
데이터베이스 기반 선박 성능예측방법을 활용한 해운 항로 운항 선박의 연료 소모량 추정
This is an Open-Access article distributed under the terms of the Creative Commons Attribution Non-Commercial License(http://creativecommons.org/licenses/by-nc/3.0) which permits unrestricted non-commercial use, distribution, and reproduction in any medium, provided the original work is properly cited.
Abstract
The continual rise in fuel prices and increasingly stringent environmental regulations imposed by the International Maritime Organization (IMO) have made energy efficiency a critical challenge for the shipping and shipbuilding industries. Accurate prediction of ship propulsion performance and fuel consumption at the design and early operational stages is essential not only for the development of eco-friendly ships but also for establishing cost-effective operational strategies. This study aims to develop a prediction framework for predicting ship fuel consumption that can be practically applied in ship design and operational decision-making. Unlike previous approaches relying on operational data from in-service vessels, the proposed method leverages model test results and computational fluid dynamics (CFD) simulations to construct regression-based ship performance models. By incorporating ship principal particulars and route-specific environmental conditions, these models generate full-scale power curves and estimate fuel consumption. The proposed methodology provides a systematic means to support shipyards in performance guarantee evaluations and design optimization, as well as to enable ship operators to make informed economic decisions in route planning and fleet operation.
Keywords:
Regression model, Fuel oil consumption, Route-based estimation, Ship performance prediction키워드:
회귀 모델, 연료 소모량, 항로기반 예측, 선박 성능 추정1. 서 론
지속적인 연료 가격 상승과 국제해사기구(IMO)의 환경 규제 강화로 인해, 선박의 에너지 효율성 확보는 해운 및 조선 산업의 핵심 과제로 부상하고 있다. 선박의 설계 및 운항 초기 단계에서 추진 성능과 연료 소모량을 빠르게 예측하는 것은 친환경 선박 개발뿐 아니라 경제적 운항 전략 수립의 효율성 제고에 있어 필수적인 요소이다. 조선소의 경우, 성능 예측은 계약 성능 보장 조건의 충족 여부를 판단하기 위한 핵심 지표로 작용하며, 설계 최적화 및 형상 변경에 따른 연료 효율성 개선 여부를 사전에 검토할 수 있는 기반을 제공하고, 선사의 입장에서는, 운항 전 연료 소비량을 정량적으로 예측함으로써 항로 설정, 화물 운송 계획 등에 있어 경제적 의사결정을 가능하게 한다. 성능 예측은 최종적으로 CFD와 모형 시험을 통해서 이루어지지만, 많은 자원 및 시간을 필요로 하기 때문에 초기 의사 결정시 활용되기 어려운 측면이 있다. 이런 이유로 초기 단계에서는 회귀 모델 등 경험적 방법이 여전히 사용되고 있다. 다만 대표적인 Holtrop 모델 (Holtrop and Mennen, 1978)이 발표된 지 30년이 넘어가고 있으며, 그 간의 선형 설계 기술 및 개념의 변화로 직접적인 적용이 어려운 실정이다. 따라서 최근 선형에 대한 데이터 분석 및 회귀 모델을 바탕으로 한 연료 소비량 예측 기법의 개발이 필요한 상황이다.
기존의 선박 연료 소모량 예측에 관련된 연구는 실선의 계측 자료에 기반한 연구들이 대부분이다. 즉 선체에 설치된 센서를 통해 획득한 자료들과 항해보고(noon report), 선박자동식별 시스템(Automatic Identification System, AIS), 기상 정보를 융합하여 학습모델에 적용하는 방법들이 주류를 이루고 있다. Wang et al. (2018)은 선박의 주요제원 및 기상 변수들을 입력으로 Lasso 회귀를 적용하여 연료 소모량을 예측하는 모델을 소개하였으며, Yan et al. (2020)은 벌크선의 연료 소모량을 랜덤포레스트(Random Forest) 기법을 적용하여 예측하였다. Hu et al. (2021)은 컨테이너선의 센서데이터를 기반으로 하여 물리식(속도-출력)과 학습모델을 결합하여 다양한 해상상태에서 신뢰성을 향상시킨 연구를 발표하였다. 최근에는 장단기메모리 순환신경망(LSTM)을 활용한 시계열 상관을 강화한 시간당 연료 소모량을 예측하는 모델들도 소개되고 있다 (Wang et al., 2023; Wang et al., 2024). Kim and Roh (2020)은 ISO 15016 방법에 기반하여 연료 소모량 추정 모델을 제안하고 운항 데이터 기반 모델과 비교한 바 있다. Lee et al. (2024)는 부가저항 성분은 모형시험 결과로부터 얻고, 실해역 운항 자료를 활용한 VLCC의 연료 소모량 모델을 소개하였다. 데이터베이스를 기반으로 한 선박의 성능 예측 방법에 대한 연구는 Holtrop and Mennen (1978)의 모형시험 결과 회귀분석을 시작으로 현재까지도 널리 활용되고 있으며, 최근에는 기계학습 기법을 적용한 연구들도 발표되고 있다 (Kim et al. 2021, Kim et al. 2022).
본 연구는 기존의 운항 선박 데이터가 없을 경우, 선박의 주요 설계 제원 및 운항 경로의 기상 데이터를 고려하여 선박의 연료 소모량을 예측하는 방법을 제안하는 것으로 기존 연구와 차별성을 갖는다. 선박의 연료 소모량 예측을 위해 필요한 선박의 동력성능의 예측은 많은 자원과 시간이 소요되는 모형시험이나 CFD 해석이 필요하나, 본 연구에서는 선형시험수조 모형시험 결과 및 CFD 계산 결과를 기반으로 생성된 예측 모델을 사용하여 실선 스케일의 동력 곡선을 추정하는 방법을 사용하기 때문에 모형시험 및 CFD 해석을 수행하지 않고 적은 계산 자원으로 빠른 예측 결과를 얻을 수 있는 장점이 있다.
본 논문의 구성은 1장 서론 서술 후, 2장에서는 선박 성능 예측 모델 생성을 위해 사용된 모형시험 및 CFD 데이터에 대한 설명과 각각의 회귀 모델의 구성 및 예측 결과를 보인다. 3장에서는 회귀 모델의 예측 결과를 사용하여 실선 동력 곡선 구성 방법 및 적용 예시를 소개하며, 4장에 결론을 기술한다.
2. 선박성능 추정 모델
선박의 실선 동력 성능 예측을 위해서는 Fig. 1에 보인 바와 같이, 정수중 저항성능, 자항요소, 추진기단독성능, 선박 상부의 공기저항 등과 같은 저항 및 추진 성능에 대한 다양한 추정 모델들이 필요하다. 본 장에서는 각각의 추정 모델 생성 방법 및 2.1절 정수중 저항성능 예측부터 2.5절 풍하중 예측까지 나누어 기술하였으며, 표 1은 각 성능 추정 모델의 입출력과 적용모델을 요약정리하여 나타내었다.
2.1 정수중 저항 성능 예측
선박 성능의 가장 기본이 되는 정수중 저항 성능을 예측하기 위한 추정 모델은 모형시험 수행 결과인 잉여저항 계수(CR)를 예측하는 모델이다. 선박의 주요 제원 혹은 이에 추가된 선형의 형상 정보를 입력으로 하고 인공신경망층를 통과하여 잉여저항 계수를 출력으로 하는 구성을 갖는다. 본 연구에서는 Kim et al. (2023)이 제시한 회귀 모델을 채택하였으며, 초기 선형의 형상 정보가 없을 때 사용할 수 있는 주요제원만을 입력으로 하는 모델과 선형의 오프셋(offset) 정보가 있을 경우, 추정 성능을 향상시킨 모델 2가지를 제공한다.
회귀 모델 학습에 사용된 데이터는 선박해양플랜트연구소(KRISO)에서 수행된 모형시험 결과가 사용되었다. 벌크선과 탱커선을 포함하는 저속비대선, 컨테이너선, 가스운반선의 설계흘수 상태에서의 결과를 이용하였으며, 쌍축선은 제외되었다. 총 선형의 수는 약 450척이며, 프루드수(Fn)-잉여저항계수(CR) 데이터는 총 4000여개이다. 이 중 70%의 데이터를 학습에 사용하였으며, 나머지 30%는 생성된 모델의 평가용으로 사용되었다.
본 연구에서 제시하는 2가지 회귀모델 중 첫 번째는 주요변수만을 입력으로 하는 다층 퍼셉트론(Multilayer Perceptron, MLP) 모델(이하 MLP 모델)로서 상세한 3차원 형상정보가 없어도 선박주요제원의 최소한 입력으로 예측이 가능하다는 장점을 갖는다. 총 7개의 변수를 입력으로 2개의 MLP층을 거쳐 출력층에 연결되는 구성을 갖으며, 선박의 주요제원(L, B, T, Cb, LCB)과 선속, 그리고 선수 벌브의 길이가 입력 변수로 사용된다. 두 번째 회귀모델로서는 선형 오프셋을 고려한 합성곱 신경망(Convolutional Neural Network, CNN) 모델(이하 CNN 모델)로서 MLP 모델에 사용되는 선형 주요제원에 추가로 선형 오프셋 이미지에 합성곱 신경망을 적용하여 형상 변화 특성을 적용하기 위한 모델이다(Kim et al. 2022). 주요 제원만으로 잉여저항계수의 분산을 설명하는 것은 사실상 불가능하기 때문에 선체의 형상 특성을 합성곱 신경망으로 추출하여 학습에 사용한다. 모델은 오프셋 데이터를 위한 3개의 CNN층과 주요변수를 위한 1개의 MLP층, 그리고 이를 결합한 데이터에 적용된 3개의 MLP층으로 구성되었다. 각 모델의 기본적인 구조는 Fig. 2에 보인다. 예측 모델의 구성에 대한 보다 구체적인 내용은 Kim et al. (2022, 2023)을 참조할 수 있다.
Fig. 3(a)는 MLP 모델을 적용한 학습 결과를 보인다. 가로축이 예측치이고 세로축이 모형시험결과를 나타내며, 사각형 심볼은 훈련데이터에 대한 예측 결과를, 채워진 원형 심볼은 평가 데이터에 대한 예측 결과를 나타낸다. 데이터의 분산 정도로 미루어 과적합은 관찰되지 않는다. 훈련데이터에 대한 결정계수(R2)는 0.96, 평가데이터에 대한 결정계수는 0.93 수준으로 나타났다. 모형시험결과에 대한 예측결과의 오차율은 약 6~7% 정도 관측되었다. Fig. 3(b)의 CNN 모델을 적용한 학습 결과를 보면, 예측결과의 분포가 모형시험결과와 정확히 일치하는 실선기준선에 조금 더 밀집된 분포를 보이고 있어서 MLP 모델 대비 향상된 결과를 확인할 수 있다. 훈련데이터에 대한 결정계수가 0.99, 평가데이터에 대한 결정계수가 0.96 수준이며 오차율이 약 3~5%로 MLP모델 대비 향상된 결과를 보였다. 두 모델의 잉여저항계수 분포중 일부 결과가 서로 다른 범위에 표시된 것은 사용된 데이터의 수가 약간 상이한 것에 기인한다.
2.2 추진성능 예측
자항 시험을 통해서 얻어지는 반류계수(wM)와 추력감소계수(t)는 선각효율을 결정하는 성능지수다. 잉여저항계수 추정 모델과 같이 주요변수만을 사용하는 MLP 모델과 선형 오프셋 이미지를 추가로 고려하는 모델을 활용하여 반류계수와 추력감소계수의 예측결과를 나타내고 서로 비교한다.
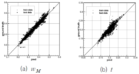
추진성능 예측에 사용된 MLP 모델은 선형과 속도에 관련된 변수 이외에 프로펠러와 관련된 변수가 추가로 사용되었다. 사용변수는 L/B, LCB, L/▽1/3, Dprop/T, Fn, P/D0.7R로 총 6개이다. 여기서 Dprop은 프로펠러의 직경을, P/D는 프로펠러 피치비를 의미한다. 모델은 3개의 MLP층을 거쳐서 반류계수와 추력감소계수에 연결되는 형태를 갖는다. Fig. 4는 MLP 모델의 학습 결과를 보인다. 훈련데이터에 대한 결정계수는 반류계수가 0.98, 추력감소계수가 0.91 수준이며, 평가데이터에 대한 값은 각각 0.96, 0.87 정도로 나타났다. 평균 오차율은 약 2~3% 정도를 보였다.
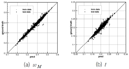
CNN 모델의 경우는 오프셋 데이터를 위한 3개의 CNN층과 주요변수를 위한 1개의 MLP층, 그리고 이를 결합한 데이터에 적용된 2개의 MLP층으로 구성되었다. Fig. 5는 CNN 모델의 학습 결과를 보인다. 잉여저항계수 추정모델과 유사하게 주요변수만을 사용한 MLP 모델 대비 향상된 결과를 보인다. 훈련데이터와 평가데이터에 대한 결정계수는 반류계수가 모두 0.98 수준이었으며, 추력감소계수가 0.93, 0.92 정도로 향상되었다. 또한, 평균 오차율도 2%로 약간 감소한 결과를 보였다.
잉여저항계수 및 추진성능 계수 예측 결과로부터 성능 계수를 결정하는 가장 중요한 요인은 선형 및 프로펠러의 주요제원임을 알 수 있으며, 선형의 형상 정보가 추가되면 정확도가 향상되는 결과를 얻을 수 있음을 확인하였다.
2.3 프로펠러 단독성능 예측
선박의 추진 성능은 결국 선체와 프로펠러의 상호작용으로 결정되는 것으로 이때 프로펠러의 단독성능은 매우 중요한 요소로 작용한다. 프로펠러 단독성능을 예측하기 위해 학습에 사용된 프로펠러는 약 480여개이며, 날개수 6개 이하, 허브비 0.22미만의 일반 상선용 고정피치 프로펠러만을 고려하였다. 프로펠러의 형상은 몇 개의 형상 변수만으로도 세부형상정의가 가능한 특성을 고려하여, 프로펠러 단독성능 예측모델은 주요변수만을 사용하는 MLP 모델로 구성하였다. 사용된 입력 변수는 J, P/D0.7R, P/Dmean, NZ, EAR로, 여기서 J는 전진비, NZ는 날개수, EAR은 전개면적비를 의미한다. Fig. 6은 예측된 추력계수(KTM)와 토오크계수(10KQM)를 보인다. 결정계수는 추력계수의 경우 훈련데이터가 0.99, 평가데이터가 0.99 수준이며 토오크계수도 모두 0.99 수준으로 프로펠러 단독성능 예측에 사용된 MLP 모델은 2개의 MLP층으로도 충분히 좋은 학습 결과를 보여주고 있다고 판단된다. 프로펠러의 모든 전진비에 대한 평균 오차율은 약 3% 정도로 나타났다.
2.4 파랑중 부가저항 계수 예측
최근 선박의 정수중 성능과 더불어 실해역 운항 성능이 중요시되면서 설계시 파랑중 부가저항에 대한 고려가 늘고 있다. 파랑중 부가저항 예측을 위한 모델로는 STAWAVE-I, II, SNNM법(ITTC, 2024)이 있으며, 패널법을 활용한 직접 계산법, CFD를 이용한 계산 방법과 모형시험을 통한 부가저항 예측법이 있다. 본 연구에서는 STAWAVE-II에서 제안한 준경험적방법(semi-empirical method)에 기반하여 파랑중 부가저항 곡선을 정의하기 위한 몇몇 지수들을 예측하는 모델을 소개한다. 예측 모델을 생성하기 위한 데이터는 전진속도를 고려한 주파수 영역 내항성능 포텐셜 기반 해석코드인 AdFLOW (Park et al., 2025)를 사용하여 생성하였으며 총 800여개의 데이터가 사용되었다. 파랑중 부가저항은 운동에 의해 야기되는 성분(RAWM)과 반사파에 의해 생기는 성분(RAWR)로 분해할 수 있으며, 무차원화한 지수로 나타내면, 각각 식 (1)과 (2)로 표현될 수 있다 (ITTC, 2024).
| (1) |
| (2) |
식에서 는 무차원화된 ω/ωmax를 나타내며, 계수들을 상수로 가정하면 CAWMmax, CAWRMAX와 ωmax를 추정할 수 있으면 파랑중 부가저항 곡선을 재구성하는 것이 가능해진다. 따라서 포텐셜 해석으로 부가저항 곡선을 구하고, 이로부터 상기의 3개 변수를 추출하여 이를 선형 변수와 같이 학습하는 방법으로 예측 모델을 구성하였다. 입력변수는 L/B, L/▽1/3, Cb, LCB, Fn이고, 총 2개의 MLP층이 사용되었으며, 그 학습 결과를 Fig. 7에 보인다. 부가저항계수의 최대값이 나오는 파주파수 ωmax에 대하여, 훈련데이터 및 평가데이터의 결정계수는 약 0.99로 나타났으며, 평균 오차율은 약 0.6%로 매우 좋은 예측 결과를 보였다. CAWMmax 역시 결정계수는 0.99수준이며 오차율은 약 2~3%를 보였다. CAWRMAX는 상대적으로 작은 결정계수인 0.98수준이며 오차율 약 4~5%의 결과가 얻어졌다.
2.5 풍하중 예측
ISO 15016 (2025)에서 제공하는 풍하중계수 데이터셋(data sets of wind resistance coefficients)을 활용하면, 각 선형의 흘수 상태, 풍향에 따른 풍하중계수를 얻을 수 있다. ISO 15016 (2025)에는 벌크선, 컨테이너선, 자동차운반선, 여객선, 가스선 등의 선종과 화물의 유무와 만재상태 혹은 발라스트 상태 등에 따른 다양한 풍하중 계수가 제공되고 있으며, 본 연구에서는 선종, 풍향에 해당하는 풍하중계수를 이 ISO 15016 (2025)에서 제공하는 데이터셋으로부터 얻어 풍하중 계산에 사용하였다.
3. 선박 실해역 성능 추정
2장에서 소개한 성능 추정 모델을 활용하면 실선 스케일 선박의 동력 성능 및 실해역 성능을 예측하는 것이 가능하다. Fig. 8은 성능계수 추정으로부터 선박의 실선 동력 곡선을 얻는 과정을 나타낸다. 앞서 보인 예측 모델을 통해 잉여저항계수, 모형선 스케일의 반류계수, 추력 감소계수, 모형 프로펠러의 추력계수 및 토오크계수를 예측할 수 있다. 실선 스케일로의 확장 및 부가저항계수, 풍하중계수 예측을 추가하여 실해역 상태의 동력 곡선을 예측할 수 있으며, 상세한 방법은 3.1, 3.2의 예시를 통해서 보인다.
3.1 KCS 선형의 정수중 동력 예측
KIRSO의 공개선형인 3600TEU 컨테이너선 KCS에 대하여 앞에 소개한 예측 모델을 사용하여 정수중 동력 곡선 예측을 보인다. 표 1은 KCS 선형 및 프로펠러 제원이다.
Fig. 9와 10은 각각 예측된 잉여저항계수와 자항요소(wM, t)를 선속(Vs)에 따른 모형시험 결과와 비교한 그림이다. 실선이 모형시험 결과, 점선이 학습 모델 예측 결과를 나타내고 있으며, 학습 모델 예측 결과는 앞서 소개한 모델 중 CNN 모델을 적용한 결과이다. 모형시험 결과와 비교시 전 속도구간에서 평균 약 9% 오차를 보여주고 있다. KCS 선형 결과의 경우, 전체적으로 잉여저항 계수를 다소 과대평가하고 있으나, 모형시험이나 CFD 해석이 아닌 회귀모델을 통한 성능예측결과임을 감안하면 비교적 나쁘지 않은 결과로 판단된다. 추력감소 계수 역시 전 속도 구간에서 상대적으로 더 좋은 예측을 보이고 있으며 평균 오차율 약 2%를 보이고 있고, 반류계수의 경우는 평균 약 4% 큰 오차율을 보이고 있다.
표 2의 프로펠러 제원을 활용하여 프로펠러 단독효율곡선을 예측한 결과를 Fig. 11에 보인다. 높은 전진비 영역에서는 예측치가 실험치 대비 작은 추력 및 토오크를 예측하고 있으나, 설계전진비 근처 영역에서는 비교적 좋은 일치성을 보이고 있다.
ITTC1978 (ITTC, 2017) 방법에 따라 예측한 계수들을 활용하여 실선 스케일의 동력곡선을 도출할 수 있다. 모형 스케일의 프로펠러 단독 성능은 보통 실선 스케일로 확장을 할 때, 코오드 길이, 두께, 레이놀즈수 등의 함수로 표현되는 보정값을 활용하지만, 본 연구에서는 프로펠러에 대한 상세 정보가 없다는 가정으로 단순히 추력계수와 토오크계수를 일정 비율(본 연구에서는 1% 사용)로 증가/감소하는 방법으로 간단히 구현하였다.
실선 스케일의 전저항계수는 식 (3)을 이용한다.
| (3) |
여기서 SS, SBK는 각각 나선 상태의 침수표면적과 빌지킬 면적을 의미하는데, 본 연구에서는 (SS/SBK)/SS를 1.009로 가정하였으며, CFS는 실선 스케일의 레이놀즈수를 이용하여 식 (4)와 같이 정의된다. 공기저항계수 CAA는 식 (5)와 같이 ITTC1978 (ITTC, 2017) 방법을 사용한다. 모형선-실선 상관계수인 CA는 2차원 해석법을 사용하는 선형시험수조의 고유값을 사용하거나, 회귀식을 이용할 수 있다.
| (4) |
| (5) |
추력감소계수는 모형선, 실선 동일한 값을 사용하며, 실선 스케일의 반류계수는 식 (6)으로 계산한다.
| (6) |
실선 스케일의 프로펠러 로딩(propeller loading)은 식 (7)과 같이 전진비의 제곱으로 표현되며, 프로펠러 단독 성능 곡선과의 교점을 찾으면 추력이 일치하는 전진비를 계산할 수 있다.
| (7) |
얻어진 전진비(JS)를 사용하여 식 (8)로 회전수를 구할 수 있으며, 토오크계수는 해당 전진비로 토오크계수 곡선에서 읽을 수 있다.
| (8) |
전달 동력(delivered power, PD)과 정지 동력(brake power, PB)은 각각 식 (9), (10)으로 계산된다. 여기서 상대회전효율(ηR)은 1.0으로, 전달효율(ηt)는 0.99로 가정하였다.
| (9) |
| (10) |
Fig. 12는 정수중 동력 곡선의 예측치와 모형시험결과를 통해 실선확장한 결과와의 비교를 보인다. 정상연속출력(NCR) 조건에서의 속도오차는 약 0.82% 정도(모델 예측치: 24.18노트, 모형시험 실선 예측치: 24.39노트)로 나타났다. 정수중 동력곡선의 예측치는 모형스케일의 학습결과로부터 모형선 시험결과의 실선 확장법과 기본적으로 동일한 방식을 적용하였으며, 가능한 주요 제원만으로 계산 가능하도록 가정 및 단순화를 적용한 결과임에도 불구하고 상당히 좋은 결과를 보여주고 있다.
3.2 항로를 고려한 연료 소모량 예측
항로가 정해지면 이를 다수의 경유점(way point)으로 정의할 수 있다. Fig. 13은 부산항에서 캐나다의 Prince Rupert(PR)항까지의 경유점을 보인다. 본 항로는 Yun et al. (2014)이 발표한 논문을 참고하였으며, 실제 컨테이너선의 항로이다. 각 경유점에서의 파랑 및 바람 정보는 미국 해양대기청(NOAA) 모델을 활용하였다. 경유점은 총 30개이며, 기상 정보는 최근 3년, 봄의 평균 데이터를 사용하였다.
각 경유점에서의 파랑 정보(파고, 파향)를 활용하여 경유점의 해상상태(sea state)를 정의할 수 있고, Fig. 14와 같이 예측된 특정 속도에서의 파랑중 부가저항 운동응답함수(RAO)와 해상상태에 따른 파 스펙트럼(SW)을 사용하여 식 (11)로 파랑중 부가저항(RAW)을 계산할 수 있다. 이때, 선박의 진행 방향과 파랑의 방향을 고려하여 상대 각도(βwave)에 대한 보정은 단순히 식 (12)를 적용하였다.
| (11) |
| (12) |
경유점에서의 풍하중은 ITTC의 풍하중계수 데이터셋에서 컨테이너를 산적한 컨테이너선에 대한 자료를 적용하였으며, Fig. 15와 같은 풍향별 계수를 이용하였다.
파랑중 부가저항과 풍하중을 정수중 저항에 더하여 경유점의 총저항을 정의할 수 있고, 식 (3)~(10)을 이용하면 환경 하중을 고려한 필요 동력을 계산할 수 있다. 여기서 반류계수와 추력 감소계수는 정수중 상태와 동일하다고 가정하였다. 다만 부가저항이 포함된 총저항에 대한 프로펠러 전진비를 새롭게 계산하기 때문에 동력 성분에 가장 영향을 많이 줄 수 있는 프로펠러 단독효율에 바뀐 로딩의 영향이 포함된다고 볼 수 있다.
Fig. 16은 30개의 경유점에서의 선박 진행 방향, 파도 및 풍향을 도시하고 있다. 부산항으로부터 PR항까지의 경로상에서는 대부분의 파랑과 바람(계산시는 상대 풍향 및 풍속을 사용)이 선박 진행방향의 반대방향 성분이 없는 것으로 보인다. 전술한 바와 같이 파랑 및 바람에 의한 부가저항을 고려하여 선박의 동력 곡선을 도출할 수 있으며, 특정 엔진 작동 조건(예를 들어 NCR)에서 선속을 계산할 수 있고, 경유점의 거리를 이용하여 소요 시간을 찾을 수 있다. Fig. 17은 경유점에서의 저항 성분을 나타낸 것으로, 파랑의 방향 및 상대 풍향의 영향으로 부가저항의 총 저항 기여도가 낮음을 확인할 수 있다. 조류의 영향은 고려하지 않았다.
Fig. 18은 가상의 50,000kW급 엔진의 SFOC 곡선의 예로 최대연속출력(MCR) 조건의 80% 출력에서 최저값을 갖는다. 이를 활용하면 Fig. 19와 같이 특정 항로를 운행하기 위한 연료 소비량(FOC)을 얻을 수 있다. 부산으로부터 PR로 향하는 항로에서는 기상에 의한 부가저항 성분이 작아서 정수중 동력 곡선에 단순한 15% 해상마진(sea margin)을 적용했을 경우보다 더 적은 연료 소비량을 예측하고 있다. 본 연구에서 연료 소비량 계산은 선박이 운항하는 동안 일정한 동력을 유지하는 단순한 운항시나리오로 가정하였으며, 총 운항거리는 7657.7 km (4144 NM) 이다.
Fig. 20은 PR에서 부산으로 귀환하는 항로의 저항 성분을 보인다. Fig. 16에서 선박의 진행방향이 반대로 바뀌면서 파랑과 바람에 의한 부가저항 성분이 증가한 것을 확인할 수 있다. 반면 동일 파워에서 낼 수 있는 속도가 감소함에 따라 정수중 저항 성분(RTS)도 감소하였다. Fig. 21에서와 같이 총 연료 소모량도 증가하여 15% 해상마진 적용시와 유사한 정도의 연료 소모량을 예측하고 있다. 다만 본 연구에서는 매끈한 선체 표면을 가정하였기 때문에 오손(fouling) 등에 의한 성능 저하는 고려하고 있지 않다. 표 3에 각 항로별 연료 소비량을 정리하여 나타내었다.
4. 결 론
본 연구에서는 선박 및 프로펠러의 주요제원으로 회귀 모델만을 활용하여 항로 기반 연료 소모량을 예측하는 방법을 보였으며, 다음과 같이 정리할 수 있다.
- • 모형시험 결과에 기반한 잉여저항계수, 반류계수, 추력 감소계수, 프로펠러 단독성능 예측 모델 도출
- • 포텐셜 기반 해석 결과에 기반한 파랑중 부가저항 계수 예측 모델 도출
- • 예측된 성능 계수를 활용한 실선 동력 곡선 도출
- • 정해진 항로 시나리오에 기반한 연료 소비량 예측
본 연구에서 정수중 저항 및 추진 성능 지표인 잉여저항계수, 반류계수, 추력 감소계수는 선형의 주요제원만을 입력으로 하는 MLP 모델보다 3차원 선형의 형상을 고려하기 위해 선형 오프셋을 추가한 CNN 모델이 더 좋은 예측치를 보여주는 것을 확인하였다. 다만, 선형의 상세 형상이 결정되지 않은 초기선형설계 단계일 때는 MLP 모델도 유용성을 가지고 있다. 파랑중 부가저항 계수는 활용할 수 있는 모형시험의 수가 절대적으로 부족하여 포텐셜 기반의 해석 결과를 예측하는 모델을 사용하였다. 실선 동력 곡선 도출 과정에서 모형시험 결과 확장 방법보다 더 많은 가정과 단순화를 적용하여 최소한의 입력으로 예측하는 방법을 적용하였다. 상기 과정을 통해, 실제 운항 선박 데이터도 없고, 선박의 성능에 대한 상세해석을 수행하지 않고서도 기존 데이터베이스 기반의 예측모델을 활용함으로써 운항 경로의 기상 데이터를 고려하여 선박의 연료 소모량을 예측하는 전체 과정과 방법을 보였으며, 가상 항로의 왕복 시뮬레이션을 통해서 본 방법의 타당성을 검토하였다.
예측의 정도 향상을 위해서는 데이터베이스 확충을 통한 예측모델의 정도 향상, 선체 오손에 의한 성능 저하 모델 개발 및 적용, 과하중 상태의 추진 계수 변화 모델 개발, 트림 상태에 따른 성능 변화 모델 개발 등에 대한 추가적인 연구가 필요할 것으로 판단된다. 또한 실선 운항 데이터 확보 및 비교를 통한 예측 정도에 대한 정밀한 비교도 필요하다.
Acknowledgments
본 논문은 선박해양플랜트연구소 주요사업 “디지털 플랫폼 활용 선박 성능 추정 기술 개발(PES5582, 2520000685)”과 “극한환경상태의 선박성능 평가기술 개발(PES5461, 2520000674)”로 수행된 결과입니다.
References
-
Holtrop, J. and Mennen, G.G.J., 1978. A statistical power prediction method. International Shipbuilding Progress, 25, pp.253.
[https://doi.org/10.3233/ISP-1978-2529001]
-
Hu, Z., Zhou, T., Osman, M.T., Li, X., Jin, Y. and Zhen, R., 2021. A novel hybrid fuel consumption prediction model for ocean-going container ships based on sensor data. Journal of Marine Science and Engineering, 9(4), pp.449.
[https://doi.org/10.3390/jmse9040449]
- ISO 15016:2025(en) – Ships and marine technology – specifications for the assessment of speed and power performance by analysis of speed trial data, 2025. Third edition.
- ITTC – Recommended procedures and guidelines, 2017. 1978 ITTC performance prediction method. 7.5-02-03-01.4, Revision 04.
- ITTC – Recommended procedures and guidelines, 2024. Procedure preparation, conduct and analysis of speed/power trials. 7.5-04-01-01.1, Revision 08.
-
Kim, K., Roh, M., 2020. ISO 15016:2015-based method for estimating the fuel oil consumption of a ship. Journal of Marine Science and Engineering, 8(10), pp.791.
[https://doi.org/10.3390/jmse8100791]
-
Kim, Y.C., Kim, G.D., Kim, M.S., Hwang, S.H., Kim, K.S., Yeon, S.M. and Lee, Y.Y., 2021. Powering performance prediction of low-speed full ships and container carriers using statistical approach. Journal of the Society of Naval Architects of Korea, 58(4), pp.234-242.
[https://doi.org/10.3744/SNAK.2021.58.4.234]
-
Kim, Y.C., Kim, K.S., Hwang, S.H. and Yeon, S.M., 2022. Prediction of residual resistance coefficient of ships using convolutional neural network. Journal of the Society of Naval Architects of Korea, 59(4), pp.243-250.
[https://doi.org/10.3744/SNAK.2022.59.4.243]
-
Kim, Y.C., Kim, K.A., Yeon, S., Lee, Y.Y., Kim, G.D., and Kim, M., 2023. Power prediction method for ships using data regression models. Journal of Marine Science and Engineering, 11, pp.1961.
[https://doi.org/10.3390/jmse11101961]
-
Lee, S., Kim, D., Seo, J., Kim, K., Han, S., Kim, M. and Chung, S., 2024. Fuel consumption modeling for a VLCC using added resistance test results and operation data in seaways. Journal of the Society of Naval Architects of Korea, 61(5), pp.359-369.
[https://doi.org/10.3744/SNAK.2024.61.5.359]
-
Park, D.M., Hwang, S.H. and Kwon, Y.J., 2025. Experimental study on hull surface pressure, motion response, and added resistance measurements of a KLNG in regular waves. Journal of the Society of Naval Architects of Korea, 62(3), pp.169-178.
[https://doi.org/10.3744/SNAK.2025.62.3.169]
- Simonsen, C.D., Otzen, J.F., Nielsen, C. and Stern, F., 2014. CFD prediction of added resistance of the KCS in regular head and oblique waves. The 30th Symposium on Naval Hydrodynamics.
-
Wang, K., Hua, Y., Huang, L., Guo, X., Liu, X., Ma, Z., Ma, R. and Jiang, X., 2023. A novel GA-LSTM-based prediction method of ship energy usage based on the characteristics analysis of operational data. Energy, 282, 128910.
[https://doi.org/10.1016/j.energy.2023.128910]
-
Wang, S., Ji, B., Zhao, J., Liu, W., Xu, T., 2018. Predicting ship fuel consumption based on LASSO regression. Transportation Research Part D: Transport and Environment, 65, pp.817-824.
[https://doi.org/10.1016/j.trd.2017.09.014]
-
Wang, Z., Lu, T., Han, Y., Zhang, C., Zeng, X. and Li, W., 2024. Improving ship fuel consumption and carbon intensity prediction accuracy based on a long-term memory model with self-attention mechanism. Applied Science, 14(18), 8526.
[https://doi.org/10.3390/app14188526]
-
Yan, R., Wang, S., Du, Y., 2020. Development of a two-stage ship fuel consumption prediction and reduction model for a dry bulk ship. Transportation Research Part E: Logistics and Transportation Review, 138, 101930.
[https://doi.org/10.1016/j.tre.2020.101930]
- Yun, K.T., Kim, J.J., Lee, Y.H., Kim, Y.S. and Park, G.I., 2014. Energy efficiency managemnet system application & measured data analysis on container ship. RINA Conference: Design & operation of container ships, London, UK.






















