
불규칙파 중 파랑 및 운동응답의 수렴성에 관한 실험 연구
This is an Open-Access article distributed under the terms of the Creative Commons Attribution Non-Commercial License(http://creativecommons.org/licenses/by-nc/3.0) which permits unrestricted non-commercial use, distribution, and reproduction in any medium, provided the original work is properly cited.
Abstract
This study investigates the convergence characteristics of variance in wave and motion responses under irregular wave conditions using experimental model tests. Two wave conditions with identical significant wave height (Hs) and peak period (Tp) but different peak enhancement factors (γ = 1.0 and γ = 3.3) were considered. Experiments were conducted under zero-speed conditions using a 1/82 scale model of the KLNG2. Spectral analysis, response amplitude operators (RAOs), and autocorrelation functions were used to estimate the required measurement time for statistical convergence. The results confirm that the method proposed by Naito and Kihara (1993) is applicable to both wave and motion response convergence assessment. It was found that a higher peak enhancement factor leads to slower decay in autocorrelation function and requires longer measurement time for convergence. Furthermore, wave elevation and motion responses showed distinct convergence behavior due to differences in spectral shape and frequency characteristics. The findings suggest that estimating response spectra in advance allows prediction of required measurement duration based on acceptable error levels. This approach can improve the accuracy and reliability of model experiments in irregular waves.
Keywords:
KLNG2(KRISO LNG Carrier), Convergence properties, Irregular waves, Seakeeping, Autocorrelation function키워드:
수렴성, 불규칙파, 내항성능, 자기상관함수1. 서 론
불규칙파 조건에서 수행되는 모형 실험에서는 계측 시간을 얼마나 확보해야 수렴된 결과를 얻을 수 있는지가 실험의 정확도와 신뢰도를 좌우하는 핵심 요소 중 하나이다. 국제수조회의(ITTC)에서는 모형 실험 시 계측 시간을 총 파랑 조우 수 N으로 정의하며, 일반적으로 N=50은 최소 기준으로 간주되고, N=100은 보통의 기준, N=200 이상은 우수한 실험 관행으로 평가된다 (ITTC, 2024). 또한 선미파(following sea) 조건에서는 실선 환산 기준으로 약 30분의 실험 시간이 충분하다고 제시한다. 그러나 이러한 기준들이 어떤 과학적 근거를 바탕으로 도출되었는지에 대해서는 명확한 설명이 부족한 실정이다.
불규칙파 조건에서 계측 시간에 관한 연구는 매우 제한적이다. 이와 관련된 선도적인 연구로는 Naito and Kihara (1993)가 있으며, 이들은 계측 시간에 따른 평균값 및 분산의 정확도를 추정하는 절차를 제안하였다. 이후 Miyake (2024)는 해당 절차를 바탕으로 불규칙파 조건에서의 실험 또는 수치해석에 필요한 최소 계측 시간에 대해 검토하였다. Bulian et al. (2006)은 Naito and Kihara (1993)의 연구를 참고하여 스펙트럼의 형태가 시간 분산 추정량의 분산에 어떤 영향을 미치는지를 분석하였다. 부가저항에 대해서는 Kim and Kim (2011)이 수치해석을 통해 실선 기준으로 약 1시간에서 1.5시간의 계측 시간이 수렴에 필요하다고 제안하였다.
본 연구에서는 Naito and Kihara (1993)의 방법론을 기반으로, 모형 실험에서 파랑 및 운동응답에 대한 분산 수렴 특성을 분석하였다. 실험은 Sea State 6 (SS6) 해상상태를 대상으로 수행되었으며, 선박의 정지 상태에서 파랑과 운동응답을 계측하였다. 계측된 데이터를 바탕으로 분산이 수렴하기 위해 필요한 계측 시간을 분석하고, 그 결과를 모형 실험과 비교하였다. 특히, Miyake (2024)의 연구가 입사파에 대해서만 적용된 반면, 본 연구에서는 이를 선박의 운동응답까지 확장하여 적용하였다.
본 연구를 통해 불규칙파 조건에서 계측 시간과 파랑 및 운동응답의 수렴 특성을 확인하였다. 이를 통해, 내항성능 실험 시 ITTC에서 제안하는 계측 시간 기준의 타당성을 검토할 수 있을 것으로 기대된다.
2. 이론적 배경
2.1 자기상관함수
자기상관함수(Autocorrelation Function)는 시계열 신호가 시간 지연에 따라 자기 자신과 얼마나 유사한지를 나타내는 함수이다. 일반적으로, 시계열 신호 x(t)에 대해 시간 간격 τ만큼 이동한 신호와의 내적을 통해서 정의한다.
| (1) |
여기서 R(τ)는 시간 지연 τ에 대한 자기상관함수를 나타낸다. 자기상관함수는 파 스펙트럼과 푸리에 쌍(Fourier Pair) 관계를 가지며, 이는 Wiener-Khinchin 정리에 의해 정의된다. 즉, 파도의 자기상관함수에 푸리에 변환을 적용하면 해당 파 스펙트럼을 얻을 수 있다.
| (2) |
2.2 계측 시간과 측정 오차
Naito and Kihara (1993)는 유한한 시간 동안 계측된 데이터의 분산 및 평균값의 정확도가 계측 시간의 길이에 따라 어떻게 달라지는지를 불규칙파 시계열의 자기상관함수를 이용하여 분석하였다. 이들은 파의 자기상관함수가 다음과 같이 지수함수적으로 감소한다고 가정하였다.
| (3) |
여기서ωp 는 파 스펙트럼의 피크 주파수, α는 자기상관함수의 감쇠 계수, R(0)는 분산값을 의미한다.
Naito and Kihara (1993)의 연구에 따르면 계측 시간과 상대 오차율 간의 관계는 다음 식으로 표현할 수 있다.
| (4) |
여기서 Tm은 계측 시간을 나타내고 ε(%)는 분산값에 대한 상대 오차율을 나타낸다. 보다 자세한 내용은 Naito and Kihara (1993)에 제시되어 있다.
3. 모형실험
3.1 해양공학수조
모형 실험은 선박해양플랜트연구소(KRISO)에 위치한 해양공학수조(Ocean Engineering Basin, OEB)에서 수행되었다. 해양공학수조는 길이 56 m, 폭 30 m, 수심 3.2 m 규모이며, 규칙파와 불규칙파를 포함한 다양한 파랑 조건의 발생이 가능하다. Fig. 1은 실험이 수행된 해양공학수조의 전경을 나타낸다.
3.2 대상 선형
실험에 사용된 대상 선형은 공개된 형상인 KLNG2(KRISO 170K Twin Skeg LNG Carrier)이다. 모형선은 해양공학수조(OEB)의 규모 및 파랑 발생 조건을 고려하여 1/82 축척으로 제작되었으며, 소재로는 FRP(Fiber-Reinforced Plastic)가 적용되었다. Fig. 2는 모형선의 외관을, 주요 제원은 Table 1에 정리하였다.
모형선은 소프트 스프링(soft-spring) 시스템을 이용하여 계류된 상태에서 견인되었으며, 스프링 배치는 Seo et al. (2023)의 방법론을 참고하여 종동요 복원력이 최소화되도록 다이아몬드 형태(◇)로 구성되었다. 소프트 스프링의 주요 사양은 Table 2에 제시되어 있다.
3.3 모형 실험 조건
모형 실험은 Sea State 6 (SS6) 조건에서 수행되었으며, 파랑 스펙트럼의 첨두 계수(γ) 변화에 따른 수렴성의 차이를 분석하기 위해 첨두 계수 값 1.0과 3.3을 각각 적용하였다.
일반적으로 내항성능 평가를 위한 모형 실험은 전진 속도가 있는 조건에서 수행된다. 그러나 이러한 조건에서는 수조의 물리적 제약으로 인해 충분한 계측 시간을 확보하기 어렵다는 한계가 존재한다. 이를 보완하기 위한 다양한 접근법이 있으나, 본 연구에서는 추가적인 불확실성을 최소화하기 위해 정지 상태에서 실험을 수행하였다.
4. 불규칙파
4.1 수치 해석
모형 실험에 앞서, Naito and Kihara (1993)에서 제안한 수렴성 분석 절차를 이론적 스펙트럼에 적용하여 사전 검토를 수행하였다. Fig. 3은 본 검토에 사용된 파랑 스펙트럼을 나타낸 것이다. 사용된 두 스펙트럼은 동일한 유의파고(Hs)와 첨두주기(Tp)를 가지며, 첨두 계수(γ)만 서로 다르다. 유의파고가 같기 때문에 스펙트럼의 전체 면적은 동일하나, γ = 3.3을 갖는 W2 파는 Tp 부근에 에너지가 집중된 형태를 보인다.
불규칙파는 다수의 주기와 진폭을 갖는 파성분들의 선형 중첩으로 구성되며, 아래 식으로 나타낼 수 있다.
| (5) |
여기서 Aj는 j성분 파의 진폭, ωj는 주파수, δj는 무작위 위상각을 나타낸다. 무작위 위상각은 시간에 대해 일정하고 0과 2π 사이에 균일하게 분포된 난수로 설정된다. 성분파의 주파수는 0.2rad/s∼2.0rad/s 범위에서 비균등 간격으로 배치하여 시계열의 반복이 발생하지 않도록 하였으며, 총 1,000개의 불규칙파 성분으로 구성하였다. 각 파 성분의 진폭 Aj는 파 스펙트럼으로부터 아래 식을 통해 계산된다.
| (6) |
여기서 S(ωj)는 주파수 ωj에서의 스펙트럼 밀도, Δω는 주파수 간격을 나타낸다.
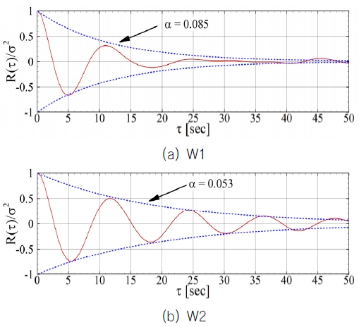
불규칙파의 시계열로부터 Eq. (1)을 적용하면 자기상관함수를 계산할 수 있다. Fig. 4는 W1 및 W2 파에 대해 계산된 자기상관함수를 나타낸다.
W1 파는 W2 파에 비해 스펙트럼 에너지가 상대적으로 넓은 주파수 대역에 분포되어 있어, 자기상관함수의 감쇠가 빠르고 주기적인 패턴이 약하게 나타난다. 반면, W2 파는 에너지가 첨두주기 부근에 집중되어 있기 때문에 감쇠 속도가 느리고, 자기상관함수 내에서 주기적인 성분이 상대적으로 뚜렷하게 유지되었다.
횡동요 운동의 자유감쇠 해석에 사용되는 방법을 적용하여 자기상관함수의 감쇠계수를 해석하였다. 상부(upper)와 하부(lower) 지점을 각각 추출한 뒤, 최소제곱법(least squares method)을 이용하여 감쇠계수를 해석하였다. 실제로 Eq. (3)에서 가정한 바와 같이, 두 파 모두 자기상관함수가 지수적으로 감소하는 특성을 보인다. 피팅 결과, W1 파의 감쇠 계수는 0.085, W2 파의 감쇠 계수는 0.053으로 나타났다.
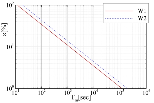
Fig. 5는 계측 시간에 따른 분산 상대 오차율을 나타낸 것으로, Eq. (4)를 이용하여 계산되었다. 본 그래프는 x축과 y축 모두 로그 스케일로 표시되어 있으며, 계측 시간이 증가함에 따라 분산 상대 오차율이 감소하는 경향을 확인할 수 있다.
Fig. 5로부터 계측 시간에 따른 분산 상대 오차율의 변화를 확인할 수 있으며, Table 4에는 상대 오차율이 20%, 10%, 5% 이하가 되기 위해 요구되는 계측 시간을 정리하였다. 계측 시간은 초(sec) 단위뿐만 아니라 첨두 주기(Tp)의 배수로도 함께 나타내었다.
Eq. (4)에서 예측할 수 있듯이, 오차율이 절반으로 감소하면 계측 시간은 약 4배 증가하는 경향을 보인다. 예를 들어, W1 파의 경우 분산 오차를 20% 이하로 유지하기 위해서는 약 24 TP, 10% 이하를 만족하기 위해서는 약 95 TP의 계측 시간이 요구된다. 반면, W2 파의 경우 동일한 오차 수준을 만족하기 위해 각각 약 38 TP 및 152 TP의 계측 시간이 필요하다.
이는 동일한 유의파고(HS) 및 첨두 주기(TP) 조건에서도 첨도 계수(γ)에 따라 수렴 특성이 달라지며, 결과적으로 파 스펙트럼의 형태가 계측 시간 설정에 큰 영향을 미침을 의미한다. 한편, 파도에 대해 ITTC에서 권장하는 N=200 조건을 적용할 경우, 분산 상대 오차율은 약 5~10% 수준으로 유지될 것으로 예상된다.
지금까지의 논의 내용을 수치적으로 검증하기 위해, 총 50개의 불규칙파 시계열을 생성하였다. 각 시계열에 대해 시간에 따른 분산값의 변화를 Fig. 6에 나타내었다. 일부 수치 결과는 이론적으로 기대되는 범위에서 벗어나는 경향을 보였으나, 대부분의 결과는 청색 실선으로 표시된 이론 해석값 내에 포함됨을 확인할 수 있었다. 이를 통해, 본 연구에서 적용한 분산 상대 오차율 및 수렴성 분석 절차가 이론적으로 타당함을 수치적으로 확인할 수 있었다.
4.2 모형 실험
앞서 수행한 수치해석 결과를 모형 실험에 동일하게 적용하여 실험적 타당성을 확인하였다. 두 가지 파 조건(W1, W2)에 대해 각각 파랑 스펙트럼, 자기상관함수, 시간에 따른 분산값을 분석하였다.
모형 실험에서는 파랑을 기준 실선 기준 3시간(10,800초) 동안 생성하였으며, 이를 1,600초 간격으로 분할하여 분석을 수행하였다. 파 스펙트럼 분석은 전체 10,800초의 시계열 데이터를 활용하여 수행하였으며, 파도 교정의 기준으로 활용되었다. 교정은 유의파고(HS) 기준 ±3% 이내가 되도록 수행하였다.
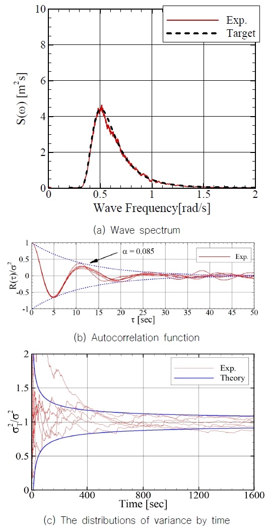
Fig. 7(a)는 W1 파에 대한 파랑 스펙트럼을 나타낸 것이다. 붉은색 실선은 모형 실험 결과이며, 점선은 이론 스펙트럼을 나타낸다. 0.6–0.7 rad/s 구간에서 이론 스펙트럼보다 다소 낮은 값을 보였으나, 전반적으로 모형 실험 결과와 이론값이 잘 일치함을 확인할 수 있었다. 이후, 1,600초로 분할된 시계열에 대해 자기상관함수를 계산하였으며, 그 결과는 앞서 수치해석에서 얻은 자기상관함수와 감쇠 특성에서 유사한 경향을 나타냈다.
또한, Fig. 7(c)에 도시된 바와 같이, 각 시계열에 대해 계산된 시간에 따른 분산값은 이론적으로 예상되는 범위 내에 존재함을 확인하였다. 이를 통해 수치해석과 모형 실험 결과 간의 정량적 일치를 확보하였으며, 본 연구에서 제시한 수렴성 분석 절차가 실험적으로도 유효함을 입증할 수 있었다.
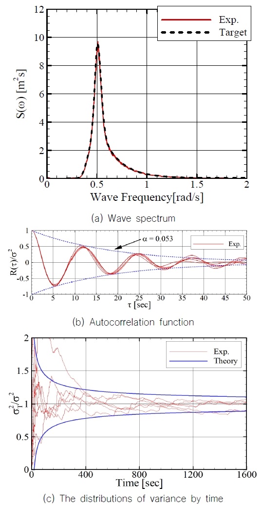
Fig. 8은 W2 파도에 대한 모형 실험 결과를 나타낸 것이다. 전반적인 경향은 앞서 W1 파도에서 관찰된 결과와 유사하게 나타났으며, 스펙트럼 특성, 자기상관함수, 분산값의 시간 변화 모두 수치해석 결과 및 이론값과 잘 일치하는 양상을 보였다.
5. 불규칙파에서 운동 응답
5.1 운동 응답 함수
운동 응답에 대한 불규칙파 해석에 앞서, 운동 응답 함수(RAO: Response Amplitude Operator)를 도출하기 위해 white noise 조건에서 모형시험을 수행하였다. 여기서 white noise란 실선 기준 5~20초의 주기 범위 내에서 에너지 밀도가 균일한 파랑 스펙트럼을 의미하며, 해당 조건을 기반으로 실험이 진행되었다.
실험 결과는 파랑 그린함수를 기반으로 한 고차 경계요소법(Higher-Order Boundary Element Method, HOBEM)을 적용한 수치해석 프로그램인 AdFLOW의 결과와 비교하였다. AdFLOW에 대한 자세한 설명은 Park et al. (2024)에 제시되어 있다. 본 실험은 선수파 조건에서 수행되었기 때문에, 상하동요(heave) 및 종동요(pitch) 응답에 대해서만 비교를 진행하였다. 점(dot)으로 표시된 것이 모형 실험 결과이며, 실선은 수치해석 결과를 나타낸다. 두 결과는 전반적으로 양호한 일치도를 보였다.
한편, 파 주파수 약 0.3 rad/s 부근에서는 종동요 응답이 급격히 증가하는 현상이 관찰되었으며, 이는 해당 주파수 영역에서 white noise 파랑의 에너지가 상대적으로 부족하기 때문인 것으로 판단된다. 또한, 수치 해석 결과에서는 파 주파수가 0에 접근할 때 종동요 응답이 1에 수렴한 후 소폭 증가하는 경향이 나타났는데, 이는 soft-spring 시스템에 의해 소규모 복원력이 존재하고, 해석 과정에서 매우 작은 파 기울기(kA)에 의해 나누는 항이 포함되어 있기 때문으로 해석된다.
5.2 W1 파랑에서 수렴성 분석
운동응답의 수렴성을 분석하기위해서 운동 응답 스펙트럼을 해석하였다. Fig. 10은 W1에서 운동 응답 스펙트럼을 나타낸 것이다. 해당 스펙트럼은 다음의 두 가지 방법을 통해 도출되었다. 첫 번째 방법은, 모형 실험에서 계측된 운동 응답 함수와 파 스펙트럼을 중첩하는 방식이다. 두 번째 방법은, 불규칙파 조건에서 계측된 운동 응답 시계열을 직접 주파수 영역으로 변환하여 운동 응답 스펙트럼을 도출하는 방식이다. Fig. 10에서는 두 방법의 결과를 비교하였으며, RMS 기준으로 상하동요는 약 2.5%, 종동요는 약 0.5%의 차이를 보였다. 운동 응답 RAO의 주파수 특성과 파 스펙트럼의 형태가 결합되면서, 일부 조건에서는 두 개의 첨두(peak)를 갖는 복합적인 운동 응답 스펙트럼 형태가 나타나는 것도 관찰되었다.
Fig. 11은 상하동요(heave) 및 종동요(pitch)에 대한 자기상관 함수를 나타낸 것이다. 자기상관함수는 2가지 방법으로 얻었다. 첫 번째 방법은 모형시험에서 얻은 시계열을 이용하여 Eq. (1)을 이용하였으며 두 번째 방법은 Fig. 10에서 얻은 운동응답 스펙트럼을 역푸리에 변환을 통하여 얻었다. 두 방법에서 얻은 자기상관함수는 유사한 형태를 보여주었다. Fig. 10(a)에서 확인할 수 있듯이, 상하동요 응답 스펙트럼은 두 개의 첨두(peak)를 가지는 형태를 보이며, 이로 인해 자기상관 함수가 이상적인 지수 함수 형태로 감쇠하지 않는 경향을 보였다. 이러한 특성을 반영하여, 자기상관 함수의 지수 감쇠 계수는 해석할 때 일부 첨두값을 제외하고 최소제곱법을 이용하여 지수 감쇠 계수를 해석하였다.
반면, 종동요의 자기상관 함수는 전반적으로 지수적으로 감소하는 특성을 보였으나, 지연 시간 50초 이상에서는 감쇠 속도가 급격하게 증가하지 않고 완만하게 유지되는 경향을 보였다.
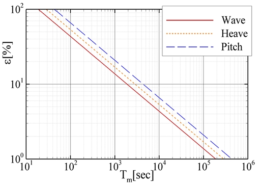
앞서 도출한 자기상관함수의 감쇠 계수를 바탕으로, 계측 시간에 따른 상대 오차율의 변화를 Fig. 12에 정리하였다. 분석 결과, 파랑의 분산 오차율이 가장 빠르게 수렴하였으며, 그 다음으로는 상하동요, 마지막으로 종동요가 상대적으로 더 긴 수렴 시간을 요구하는 것으로 나타났다.
이는 각 물리량의 주파수 특성과 자기상관 함수의 특성 차이에 기인한 것으로 해석될 수 있으며, 운동 응답에 대한 신뢰도 있는 통계치를 얻기 위해서는 파랑에 비해 더 긴 계측 시간이 필요함을 의미한다.
Table 5는 W1 파랑 조건에서 파랑, 상하동요(heave), 종동요(pitch) 각각에 대해 상대 오차율 수준별로 요구되는 계측 시간을 정리한 것이다. 분석 결과, 20%의 상대 오차율 허용 범위 내에서는 파랑의 경우 약 24 TP, 상하동요는 50 TP 종동요는 67 TP의 계측 시간이 각각 요구되었다. 상대 오차율 허용 범위를 10%로 줄일 경우, 파랑은 95 TP, 상하동요는 202 TP, 종동요는 269 TP로 계측 시간이 크게 증가하였다. 5% 수준의 오차율을 달성하기 위해서는 세 응답 모두에서 매우 긴 계측 시간이 필요하며, 이는 실제 실험 수행에서 현실적인 제약 요인으로 작용할 수 있다.
이러한 결과는 동일한 파랑 조건에서 측정 대상에 따라 수렴 특성에 명확한 차이가 존재함을 보여준다. 다시 말해, 동일한 수준의 상대 오차율을 달성하기 위한, 파랑, 상하동요, 종동요 각각에 대해 요구되는 계측 시간은 서로 다르다. 따라서 모형 실험을 설계할 때에는 어떤 응답을 기준으로 계측 시간을 설정할 것인지에 대한 사전 고려가 필수적이다. 예를 들어, 국제수조회의(ITTC)에서 제안하는 N=200 조건을 기준으로 할 경우, 본 연구 결과에 따르면 상하동요의 분산 상대 오차율은 약 10%, 종동요는 약 11.5% 수준의 오차가 발생할 것으로 예상된다.
5.3 W2 파랑에서 수렴성 분석
Fig. 13은 W2 파랑 조건에서의 운동 응답 스펙트럼을 나타낸 것이다. 전반적인 경향은 W1 파도에서 관찰된 스펙트럼 형태와 유사하게 나타났으며, RMS 기준으로 상하동요는 약 0.3%, 종동요는 약 4.7%의 오차를 보였다. 특히 상하동요(heave) 및 종동요(pitch) 응답에서 유사한 주파수 특성과 첨두 형태가 관찰되었다. 다만, W2 파도에서는 전체적으로 운동 응답의 크기가 W1 파도보다 더 크게 나타나는 경향을 보였다.
Fig. 14는 해당 조건에서의 자기상관 함수를 나타낸 것이다. 상하동요의 자기상관 함수는 W1 파도와 비교하여 다소 작은 감쇠 계수를 보였으며, 종동요 역시 유사한 수준에서의 감쇠 경향을 나타냈다. 흥미롭게도, W1과 W2 파도의 스펙트럼 감쇠 계수 차이에 비해, 운동 응답의 감쇠 계수 차이는 상대적으로 작게 나타났다. 이는 파랑의 스펙트럼 특성 변화가 운동 응답의 수렴 특성에 미치는 영향이 제한적일 수 있음을 시사한다.
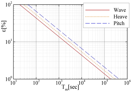
그럼에도 불구하고, W2 파도에서는 W1 파도에 비해 상대적으로 수렴성이 저하되는 경향을 보여주었다. 이를 정량적으로 검토하기 위해 Fig. 15에 계측 시간에 따른 오차의 변화를 정리하였으며, 분석 결과는 W1 조건과 동일하게 파랑이 가장 빠르게 수렴하고, 상하동요, 종동요 순으로 더 긴 계측 시간이 요구되는 경향을 보였다.
이러한 분석 결과는 Table 6에 정리된 상대 오차율 수준별 요구 계측 시간과도 일치한다. Table 6에서는 W2 파랑 조건에서 파랑, 상하동요, 종동요 각각에 대해 20%, 10%, 5%의 상대 오차율 수준에 대응하는 계측 주기 수(TP 기준)를 비교하였다. 앞선W1 조건과 비교했을 때, 전반적으로 W2 파도에서 동일한 오차 수준을 만족하기 위해 더 긴 계측 시간이 필요하였으며, 특히 운동 응답에서 이러한 경향이 더 뚜렷하게 나타났다.
6. 결 론
본 연구에서는 유의파고(HS=5.0m)와 첨두 주기(TP=12.4sec)가 동일하지만, 서로 다른 첨두 계수(γ=1.0, 3.3)에 대해 파랑 및 운동 응답(상하동요, 종동요)의 분산 수렴 특성을 모형 실험으로 검토하였다. 주요 결과는 다음과 같다.
Naito and Kihara (1993)에서 제안한 방법론을 적용하여, 파랑 및 운동 응답의 분산값에 대한 상대 오차율과 계측 시간의 관계를 실험적으로 확인하였다. γ=1.0 조건에 비해 γ=3.3 조건에서는 파랑의 에너지가 첨두 주기 부근에 집중되었으며, 이로 인해 자기상관 함수의 감쇠 속도가 감소하고 수렴 시간이 길어졌다. 예를 들어, 파랑의 분산값이 상대 오차율 10% 이내로 수렴하기 위해 요구되는 계측 시간은 γ=1.0에서 약 95 TP, γ=3.3에서 약 152 TP로 나타났다. 파랑과 운동 응답은 수렴 특성에서 뚜렷한 차이를 보였다. 파랑은 스펙트럼의 형상에 따라 수렴성이 결정된 반면, 운동 응답은 운동 응답 스펙트럼의 특성에 따라 수렴성이 결정되었다. 주어진 RAO와 파랑 스펙트럼을 기반으로 운동 응답 스펙트럼을 사전에 계산한 뒤, 상대 오차율을 이용하여 계측 시간을 예측할 수 있음을 확인하였다. 이는 모형 시험 설계 단계에서 필요한 계측 시간 산정에 유용한 도구가 될 수 있음을 보여준다.
본 연구는 정지 상태 조건에서 γ=1.0과 3.3의 제한된 불규칙파 조건을 대상으로 분석을 수행하였다. 향후 연구에서는 전진 속도, 6자유도 운동, 선수각 변화 등 보다 일반적인 조건으로 확장하여 수렴 특성을 검토할 예정이다.
Acknowledgments
본 논문은 해양수산부 재원으로 선박해양플랜트연구소의 기본사업인 “극한환경상태의 선박성능 평가기술 개발”에 의해 수행되었습니다(2520000674, PES5460).
References
-
Bulian, G., Francescutto, A. and Lugni, C. 2006. Theoretical, numerical and experimental study on the problem of ergodicity and practical ergodicity with an application to parametric roll in longitudinal long crested irregular sea. Ocean engineering, 33(8-9), 1007-1043.
[https://doi.org/10.1016/j.oceaneng.2005.09.004]
- International Towing Tank Conference(ITTC), 2024, Recommended Procedures and Guidelines – Seakeeping Experiments (7.5-02-07-02.1), 1-35.
-
Kim, K.H. and Kim, Y. 2011. Numerical study on added resistance of ships by using a time-domain Rankine panel method. Ocean Engineering, 38(13), 1357-1367.
[https://doi.org/10.1016/j.oceaneng.2011.04.008]
-
Miyake, S. 2024. Verification of record length of measurement in an irregular wave by using autocorrelation function. Journal of the Japan Society of Naval Architects and Ocean Engineers, 40.
[https://doi.org/10.2534/jjasnaoe.40.59]
-
Naito, S. and Kihara, H. 1993. Mutual relation between record length and accuracy of measuring data in irregular waves. Journal of the Society of Naval Architects of Japan, 1993(174), 397-408.
[https://doi.org/10.2534/jjasnaoe1968.1993.174_397]
-
Park, D.M., Seo, M.G., Song, H., Cho, S.K. and Hong, S.Y. 2024. Evaluation of seakeeping performance of an light aircraft carrier. Journal of the Society of Naval Architects of Korea, 61(5), 297-311.
[https://doi.org/10.3744/SNAK.2024.61.5.297]
-
Seo, M.G., Park, I.B., Park, D.M. and Hwang, S. 2023. A study on soft-mooring model test techniques for the evaluation of added resistance on ships. Journal of the Society of Naval Architects of Korea, 60(5), 320-331.
[https://doi.org/10.3744/SNAK.2023.60.5.320]















