
대형 캐비테이션터널에서 펌프젯 추진기 시리즈 단독성능 시험 및 성능 특성 연구
This is an Open-Access article distributed under the terms of the Creative Commons Attribution Non-Commercial License(http://creativecommons.org/licenses/by-nc/3.0) which permits unrestricted non-commercial use, distribution, and reproduction in any medium, provided the original work is properly cited.
Abstract
In order to investigate the characteristics of pumpjet propulsors in the Large Cavitation Tunnel (LCT), at Korea Research Institute of Ships and Ocean Engineering (KRISO), the pumpjet propulsor series was designed and manufactured. The pumpjet propulsor is composed of rotor, stator and duct which result in the strong interaction between the components. The pumpjet open-water test(POW) and analysis techniques were developed in 2022. The base pumpjet propulsor has A rotor blades, B stator blades, C (degrees) stator pitch and D (mm) rotor tip clearance. On the basis of the base pumpjet, two species of rotor blade no., two species of stator blade no., two species of stator pitch and two species of rotor tip clearance were designed. The open-water tests for 13 cases were conducted. The total thrust, combined thrust of rotor, duct and stator was used for the POW analysis. Each thrust characteristic for rotor or duct and stator were analyzed. On the basis of the performance analysis results for the pumpjet propulsor series, it is thought that the database for the pumpjet propulsor design was constructed.
Keywords:
Pumpjet propulsor, Pumpjet open-water test, Pumpjet propulsor series, Large Cavitation Tunnel(LCT)키워드:
펌프젯 추진기, 펌프젯 단독시험, 펌프젯 추진기 시리즈, 대형캐비테이션터널1. 서 론
최근 잠수함 및 어뢰 등의 국내 개발이 수행되면서 추진장치로서 펌프젯(Pumpjet)의 개발이 요구되고 있다. 펌프젯은 덕트, 스테이터 및 로터로 구성되며 스테이터 설치 위치에 따라 Fig. 1과 같이 전류 스테이터(pre-swirl stator)와 후류 스테이터(post-swirl stator) 펌프젯으로 구분될 수 있다. 본 연구에서는 캐비테이션 및 소음성능이 우수하다고 알려져 있는 전류 스테이터와 감속 덕트(decelerating duct)를 적용한 펌프젯 추진기 시리즈를 개발하였다. 펌프젯은 앞서 언급한 3가지 장치로 구성된 바 장치 간에 상호 작용도 매우 크게 나타난다, 따라서, 장치별 각각의 성능을 파악할 수 있는 모형시험이 수행되어야 하는 바, 펌프젯 추진기 단독성능 및 자항추진성능 시험 및 해석 기법이 개발된 바 있다 (Ahn et al. 2022A, 2022B).
일반 프로펠러 초기 설계는 아직까지도 시리즈 자료를 이용하여 수행되고 있다. 고성능 전산기를 이용한 프로펠러 초기성능 추정기법이 발달하였지만 반류 및 캐비테이션 특성을 고려한 선박 특성에 최적인 프로펠러 설계를 수행하기에는 문제가 있다. 시리즈 프로펠러 개발은 유럽과 일본 등에서 1960년대부터 진행되었으며, B-Series (Van Lammeren et al., 1969)와 MAU Series (Atsuo et al., 1960)가 있다. 기존 계열 프로펠러는 대부분 일정 피치 및 스큐가 없는 형상을 기준으로 구성되었으며, 선체 반류 및 캐비테이션 특성 등을 고려한 상세설계 형상과는 차이가 크다. 최근에도 시리즈 프로펠러를 개발하는 바, 기존과는 달리 국내 주력 선종에서 최적으로 설계된 기존 프로펠러 형상 정보를 기준으로 대표 형상을 결정한 후 시리즈 프로펠러를 구성하게 된다. 최근 Moon 등 (Moon et al., 2023)은 국내 주력 선종의 프로펠러 형상을 검토하여 최적의 반경별 피치, 레이크, 코오드 및 스큐 분포를 얻기 위한 8종의 시리즈 프로펠러를 설계 및 제작하여 성능시험을 수행하였다. 이 연구를 통하여 프로펠러 대표 형상을 도출하였으며, 다양한 피치비와 전개면적비를 갖는 시리즈 프로펠러 개발을 위한 기반 자료로 활용하였다.
펌프젯 추진기의 경우 잠수함 등과 같은 수중무기체계에 적용되면서 기존 자료 검색이 매우 제한적이다. KRISO에서는 2022년 성능시험 기법 개발과 함께 펌프젯 추진기를 설계한 바 있다. 프로펠러와 같이 초기설계를 위한 시리즈 자료가 요구되지만, 기존에 활용할 수 있는 자료가 없어 기본적인 자료부터 자체적으로 개발하여야 하는 상황이다. 최초 설계된 펌프젯 추진기를 기반으로 펌프젯 추진기 시리즈 개발을 최초로 시도한 바, 로터 및 스테이터 날갯수 조합에 따른 성능특성을 우선 조사하고자 한다. 또한 덕트와 로터 사이에 날개끝 간격(Tip Clearance : TC) 및 스테이터 피치(Stator Pitch : SP) 변화에 따른 성능 특성도 조사하고자 한다.
펌프젯 추진기 시리즈 설계 및 제작을 수행한 후 성능평가를 위하여 단독성능시험이 수행된다. 기준 펌프젯 추진기의 로터 날갯수, 스테이터 날갯수, 날개끝 간격, 스테이터 피치를 변수로 하여 변수별 3종을 제작하여 총 13종의 단독성능 시험을 수행하였으며, 이를 비교 검토하여 단독성능 특성을 비교 및 검토하였다.
2. 펌프젯 단독성능시험 장치 및 기법
펌프젯 단독성능시험 기법은 기존 논문(Ahn et al. 2022A)에 자세히 언급되어 있으므로 본 논문에서는 간략히 언급하고자 한다. 추진장치 단독시험을 위하여 제작된 H41 동력계를 Fig. 2와 같이 역방향으로 설치하여 펌프젯 단독성능시험이 수행된다. 역방향 설치에 대한 이유와 타당성에 대하여 기존 논문에서 검토한 바 있다. Fig. 3은 펌프젯 추진기 단독성능시험을 위한 장치 구성도를 보여주며, Fig. 4는 관련 사진을 보여준다. 우선 원활한 유동장을 형성을 위하여 스테이터 허브 크기에 맞추어 Fair-water body가 스테이터 상류 H41 동력계 회전축 외부 케이싱에 설치된다. 펌프젯 추진기 단독성능시험을 수행하려면 로터, 덕트 및 스테이터 추력 및 토오크가 계측되어야 한다. 스테이터에 덕트가 고정되어 있으므로 덕트와 스테이터의 추력 및 토오크를 계측할 수 있는 동력계를 개발하였으며, 이를 Fair-water body에 고정하고 스테이터 허브와 연결하였다. 로터의 추력 및 토오크는 H41 동력계 내부에 설치된 추력 및 토오크 센서로 계측된다.
펌프젯 단독성능시험을 수행하기 앞서 레이놀즈 수 영향을 검토한 바 있다(Ahn et al. 2022A). 일정한 전진계수(J)에서 유속 및 로터 회전수를 증가시키면서 레이놀즈 수(Rn) 증가에 따른 추력 및 토오크 계수 등의 변화를 검토하는 실험이다. 레이놀즈 수 증가에 따라 변화가 나타나지 않는 영역에서 단독시험이 수행되어야 하는 바, 추진장치 요소별 추력 및 토오크 계수가 Rn≃0.8×106 이상에서 안정적인 결과를 도출함으로서 단독시험은 Rn≃1.0×106 근처에서 수행된다. 이때 로터 회전수는 27.8RPS 이다.
펌프젯 단독시험을 위한 레이놀즈수, 전진계수, 로터, 덕트 및 스테이터 추력계수 및 토오크계수와 로터 단독효율(ηOR)의 정의는 식 (1)과 같다.
| (1) |
여기서 V∞는 유입속도, n은 로터 회전수, DR은 로터 직경, C0.7R는 0.7R에서의 로터 코드길이 , ν는 동점성계수, ρ는 청수의 밀도, TR은 로터 추력, QR은 로터 토오크, TSD는 덕트 및 스테이터 추력, QSD는 덕트 및 스테이터 토오크이다.
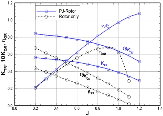
펌프젯 단독성능 시험은 전진계수 0.2~1.2 범위에서 수행되었으며. 로터 회전수는 27.8RPS로 고정하였다. 단독성능 해석기법을 개발하기 위하여 펌프젯 추진장치에 포함된 로터(PJ-Rotor)와 로터만 설치된 상태(Rotor-only)의 단독시험이 수행되었으며, 비교 시험 결과는 Fig. 5에서 보여준다. PJ-Rotor의 경우 덕트 및 스테이터와의 상호작용으로 추력 및 토오크가 Rotor-only보다 매우 증가하였다. 로터 단독효율도 매우 증가하여 전진계수 1.0에서 0.97 이상이며, 그 이상의 전진계수에서는 1.0 이상으로 나타나 물리적으로 타당하지 않은 결과를 도출한다. 이는 덕트 및 스테이터와의 상호 작용으로 나타난 현상이다. 스테이터의 경우 로터 회전방향과 반대 방향의 유동을 생성하여 로터의 유동 입사각을 증가시키며, 이는 로터의 추력 및 토오크를 주로 증가시키는 역할을 한다. 덕트는 로터에 유입되는 유속을 가속 또는 감속시켜 로터 추력 및 토오크를 변화시키면서 덕트 자체에 추력 또는 항력을 유발한다.
전진계수 증가에 따른 덕트 및 스테이터 추력(또는 항력) 및 토오크는 Fig. 6에 나타난다. 이때 덕트 및 스테이터는 전진계수 0.4 미만에서 약간의 추력이 발생하지만 0.4 이상에서는 항력(Drag)이 발생하면서 전진계수 증가와 함께 점차 증가하는 현상이 나타났다. 따라서, 로터와의 상호작용으로 덕트 및 스테이터를 선체의 일부로 포함해서 해석할 수 없음을 알 수 있다. 펌프젯 자체를 추진기로 보면 로터, 덕트 및 스테이터에서 발생된 추력 (또는 항력)을 모두 합산한 추력이 실제로 선체를 추진할 것으로 사료된다. 펌프젯 단독 성능 해석시 추력의 경우 로터, 덕트 및 스테이터에서 발생된 추력(또는 항력)을 모두 합산한 값을 사용하고, 토오크의 경우는 선행 연구를 통하여 로터 토오크 만을 사용하는 것이 타당함을 확인한 바 있다. 본 연구에서도 기존 논문(Ahn et al., 2022A, Yu et al., 2019)에서 언급한 바와 같이 펌프젯 자체를 추진기로 보고 단독성능 해석을 수행한다. 합산한 추력계수(KT), 토오크계수(KQ) 및 단독효율(ηo)은 식 (2)와 같다. 해석 결과(PJ-Total)는 Fig. 7에 나타난다.
| (2) |
3. 펌프젯 추진기 시리즈 설계
본 연구에서 활용된 기준 펌프젯 추진기는 로터 날갯수 A, 스테이터 날갯수 B, 스테이터 피치 C (degrees), 날개끝 간격 D (mm)의 제원을 가지고 있다. 기준 펌프젯 추진기 제원을 기준으로 로터 날갯수 A+4, A+6, 스테이터 날갯수 B+2, B+6, 스테이터 피치 0.5C, 1.5C, 날개끝 간격 2D, 4D로 변화한 로터 및 스테이터를 제작하였다. 날갯수 변화에 따른 로터의 기하학적 특성을 유지하기 위하여 날개 전개 면적비 및 피치비 등은 동일하게 설계되었다. 스테이터는 날개의 코오드, 스팬, 피치 등을 동일하게 유지하면서 날개수만 증가시키는 방법으로 제작되었다. 날개끝 간격은 덕트와 로터의 조립 상태를 3차원 모델링 후 원하는 간극만큼 로터 날개끝을 절삭하는 방법으로 가공되었다. 로터의 직경이 변경되지만 성능 비교를 위하여 해석 시 직경 변화는 고려하지 않았다.
4. 펌프젯 추진기 시리즈 단독성능 시험
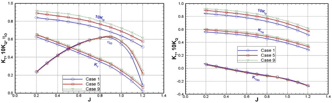
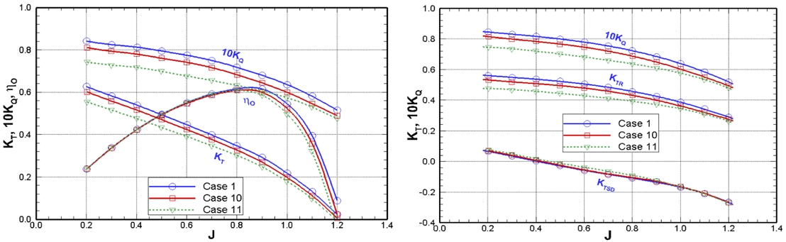
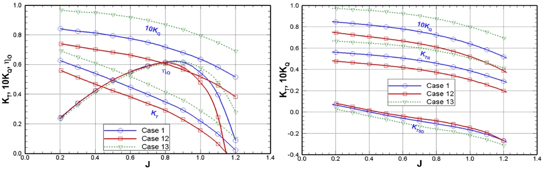
펌프젯 추진기 단독성능시험은 실질적인 활용에 문제가 없으면서 단독효율이 높은 로터와 스테이터 최적 날개수 조합을 조사하기 위하여 Table 1에 나타난 것과 같이 9종의 조합에서 수행되었다. 또한 날개끝 간격 변화 2종, 스테이터 피치비 변화 2종 등 총 13종의 단독성능 시험이 수행되었다. Case 1 ~ Case 3는 스테이터 날개수(SZ) B개에서 로터 날개수(RZ) 3종을 변화시키면서 단독시험이 수행되었으며, Case 4 ~ Case 6는 스테이터 날개수(SZ) B+2개에서, Case 7 ~ Case 9은 스테이터 날개수(SZ) B+6개에서 로터 3종 조합에서 단독성능시험이 수행되었다. Case 10 ~ Case 11은 기준 펌프젯(Case 1)을 기반으로 2종에 로터 날개끝 간격에 대한 단독성능시험을 수행하였다, Case 12 ~ Case 13은 기준 펌프젯(Case 1)을 중심으로 스테이터 피치비 변화 2종에 대한 단독성능 시험을 수행하였다. 펌프젯 자체를 추진기로 보고 앞서 언급한 바와 같이 로터와 덕트 및 스테이터에서 발생한 추력(또는 항력)을 모두 합산한 값으로 해석한 결과를 이용하여 POW 성능을 비교한다. 또한 성능 분석을 위하여 로터와 덕트 및 스테이터 각각에서 발생하는 추력(항력)을 검토하고자 한다.
Fig. 8은 스테이터 날개수(SZ) B, B+2, B+6개인 경우 로터 날개수(RZ) 변화에 따른 펌프젯 단독성능 비교를 보여준다. 스테이터 날개수 B개인 Fig. 8(a)의 경우 로터 날개수가 A+4개와 A+6개의 경우 A개일 때보다 추력 및 토오크가 증가하는 경향을 보여준다. 이는 스테이터에서 유기된 로터 입사유동의 영향을 로터 날개수가 증가할 때 더 크게 받기 때문이라 사료된다. 그러나 로터 날개수가 증가할수록 추력 및 토오크가 증가하는 것은 아니고, A+6개의 경우 A+4개보다 추력은 유사하면서 토오크가 증가하여 효율이 감소하는 현상이 나타난다. Case 1 펌프젯을 이용하여 수행한 기존 자항시험에서 운항영역은 전진계수(J) 0.88~0.91 범위에서 형성된 바 있다 (Ahn et al. 2022B). 로터 날개수가 증가하는 경우 기존 운항영역에서 단독효율(ηo)이 증가하는 것으로 나타난다. 특히 로터 날개수 A+4개의 경우 효율이 높게 나타났다. 덕트 및 스테이터 추력계수(KTSD)는 로터 날개수 변화에 따라 차이가 나타나지 않는다. 로터의 추력계수(KTR)만이 증가하게 되면서 전체 추력에 영향을 주게 된다.
날개수 증가에 따라 추력계수 등이 증가함에 따라 운항 관심영역은 기존보다 약간 넓은 영역에서 형성하고자 한다. 따라서 운항 관심영역을 J=0.85~0.95로 형성하고 각각의 경우에 단독효율을 Table 2에 정리하였다. 전진계수 0.90에서 Case 2와 3이 Case 1보다 효율이 증가했으나, Case 2와 Case 3은 공진 문제 혹은 로터 유입 반류 정류 문제로 실질적인 활용이 어려운 조합이다(Ahn et al., 2022B). 스테이터 날개수 B+2개인 Fig. 8(b)의 경우 Fig. 8(a)와 같은 경향을 보여준다. Table 2에서 살펴보면 로터 날개수 A+4개인 Case 5가 운항 관심영역에서 가장 효율이 높으며, A+6개인 Case 6는 효율이 약간 떨어진다. A개인 경우가 효율이 가장 낮다. 전반적으로 스테이터 날개수 B개에 비하여 효율이 증가하는 경향을 보여준다. 스테이터 날개수 B+6개인 Fig. 8(C)의 경우 동일 경향을 보여준다. 로터 날개수 A+4개인 Case 8이 운항 관심영역(J=0.85~0.95)에서 가장 효율이 높으며, A+6개인 Case 9는 효율이 약간 떨어진다. 스테이터 날개수 B+6개가 B+2개보다는 전반적으로 효율이 약간 감소된다. 스테이터 날개수 B+2개인 경우 운항 관심 영역에서 효율이 가장 높으며, 그 중에서 로터 날개수 A+4개인 경우 가장 효율이 높다.
Fig. 9는 로터 날개수(RZ) A, A+4, A+6개인 경우 스테이터 날개수(SZ) 변화에 따른 펌프젯 단독성능 비교를 보여준다. 로터 날개수 A개인 Fig. 9(a)에서 살펴보면 스테이터 날개수 B+2개인 경우 B개에 비하여 추력 및 토오크가 약간 증가하며, 스테이터 날개수 B+6개인 경우 증가폭이 크게 된다. 효율은 스테이터 날개수 B+2개와 B+6개가 유사하며, B개의 경우 가장 낮다. 덕트 및 스테이터 추력계수(KTSD)는 스테이터 날개수 변화에 따라 차이가 크게 나타나지 않는다. 스테이터는 동일 코오드 및 스팬을 갖는 날개를 사용함으로 날개수 증가에 따라 항력이 약간씩 증가하지만 그 양이 크지 않다. 대부분의 항력이 덕트에서 발생하는 것으로 사료된다. 스테이터 날개수 증가에 따라 로터의 추력 및 토오크 변화가 나타나 전반적인 추력 및 토오크를 증가시킨다. 로터 날개수 A+4개인 Fig. 9(b)의 경우 Fig. 9(a)와 같은 경향을 보여준다. Table 2에서 보여지듯이 운항 관심영역에서 로터 날개수 A+4개인 경우 전반적으로 A개보다 효율이 증가된다. 로터 날개수 A+6개인 Fig. 9(c)의 경우 동일 경향을 보여주지만 효율의 경우 A+4개보다는 약간 감소된다. 현재의 결과로 미루어 볼 때 로터 날개수 A+4개가 가장 성능이 좋은 것으로 나타난다.
Fig. 10은 로터 날개수 변화에 따른 실질적인 활용이 가능한 스테이터와 날개수 조합에서의 단독성능 비교를 보여준다. 날개수가 증가할수록 로터의 추력 및 토오크는 증가되며, 스테이터 및 덕트 항력도 증가한다. Case 5의 경우 Case 1보다 추력 및 토오크의 증가가 어느 정도 나타난다. Case 9의 추력의 경우 Case 5보다 증가폭이 매우 적어진다. 관심 운항영역에서 단독효율은 앞서 언급했듯이 Case 5가 가장 높다.
Fig. 11은 로터와 덕트 사이에 날개끝 간격에 의한 펌프젯 단독성능의 비교를 보여준다. 간극이 증가할수록 로터의 추력 및 토오크가 감소하고 있으며, 덕트 및 스테이터 추력(항력)은 간극 4D의 경우(Case 11) 전진계수 0.9 이하에서 약간 감소하는 현상이 나타났다. 단독효율은 간극이 증가할수록 관심 운항영역에서 점차 감소하고 았다. 날개끝 간극이 증가할수록 효율이 감소한다고 알려져 있는데, 그 경향과 일치한다 (Yu et al. 2019).
Fig. 12는 스테이터 피치 변화에 따른 단독성능의 변화를 보여준다. 스테이터 피치 증가에 따라 로터의 추력 및 토오크가 모든 영역에서 거의 일정하게 증가하고 있으며, 덕트 및 스테이터 항력도 증가하고 있다. 특히 스테이터 피치각도 C에서 1.5C로 증가될 때 증가폭이 크게 나타난다. 총 추력(KT)으로 변환 후 해석된 단독성능의 추력계수 곡선도 모든 영역에서 스테이터 피치 증가에 따라 거의 일정한 간격으로 증가하고 있어 일반 프로펠러 피치 변화에서 나타나는 경향이 유사하게 나타난다. 효율 곡선도 피치 증가에 따른 경향이 그대로 보여진다. 스테이터 피치 0.5C(Case 12)의 경우에는 전진계수 0.8에서 최고 효율이 나타나며, 전진계수가 증가할수록 효율은 급하게 감소한다. 스테이터 피치 1.5C(Case 13)의 경우에는 전진계수 0.9에서 최고 효율이 나타나며, 전진계수가 증가할수록 효율은 감소한다. 스테이터 피치 C(Case 1)의 경우에는 전진계수 0.85에서 최고 효율이 나타나며, 전진계수가 증가할수록 효율 감소는 0.5C와 1.5C 중간 수준이다. 피치가 증가하는 경우 높은 전진계수에서 운항점이 형성되며, 감소하는 경우에는 낮은 전진계수에서 운항점이 형성된다. 피치 C에서는 기존 대상선(SUBOFF) 기준 최고 선속(30.0kts)에서 운항점은 전진계수 0.9 근처에서 형성된 바 있다 (Ahn et al. 2022B). 피치 증감에 따라 전진계수 0.9 전·후에서 운항점이 형성된다고 볼 때 운항점 영역에서 피치 C인 경우가 단독효율이 가장 높을 것으로 사료된다. 기존 대상선을 기준으로 볼 때 스테이터의 최적 피치는 C 근처인 것으로 사료된다.
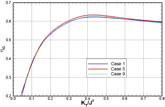
로터 및 스테이터 날개수를 변화키면서 로터의 전개면적비 및 피치 등의 형상변수를 유지하도록 설계되었지만, 동일 작동조건(회전수 및 유속)에서 날개수 변화에 따른 하중분포 변화가 동반(추력계수 차이 발생)되기 때문에 동일 전진계수에서 효율을 상대 비교하기는 어려울 수 있다. 일반적으로 엔진 등이 결정되어 설계점을 알 수 있으면, 설계점에서의 KT/J2를 산정하여 비교하는 것이 타당하지만, 본 연구의 대상선은 연구용으로 제시된 수중 몰수체로 엔진 등이 결정되지 않았으며 설계점도 제시된 바 없다. 기준 펌프젯(Case 1) 자항시험 결과를 기반으로 운항영역(15.0~30.0 kts)에서의 KT/J2 범위는 0.34~0.38이며, 전진계수(J)는 0.88~091로 나타났다 (Ahn et al. 2022B). Fig. 13은 로터 날개수 변화에 따른 실질적인 스테이터 날개수 조합에서의 KT/J2는 변화에 따른 단독 효율 비교를 보여준다. 기준 펌프젯 운항영역에서 로터 및 스테이터 날개수가 A+4개 및 B+2개인 Case 5의 단독효율이 Case 1보다 약 1.0% 정도 높게 나타났다. 날개수를 변화하면서 형상변수가 유지되도록 설계되어 기준 펌프젯의 운항영역과 차이가 크지 않을 것으로 사료되지만 범위를 넘어서도 Case 5의 단독 효율이 높게 나타난다. 엔진 등의 정보가 없어 관심 운항영역에서 단독성능을 비교하였는데, Fig. 10에서 보여진 경향이 나타나고 있다.
5. 결 론
대형 캐비테이션터널에서 DARPA Suboff 잠수함을 대상으로 펌프젯 추진 수중 몰수체의 단독 및 자항시험 기법을 개발한 바 있으며(Ahn et al., 2022A, 2022B), 펌프젯 추진기 설계 자료 확보 및 최적의 로터 및 스테이터 날개수 조합을 조사하기 위하여 시리즈를 설계ㆍ제작하였다. 또한 로터와 덕트 사이에 날개끝 간격 및 스테이터 피치 변화에 따른 영향을 조사하고자 기준 펌프젯을 기반으로 각각 2종의 시리즈를 설계ㆍ제작하였다.
기준 펌프젯을 기반으로 로터 날개수 2종, 스테이터 날개수 2종이 추가 설계되었으며, 9 case의 날개수 조합에 따라 총 9종의 단독성능 시험이 수행되었다. 또한 날개끝 간격 2 case와 스테이터 피치 변화 2 case에 대하여 단독성능 시험을 수행하여 총 13 case의 단독성능 시험이 수행되었다. 단독성능 시험 및 해석은 기존 연구에서 언급한 바와 같이 펌프젯 자체를 추진기로 간주하여 로터와 덕트 및 스테이터에서 발생하는 추력(또는 항력) 모두 합산한 총추력으로 수행하였다. 날개수 조합, 날개끝 간격 및 스테이터 피치비 변경에 따른 로터와 덕트 및 스테이터 추력(또는 항력)의 변화를 조사하고자 각각의 추력(또는 항력) 계측치를 조사하였다.
로터 및 스테이터 날개수 변화에 따라서 덕트 및 스테이터 추력(또는 항력)은 미세하게 변화하였다. 이는 덕트에서 발생하는 항력이 대부분을 차지하고 있어 나타나는 현상이라 사료된다. 로터 및 스테이터 날개수가 증가하게 되면 로터의 추력 및 토오크가 증가하게 되는데, 증가에 한계가 있었다. 즉 스테이터 날개수를 일정하게 유지하고 로터 날개수를 A+4개로 증가시킨 경우 A개보다 추력 및 토오크가 약간 증가하였으나, A+6개의 경우에는 A+4개보다 미세한 증가가 있으나, 거의 차이가 없었다. 로터 날개수를 고정하고 스테이터 날개수를 변화시킨 경우 스테이터 날개수 B+2개가 B개보다 추력 및 토오크가 미세하게 증가하였으며, B+6개의 경우 증가폭이 약간 크게 나타났다. 스테이터 날개수를 고정하고 로터 날개수를 증가시킨 경우 전진계수 0.9 이상에서 단독 효율에 증가가 나타났으며, 로터 날개수 A+4개와 A+6개의 효율 변화는 거의 없었다. 로터 날개수를 고정하고 스테이터 날개수를 변화시킨 경우 효율의 변화는 거의 없었다. 기준 펌프젯을 활용하여 수행한 자항추진시험 결과로부터 도출된 관심 운항영역(J=0.85~0.95)에서 단독특성을 비교한 결과 로터 날개수 A+4개, 스테이터 날개수 B+2개인 경우의 펌프젯이 가장 높은 효율을 보여주었다.
로터 및 덕트 사이에 날개끝 간격에 변회에 의한 단독특성을 조사해 본 결과 날개끝 간격이 증가할수록 추력 및 토오크가 감소했으며, 효율도 전진계수 0.8 이상에서 감소하는 경향을 보여주었다. 날개끝 간격이 증가하는 경우 효율이 감소하는 기존의 경향을 그대로 보여주고 있다. 스테이터 피치각 변화에 따른 단독특성을 조사한 결과 일반 프로펠러 피치 변화에 따른 경향이 유사하게 나타났으며, 전 영역에서 피치각 증가에 따라 추력 및 토오크가 일정한 간격으로 증가하는 경향을 보여주었다. 단독효율의 경우 스테이터 피치각 0.5C에서는 전진계수 0.8에서 최고 효율이 나타나며, 이상의 전진계수에서 효율이 급격히 감소하였다. 1.5C의 경우에는 전진계수 0.9에서 최고 효율이 나타나며, 이상의 전진계수에서 효율이 감소하였다. C의 경우에는 전진계수 0.85 이상에서 효율이 감소하며, 0.5C와 1.5C 중간 정도의 효율을 보여준다. 피치 변화에 따라 운항영역 변화가 나타나므로 각각의 운항점 영역에서는 C가 가장 높은 효율을 보여준다. 따라서, 대상선을 기준으로 스테이터 최적 피치는 C 근방이라 사료된다.
펌프젯 시리즈 연구를 통하여 날개수 조합 및 스테이터 피치각 특성을 조사할 수 있었으며, 펌프젯 설계를 위한 시리즈 자료를 확보하였다. 본 연구에서 도출된 날개수 조합에 대한 성능 특성을 기반으로 앞으로 로터의 스큐, 레이크 및 피치비 등의 다양한 변화를 갖는 시리즈 개발을 계속 수행하고자 한다. 잠수함과 같은 수중운동체에서는 추진장치에서 발생하는 소음을 최소화하여야 하는 바 추후 연구를 통하여 효율 및 소음 특성이 향상된 펌프젯을 개발하고자 한다.
Acknowledgments
It is noted that this paper is a revised edition based on the proceedings of SNAK 2024 in Changwon
본 논문은 2024년 정부(방위사업청)의 재원으로 국방기술진흥연구소의 지원을 받아 수행한 연구임 (과제번호: KRIT-CT-22-041).
References
-
Ahn, J.W., Seol, H. S., Jung, H.S. and Park, Y.H., 2022A. Study of the open-water test and analysis for a pumpjet propulsor in LCT. Journal of Society of Naval Architects of Korea, 59(3), pp.149-156
[https://doi.org/10.3744/SNAK.2022.59.3.149]
-
Ahn, J.W., Seol, H.S., Jung, H.S. and Park, Y.H., 2022B. Study of the self-propulsion test and analysis for a pumpjet propulsor in LCT. Journal of Society of Naval Architects of Korea, 59(5), pp.271-279.
[https://doi.org/10.3744/SNAK.2022.59.5.271]
-
Atsuo Y., Einosuke K. and Tetsuaki K., 1960. Open water test series with modified AU-type four-blade propeller models, Journal of Zosen Kioka, 108, PP.99-104.
[https://doi.org/10.2534/jjasnaoe1952.1960.108_99]
-
Moon, I.S., Kim, G.D., Park, C.S. and Hwang, S.H., 2023. Development of a high-efficiency KRISO series propeller. Journal of Society of Naval Architects of Korea, 60(6), pp.416-423.
[https://doi.org/10.3744/SNAK.2023.60.6.416]
- van Lammeren, W.P.A., vn Manen, J.D. and Oosterveld, M.W.C., 1969. The Wageningen B-Screw Series, Trans Society of Naval Architects and Marine Engineers, 77, pp.269-317.
-
Yu, H., Zhang, Z. and Hua, H., 2019. Numerical investigation of tip clearance effects on propulsion performance and pressure fluctuation of a pump-jet propulsor, Ocean Engineering, 192, pp.1-13.
[https://doi.org/10.1016/j.oceaneng.2019.106500]














