CFD to improve the design of a circulating water channel. In: 16th Australasian Fluid Mechanics Conference. Crown Plaza, Gold Coast, Australia, 2–7 December 2007.
  • Santos, A.M., Alho, A.T.P., Garcia, D.A., Farias, M.H., Massari, P.L. and Silva, V.V.S., 2016. Experimental studies toward the characterization of Inmetro’s circulating water channel. Journal of Physics: Conference Series, 733, Article 012002. [https://doi.org/10.1088/1742-6596/733/1/012002]
  • Tamashima, M., Matsui, S. and Ogura, M., 1983. Quantitative measurements with small models of ships in a circulating water channel. Experiments in Fluids, 1, pp.135–142. [https://doi.org/10.1007/BF00272012]
  • Tokgöz, N., Aksoy, M.M. and Şahin, B., 2016. Experimental investigation of flow characteristics of corrugated channel flow using PIV. Journal of Thermal Engineering, 2(3), pp.754–760. [https://doi.org/10.18186/jte.34504]
  • Varghese, K.G., Nair, V.G., Godey, A. and Kumar, P.G.S., 2021. A study for validating, rectifying and optimizing the flow in the test section of a circulating water channel. Journal of Naval Architecture and Marine Engineering, 18(2), pp.127–140. [https://doi.org/10.3329/jname.v18i2.45982]
  • Zhou, X., Jiang, Q., Wang, Y., Chen, L., Wang, S. and Wang, K., 2022. Numerical simulation of wave-current force characteristics of horizontal floating cylinder in heave motion. Journal of Marine Science and Engineering, 10(12). Article 1884. [https://doi.org/10.3390/jmse10121884]
Authorship Contribution Statement

Ju-Yeol Park: Data curation, Investigation, Software, Writing–review & editing; Kaicheng Yan: Investigation, Software, Visualization, Writing–original draft; In-Kang Ra: Data curation, Investigation, Visualization, Writing–review & editing; Jung-Keun Oh: Conceptualization, Methodology, Writing–original draft; Younjae Ham: Conceptualization, Methodology; Hyochul Kim: Conceptualization, Methodology; Dae-Won Seo: Project administration, Software, Supervision, Validation, Writing-original draft.

박 주 열

옌 카 이 청

나 인 강

오 정 근

함 연 재

김 효 철

서 대 원

Fig. 1

Fig. 1
Velocity profile modification by rotor rotation and free surface velocity deficit

Fig. 2

Fig. 2
Geometry of acceleration rotor and casing with fixed radii and variable gaps

Fig. 3

Fig. 3
Schematic of simplified flow domain with designated rotor location

Fig. 4

Fig. 4
Geometric specification of the acceleration rotor with surface notch detail

Fig. 5

Fig. 5
Mesh configuration of the numerical domain

Fig. 6

Fig. 6
Boundary conditions for numerical simulation

Fig. 7

Fig. 7
Mesh geometry for Case 1 and 2 conditions

Fig. 8

Fig. 8
Mesh geometry for Case 3 conditions

Fig. 9

Fig. 9
Mesh geometry for Case 4 conditions

Fig. 10

Fig. 10
Different rotor casing shapes considered in numerical simulation (a) Circle, (b) Polygon, (c) Square

Fig. 11

Fig. 11
Sampling locations of velocity profiles at X=1m, 3m, and 5m

Fig. 12

Fig. 12
Comparison of velocity contours under different simulation cases

Fig. 13

Fig. 13
Vertical velocity profiles at X=1m under different simulation cases

Fig. 14

Fig. 14
Vertical velocity profiles at X=3m under different simulation cases

Fig. 15

Fig. 15
Vertical velocity profiles at X=5m under different simulation cases

Fig. 16

Fig. 16
Flow field induced by the polygonal and square

Fig. 17

Fig. 17
Vertical velocity profiles at X=1m under different rotor casing configurations

Fig. 18

Fig. 18
Vertical velocity profiles at X=3m under different rotor casing configurations

Fig. 19

Fig. 19
Vertical velocity profiles at X=5m under different rotor casing configurations

Fig. 20

Fig. 20
Vertical velocity profiles at X=10m under different water temperatures

Table 1

Simulation conditions with different acceleration rotor parameters

Case Hgap (mm) ωr (rad/s) Dgap (mm) U0 (m/s)
1 45 0 5 1
2 45 19.8 5
3 40 19.8 10
4 47 19.8 3