
수치해석을 이용한 타 형상에 따른 수중 운동체의 조종 성능 연구
This is an Open-Access article distributed under the terms of the Creative Commons Attribution Non-Commercial License(http://creativecommons.org/licenses/by-nc/3.0) which permits unrestricted non-commercial use, distribution, and reproduction in any medium, provided the original work is properly cited.
Abstract
Maneuvering performance is one of the key hydrodynamic factors that determine the safety and functionality of an underwater vehicle. Therefore, accurately predicting maneuvering performance is essential for hull design. In this study, computational fluid dynamics(CFD) was used to analyze the maneuvering performance of a freely running underwater vehicle. The BB2 submarine was selected as the target model at a 1/18.35 scale. The commercial software STAR-CCM+ was used for the simulations, and the virtual disk method was applied to model the propeller thrust. For validation, resistance and self propulsion simulation were performed at the same speed and compared with model test results. Based on these results, turning and zig-zag tests were conducted. A six-degree-of-freedom(6-DOF) condition was applied, where a PD controller was used to control the rudder. Two different rudder configurations – X-rudder and cruciform rudder – were considered while all other conditions, including hull shape, speed, and control gain values, were kept identical to compare the differences caused solely by the rudder type. To implement the rotational motion of the rudder, the sliding mesh method was applied for the X-rudder, while the overset mesh method was used for the cruciform rudder to avoid interference between the rotating region and the hull. Finally, the maneuverability of the underwater vehicle was compared for the two rudder configurations, and in addition, hydrodynamic coefficients due to rudder deflection were analyzed in detail.
Keywords:
Computational fluid dynamics, Underwater vehicle, X-rudder, Cruciform rudder, Turning test, Zig-zag test키워드:
전산유체역학, 수중 운동체, X형 러더, 십자형 러더, 선회 시험, 지그재그 시험1. 서 론
잠수함은 수중 잠행이 가능한 함정으로 어뢰 및 미사일이 주력 무기인 전략 자산이다. 잠수함의 조종 성능 해석은 유체역학 관점에서 잠수함 설계에 필수적인 중요한 문제이다. 잠수함의 조종성능을 평가하는 방법으로 경험식 및 구속모형시험이 주로 활용되었다 (Overpelt et al., 2015; Kim et al., 2023). 최근에는 전산유체역학(Computational Fluid Dynamics, CFD)을 이용한 가상 구속모형시험이나 자유 항주 해석을 통한 직접 성능 해석이 수행되고 있다. CFD를 이용한 잠수함의 자유 항주 해석에는 잠수함의 6자유도 운동 해석, 난류 모델, 타의 거동 및 프로펠러 추력 모델과 같이 다양한 요소를 고려해야 하므로 많은 연구가 필요한 상황이다. Kim et al. (2018)은 레이놀즈 평균 나비에-스토크스 방정식(Reynolds-averaged Navier-Stokes, RANS) 시뮬레이션을 통한 잠수함의 선회와 지그재그 시험을 수행하였다. 중첩 격자법(overset-grid method)을 이용하여 타의 운동을 고려하였고 추력은 단순한 체적법(body force method)을 활용하였다. 이를 통해 잠수함의 조종성능을 모형시험과 비교하였고, 가상 자유 항주를 통한 잠수함의 조종성능 평가의 효용성을 검증하였다. 추후 연구로 추력 모델을 단순 체적법이 아닌 실제 프로펠러 형상을 모델링하여 정확도를 높이는 연구의 필요성을 제시하였다. Carrica et al. (2016, 2019)은 CFD를 이용하여 자유수면 아래에서 심도에 따른 해석을 수행하였고, 선체와 선미타의 움직임을 구현하기 위해 중첩격자법을 사용하였다. 자유수면 근처에서의 max-q 시뮬레이션을 수행할 때 함교 수평타(sail plane)와 선미타를 동시에 제어하였고, 실제 프로펠러를 모델링하여 추력 및 토크를 분석하였다.
Kwon et al. (2022)은 자유수면 근처의 영향을 고려한 수상 조건에서의 조종유체력 계수를 도출하기 위해 planar motion mechanism(PMM) 시험 연구를 수행하였다. 1/15 크기의 모형선의 자항점을 도출하였고, 자항점에서 조종시험을 수행하여 조종운동 방정식의 유체력 계수를 도출하였다. 이를 이용하여 선미타 우현 30° 선회 시뮬레이션을 수행하여 수상 조건에서의 직진 안정성과 제어 유효성을 확인하였다. 수상 조건에 대한 정밀한 조종운동 시뮬레이션을 위해 중립타각을 고려한 조종운동 수학모델 개선의 필요성을 제시하였다. Han et al. (2021)은 CFD를 이용하여 잠수함의 선회 기동 성능을 예측하였다. 정상 선회 기동과 공간 나선형 기동에 대한 해석을 수행하였고 중첩 격자법을 사용하여 물체의 운동을 처리하였다.
본 연구에서는 URANS(unsteady Reynolds-averaged Navier-Stokes) 방정식을 이용한 수치해석 프로그램을 이용하여 잠수함의 가상 자유 항주 해석을 수행하였다. 조종성능 해석에 앞서 잠수함의 저항 해석을 수행하였고, 프로펠러 추력 모델에 대해 자항점을 도출하였다. 선회 시험과 지그재그 시험 시뮬레이션을 위해 6자유도 운동, 타각 제어를 추가하였으며, 동일 선형에서 타에 의한 조종성능 비교를 위해 X타와 십자타에 대한 비교 연구를 수행하였다.
2. 이론적 배경
2.1 좌표계 및 지배방정식
잠수함의 직진 및 조종 문제를 해석하기 위해 Fig. 1과 같이 물체 고정 좌표계 B-xyz와 지구 고정 좌표계 O-XYZ를 도입하였다. 초기 각 좌표계의 원점은 잠수함의 부력 중심에 위치한다. 물체 고정 좌표계 B의 지구 고정 좌표계 O에 대한 상대 속도 벡터(u,v,w)와 각속도 벡터(p,q,r)를 이용하여 운동방정식은 다음과 같이 나타낼 수 있다 (Fossen, 1994).
| (1) |
| (2) |
여기서 m과 I는 잠수함의 질량 및 관성 모멘트이고 (X,Y,Z)와 (K,M,N)은 각각 물체 고정 좌표계에서 표현된 각 축방향 힘과 모멘트를 나타낸다. (xg,yg,zg)는 잠수함의 무게중심 좌표이며 좌우 대칭인 경우 yg는 0이다. 6자유도 운동을 해석하기 위하여 yaw-pitch-roll 순서의 오일러 각(Euler angle)을 도입하였다.
X타의 경우 4개의 선미타는 각각 고유의 회전을 위한 좌표계가 존재하고 선체 바깥을 향하는 방향이 양의 회전축 방향으로 정의하였다. 십자타의 경우 마주 보는 선미타끼리 동일한 회전축을 공유하도록 구현하였다.
잠수함에 작용하는 유체력 계산을 위해 비압축성 난류 유동의 해석이 요구되며, 지배방정식은 다음과 같이 표현된다.
| (3) |
| (4) |
여기서 (u1,u2,u3)는 유체의 속도를, (V1,V2,V3)는 격자의 속도를 의미한다. 응력 텐서 τij는 압력과 점성력, 난류 점성(turbulent eddy viscosity) 및 난류 운동에너지(turbulent kinetic energy)에 의한 영향이 고려되며, 체적력 bi 에는 중력만 포함된다.
2.2 수치 해법
본 연구에서는 유체 영역의 지배방정식을 해석하기 위해 STAR-CCM+를 사용하였다. 해석을 위해 선체 주변의 유체 영역을 구성하는 격자와 더불어 선체를 따라가며 회전하는 타 주변의 격자로 구성하였다. X타의 회전 운동을 처리하기 위해 슬라이딩 격자법(sliding grid method)을 적용하였고, 십자타의 회전 운동을 처리하기 위해 중첩 격자법(overset-grid method)을 적용하였다. 선미타는 선체를 따라가며 회전만 하므로 계산 비용을 고려하여 X타의 경우 슬라이딩 격자법을 적용하였지만, 십자타를 모델링하는 과정에서 슬라이딩 격자 영역과 선체 영역의 간섭이 문제가 되어 이 경우 중첩 격자법을 적용하였다. 배경이 되는 선체 격자는 선체의 회전 및 이동에 따라 같이 움직이도록 처리하였다.
잠수함 선체에 작용하는 외력 및 외력 모멘트는 타에 작용하는 외력 성분도 포함하며, 이를 통해 선체와 타가 이동하고 타의 회전축은 선체 고정 좌표계의 하위 좌표계로 선체 좌표계를 따라 변환되도록 구현하였다. 본 연구에서 사용한 격자 시스템의 예는 Fig. 2에 정리하였다. 난류 유동 해석을 위해 Realizable K-Epsilon 난류 모델과 벽함수를 이용하였다.
프로펠러의 단독 성능 해석에는 실제 프로펠러 형상을 모델링하고 회전하는 각도를 고려하여 매우 작은 시간 간격으로 계산을 수행한다. 그러나 이러한 접근은 잠수함의 조종 성능 해석에 과도한 계산 시간을 요구하며, 전체 해석의 계산 비용을 증가시킨다. 본 연구에서는 계산 효율성을 높이기 위해 실제 프로펠러 대신, 단독 성능 해석 결과를 이용한 가상 디스크(virtual disk) 기법을 적용하였다. 실제 프로펠러 형상과 이에 대응하는 가상 디스크 모델은 Fig. 3에 나타내었다.
2.3 제어 알고리즘
본 연구에서는 실험과 동일한 조건으로 선미타를 제어하기 위해 PD 제어를 사용하였다. P와 D는 각각 비례와 미분 게인 값을 뜻하고 기존의 실험과 동일하게 적분 제어 없이 선미타 제어를 수행하였다. STAR-CCM+ 내에서 제공하는 “simulation operation” 기능과 “field function” 기능을 사용하여 PD 제어기를 구현하였다. 제어를 위해 필요한 변수들을 설정하였고, 각 타임 스텝마다 잠수함의 현재 자세가 입력 값으로 사용된다. 목표 자세와 현재 자세 사이의 에러 값이 계산되면 에러 값과 게인 값과의 연산을 통해 타의 제어 값이 출력된다. 출력된 타 각에 따라 변화된 잠수함의 새로운 자세가 다음 타임 스텝의 현재 자세로 입력되는 루프 형태로 제어기를 구현하였다. 게인 값들은 실험과 동일하게 사용하였으며 Table 1에 정리하였다.
X타의 경우 4개의 선미타가 동시에 수직 및 수평 방향 제어에 관여한다. PD 제어를 통하여 잠수함의 깊이와 종동요 각을 제어하는 δs, 그리고 좌우동요와 방위각을 제어하는 δr이 출력된다. 그리고 다음과 같은 δs와 δr의 연산을 통해 각 선미타의 회전 각도가 정해진다.
| (5) |
십자타의 경우 x타와 마찬가지로 PD제어를 통해 δs와 δr이 결정되지만, δs는 좌, 우의 stern plane 각도, δr은 위, 아래의 rudder 각도로 입력되어 잠수함의 자세를 제어한다.
3. 해석 결과
3.1 대상 조건
본 연구에서는 기존에 공개되어 있는 BB2 선형의 저항, 자항 성능, 선회 성능 및 지그재그 성능 해석을 수행하였다. 비교를 위한 모형 시험은 MARIN (Overpelt et al., 2015)에서 수행되었으며, 잠수함의 기본 제원은 Table 2에 정리하였다. 같은 선형에 대해 X타와 십자타의 조종 성능 비교를 위해 Watt (2019)이 제안한 BB3 잠수함의 선미타 형상을 이용하여 십자타에 대한 해석을 수행하였다. X타와 십자타의 두 가지 해석 경우 선체 형상과 제원은 동일하고 선미타만을 변경하여 해석 및 비교하였다. 두 선미타 형상은 Fig. 4에 나타내었다.
두 선미타의 경우 형상을 제외한 나머지 조건들은 같게 유지하기 위해 동일한 PD 게인 값과 선미타 회전 속도(30.5°/s) 및 최대 타각(30°)을 적용하였다. X타의 경우 4개의 선미타 형상이 모두 동일한 반면 십자타의 경우 좌, 우 stern plane 형상은 동일하지만 위, 아래 rudder는 서로 다른 형상을 갖는다. 이는 십자타가 적용된 선체가 해저에 위치할 경우 아래 rudder의 손상을 방지하기 위한 설계이다. 각 선미타에 대한 실선 기준 형상 단면은 Fig. 5에 정리하였으며, 단면의 좌표는 Table 3에 정리하였다.
3.2 저항 및 자항 해석
본 연구에서 자유 항주 해석을 진행하기 전 저항 해석을 수행하였고, International Towing Tank Conference(ITTC) 절차에 따른 격자 불확실성 해석을 수행하였다 (ITTC, 2008). 격자 크기는 약 1.4배의 차이로 각각 coarse, medium, fine으로 설정하였고, 세 경우의 y+값은 약 55로 같은 수준을 유지하였다. 이 수준을 만족하기 위해 프리즘 층 두께(prism layer thickness)는 약 0.025m, 층의 개수는 5개를 사용하였다. 표면의 격자를 coarse 수준으로 설정할 경우, 형상을 제대로 반영하지 못하고 격자 품질 저하로 인해 계산이 발산하는 문제가 발생하였다. 이에 따라 러더 주변의 격자 밀도는 계산 안정성과 효율성을 고려하여 medium 수준으로 유지하였다. 격자 수는 coarse에서 약 300만 개, medium에서 약 540만 개, fine에서 약 1,300만 개였으며, 각 격자의 예는 Fig. 6에 나타내었다.
저항 값을 이용한 불확실성 해석 결과 수렴비 0.33으로 단조 수렴하는 것을 확인하였고, 격자 불확실성은 0.26%로 충분히 수렴된 결과로 판단하였다. 전저항 계수는 모형 시험 결과 대비 약 1.18% 차이가 났으며, 불확실성 해석 결과를 바탕으로 계산 효율을 고려하여 medium 수준의 격자로 자항 및 조종 해석을 수행하였다.
앞서 언급된 가상 디스크 기법을 적용하여 잠수함이 직진하는 상황에서 목표 속도로 전진할 수 있도록 자항점을 도출하였다. 모형 시험 값이 존재하는 MARIN 7371R 프로펠러에 대한 4개의 프로펠러 회전수에 대하여 해석을 수행하여 실험 및 선행 연구된 결과 (Overpelt et al., 2015)와 비교를 진행하였다.
각 프로펠러 회전수에서 얻은 선속을 Fig. 7에 나타내었다. 전반적으로 주어진 프로펠러 회전수에서 실험 및 타 수치해석 결과와 유사한 선속 결과를 얻었으며, 선회 및 지그재그 시험에서 적용한 전진 속도 1.19m/s에 대해 실험 결과는 266rpm, 본 수치해석 결과는 269rpm으로 약 1.13% 차이를 보였다.
3.3 선회 성능 해석
잠수함의 선회 성능을 해석하기 위해 직진하는 잠수함에 유효 타각 20°를 발령하여 좌현으로 선회하도록 하였다. 선회 시 δr은 -20°로 고정하지만 δs는 잠수함의 자세에 따라 지속적인 제어가 이루어졌다. Fig. 8에 본 연구의 해석 결과를 실험 및 선행 수치해석 결과와 함께 나타내었고, Table 4에 방위각 90° 기준 전진 거리 및 횡 방향 이동 거리, 전술 직경을 실험 및 선행 연구와 비교하여 정리하였다. 실험 결과 대비 전진 거리(advance, AD)는 약 0.8%, 횡방향 이동 거리(transfer, TR)는 약 13.3%, 전술 직경(tactical diameter, TD)은 약 8% 이내의 차이를 보이며, 다른 수치해석 결과와 유사한 궤적을 보여주고 있다.
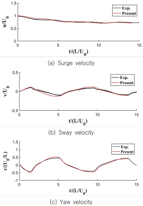
선회 시 추력 시계열을 Fig. 9에 정리하였다. 본 연구에서는 가상 디스크 기법을 사용하였기 때문에 실험과 비교했을 때 실험만큼의 변동성은 없지만 유사한 경향을 보인다. 선회 시 전후, 좌우 방향 속도와 횡동요 및 선수 동요 시계열을 Fig. 10과 Fig. 11에 정리하였다. 선회를 시작하기 직전 잠수함 자세가 실험과 작은 차이를 보이지만 이를 고려하더라도 각 축방향 속도와 회전 각도의 시계열은 시뮬레이션 중 잠수함의 자세 변화가 실험과 유사한 경향을 보이는 것으로 나타났다.
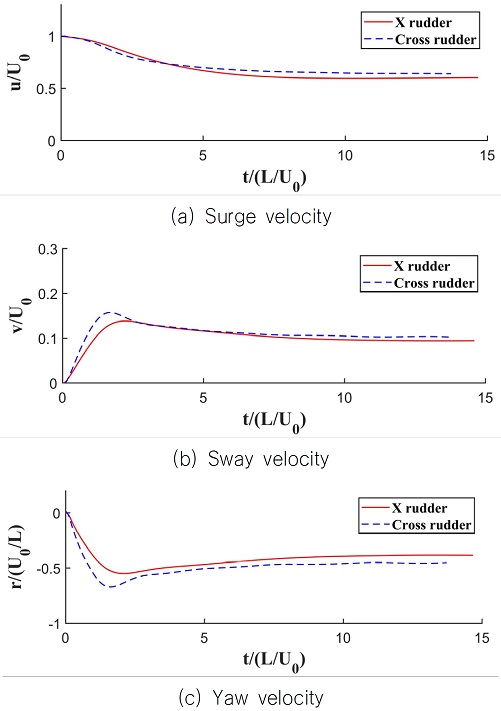
십자타와 X타의 선회 궤적을 Fig. 12에 나타내었다. 동일 선속에서 비교를 위해 십자타의 경우 프로펠러 회전수는 약 275rpm으로 조정하였고 이는 X타 대비 약 2.2% 증가한 값이다. 십자타의 경우 X타 대비 더욱 빠르게 선회가 진행되지만, 정상상태에서 선회 반경은 두 타의 결과가 유사하다. 정량적인 비교를 위해 전진거리, 횡방향 이동거리, 전술직경 및 정상상태 선회 반경을 각 타 형상에 대해 Fig. 13에 비교하였다. 전진 거리는 약 15%, 횡방향 이동 거리는 약 16%, 전술 직경은 약 8.6%, 정상 상태 선회 반경은 약 7.7%의 차이를 보이며 십자타가 X타의 결과보다 모두 낮게 나왔다. X타와 십자타의 선회 시 속도와 각속도에 대한 시계열을 Fig. 14에 정리하였다. 초기 선회가 시작되어 가속이 발생할 때, y 방향 속도 및 선수동요 각속도가 십자타에서 더 큰 것으로 나타났다.
Comparison of time histories of velocities during 20° turning to port side between X rudder and cross rudder
X타와 십자타의 선회 결과에 주된 영향을 끼치는 타력과 타 모멘트를 평가하기 위해 정적 선미타 시험을 –20°에서 20°까지 5° 간격으로 수행하였다. 각 타각에서 계산된 타력과 타 모멘트를 실험 결과 (Kim et al., 2023)와 비교하여 Fig. 15에 정리하였다. 원점 근방에서 기울기를 통해 타각 변화에 따른 유체력 계수를 도출할 수 있으며 이를 Table 5에 정리하였다. X타의 경우 기존의 모형시험 결과와 유사한 유체력 계수 값을 보였으며, 십자타의 경우 동일한 각도로 회전한 X타에 비해 더 큰 y방향 힘과 z축 회전 모멘트가 발생하는 것으로 나타났다. 이에 따라 앞선 시계열에서 본 바와 같이 선회 초기 타가 작동했을 때, y 방향 속도와 z방향 각속도가 빠르게 증가하여 X타 대비 선회가 더 빠르게 시작하는 경향을 보였다.
정상상태에서 선회 직경은 선형(linear) 운동 방정식을 통해 아래 식과 같이 유도된다.
| (6) |
여기서 분모에 포함된 타에 의한 유체력 계수 Yδ와 Nδ가 정적 선미타 시험의 결과인 Table 5에 나타낸 바와 같이 십자타가 X타보다 크다. 따라서 십자타의 경우에 X타에 비해 선회 직경이 작아지는 것을 유추할 수 있다.
3.4 지그재그 해석
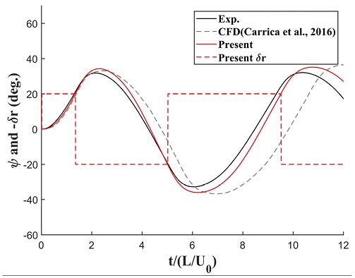
잠수함의 변침성을 평가하기 위해 지그재그 시험을 수행하였다. X타에 대한 좌현 20°–20° 지그재그 시험 결과를 실험(Overpelt et al., 2015) 및 선행 CFD 연구 결과 (Carrica et al., 2016)와 비교한 결과는 Fig. 16과 Fig. 17에, 각 방향 속도의 시계열은 Fig. 18에 각각 제시하였다. 시계열 결과는 전반적으로 실험과 유사한 경향을 보였으나, 첫 번째 및 두 번째 오버슈트 각 부근에서 크기와 발생 시점에 일부 차이가 나타났다. 한편, Carrica et al. (2016)의 CFD 결과와 비교하면, 전체적인 궤적 및 타 작동 시점에서 본 연구의 결과가 실험과 더 잘 일치하는 것으로 나타났다.
오버슈트 각에 대한 정량적 비교는 Table 6에 정리하였다. 본 연구의 CFD 결과는 실험에 비해 첫 번째 오버슈트 각에서 약 20%, 두 번째 오버슈트 각에서 약 25%의 상대적 차이를 보였으며, 이는 절대값 기준으로 최대 약 3.3° 이내의 오차이다.
앞서 제시한 선회 성능 결과에서는 본 연구의 해석이 실험에 비해 더 작은 선회 반경을 보였으며, 반대로 변침 성능 지표인 오버슈트 각에서는 해석 결과가 더 크게 나타났다. 이는 일반적인 선박 조종성능 특성과 일관된 경향으로 해석된다.
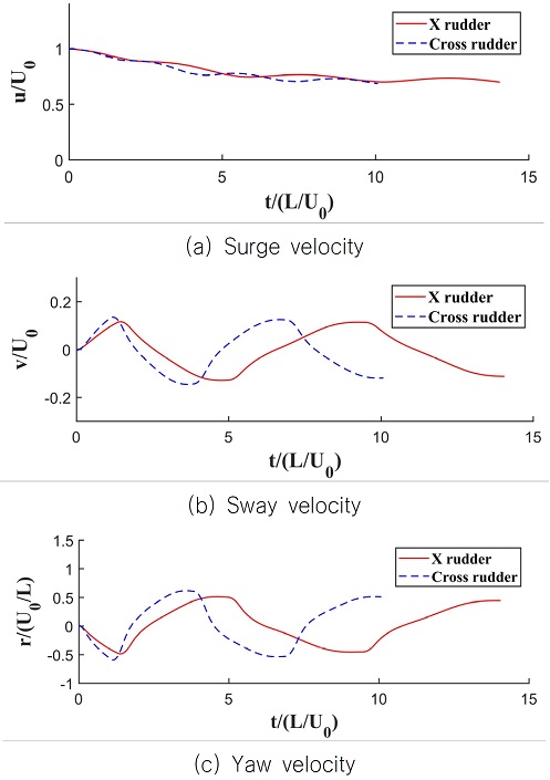
선회 성능 결과와 마찬가지로 X타와 십자타의 지그재그 성능 비교를 위해 동일한 조건에서 십자타에 대한 지그재그 성능 해석을 수행하였다. X타와 비교한 궤적 및 방위각과 타각을 Fig. 19와 Fig. 20에 나타내었고, 각 축 방향 속도와 각속도를 Fig. 21에 정리하였다. 십자타의 경우, X타에 비해 첫 번째 및 두 번째 오버슈트 각 발생 시점에 다소 앞당겨지고, 오버슈트 각은 미소한 차이를 보였다.
Comparison of time histories of velocities during 20°/20° zig-zag to port side between X rudder and Cross rudder
지그재그 시험 시 반대 부호로 선미타 회전을 발령하는 시간을 Table 7에 정리하였다. 십자타는 X타보다 빠른 시점에 반대 방향의 타각을 발령했으며, 이는 타의 작동에 의한 모멘트가 X타보다 더 크기 때문에 변침이 더 신속하게 이루어지는 것으로 해석된다.
앞서 수행한 정적 선미타 시험 결과에 따르면 같은 타각에서 십자타는 X타 대비 더 큰 힘과 모멘트를 발생시켰으며, 이에 따라 방위각 변화에 주요하게 기여하는 y 방향 속도와 z축 각속도 시계열에서도 더 큰 값과 빠른 변화를 나타내었다. 또한, 앞서 제시한 식 (6)의 분자항은 수중운동체의 수평면에서 직진 안정성을 판별하는 식으로, 이 값이 0보다 크면 직진 안정성이 높은 것으로 판단된다. 그러나 이 항은 타각의 변화에 의한 영향을 포함하지 않기 때문에 오버슈트 각은 두 타에서 유사하게 나왔지만, 타각의 변화에 따른 초기 가속도가 십자타에서 더 크게 발생하여 결과적으로 빠른 변침 응답을 보인 것으로 판단된다.
4. 결 론
본 논문에서는 공개된 선형인 BB2 잠수함을 대상으로 조종 성능 평가를 위한 동적 시뮬레이션을 구축하였다. 상용 해석 소프트웨어인 STAR-CCM+의 기능을 활용하여 PD 제어기를 구현하였고, 슬라이딩 격자법과 중첩 격자법을 적용하여 X타 및 십자타에 대한 선회 및 지그재그 시험을 수행하였다. 본 연구를 통해 다음과 같은 결론을 도출하였다.
- • 저항 해석 결과를 실험값과 비교하여 해석 정확도를 검증하였으며, 격자 수렴 해석을 통해 저항에 대한 격자 불확실성을 약 0.26%로 평가하였다.
- • 실제 프로펠러 대신 가상 디스크 기법을 적용하여 자항 해석을 수행하였고, 그 결과 모형 시험 대비 프로펠러 회전수 기준 2% 이내의 오차를 보였다.
- • 선회 시험에서는 모형 시험 대비 약 10%, 지그재그 시험에서는 약 20%의 차이를 나타냈으며, 이는 선행 연구들과 유사한 수준의 정확도를 보였다.
- • X타와 십자타의 조종 성능을 비교하기 위해 정적 선미타 시험을 수행하였으며, 동일한 타각 조건에서 십자타가 X타보다 더 큰 힘과 모멘트를 생성하는 것을 확인하였다. 이에 따라 타각 명령 시 초기 가속도에서 차이가 발생하였고, 십자타를 적용한 경우 상대적으로 빠른 선회 및 변침 응답 특성을 나타냈다.
향후 연구에서는 실제 회전하는 프로펠러를 고려한 모델링과 난류 모델 차이에 대한 영향을 반영함으로써 해석의 정확도를 더욱 향상 할 수 있을 것으로 기대된다. 또한, 제어기 게인 값의 최적화를 바탕으로 십자타의 성능 해석이 추가로 요구된다.
Acknowledgments
이 논문은 2025년도 정부(방위사업청)의 재원으로 국방과학연구소의 지원을 받아 수행된 미래도전국방기술 연구개발사업(No.915071101)과 2025년도 정부(산업통상자원부)의 재원으로 한국산업기술진흥원의 지원을 받아 수행된 연구임(RS-2023-KI002688, 2025년 산업혁신인재성장지원사업).
References
- Carrica, P.M., Kerkvliet, M., Quadvlieg, F., Pontarelli, M. and Martin, J.E., 2016. CFD simulation and experiments of a maneuvering generic submarine and prognosis for simulation of near surface operation. 31st Symposium on Naval Hydrodynamics, Monterey, CA, USA, 11-16 September 2016.
-
Carrica, P.M., Kim, Y., and Martin, J.E., 2019. Near-surface self propulsion of a generic submarine in calm water and waves. Ocean Engineering, 183, pp.87-105.
[https://doi.org/10.1016/j.oceaneng.2019.04.082]
- Fossen, T.I., 1994. Guidance and control of ocean vehicles. J. Wiley & Sons, Inc.
-
Han, K., Cheng, X., Liu, Z., Huang, C., Chang, H., Yao, J. and Tan, K., 2021. Six-DOF CFD simulations of underwater vehicle operating underwater turning maneuvers. Journal of Marine Science and Engineering, 9(12), pp.1451.
[https://doi.org/10.3390/jmse9121451]
- ITTC, 2008. ITTC recommended procedures and guidelines: uncertainty analysis in CFD verification and validation methodology and procedures, ITTC – 7.5-03-01-01.
-
Kim, H., Ranmuthugala, D., Leong, Z.Q. and Chin, C., 2018. Six-DOF simulation of an underwater vehicle undergoing straight line and steady turning manoeuvres. Ocean Engineering, 150, pp.102-112.
[https://doi.org/10.1016/j.oceaneng.2017.12.048]
-
Kim, D.H., Kim, Y., Baek, H.M., Choi, Y.M., Kim, Y.J., Park, H., Yoon, H.K., Shin, J.H., Lee, J., Chae, E.J., Shin, Y.H. and Kim, E.S., Experimental study of the hydrodynamic maneuvering coefficients for a BB2 generic submarine using the planar motion mechanism. Ocean Engineering, 271, 113428.
[https://doi.org/10.1016/j.oceaneng.2022.113428]
-
Kwon, C.S., Kim, D.J., Yoon, G.H. and Kim, Y.G., 2022. A captive model test on hydrodynamic force and neutral level flight of BB2 submarine in straight operation at near free surface with different depths. Journal of the Society of Naval Architects of Korea, 59(5), pp.288-295.
[https://doi.org/10.3744/SNAK.2022.59.5.288]
- Overpelt, B., Nienhuis, B. and Anderson, B., 2015. Free running manoeuvring model tests on a modern generic SSK class submarine (BB2). Maritime Research Institute Netherlands (MARIN) No. 26053-9-RD.
- Watt, G.D., 2019. BB3: A generic BB2 based submarine design using sternplanes, rudder, and bowplanes. Defence Research and Development Canada No. DRDC-RDDC-2019-D135.




















