Journal of the Society of Naval Architects of Korea
[ Research Paper ]
Journal of the Society of Naval Architects of Korea - Vol. 62, No. 4, pp.218-230
ISSN: 1225-1143 (Print) 2287-7355 (Online)
Print publication date 20 Aug 2025
Received 16 Apr 2025 Revised 05 May 2025 Accepted 15 May 2025
DOI: https://doi.org/10.3744/SNAK.2025.62.4.218

부가저항의 비선형성에 대한 실험적 연구

박동민1 ; 오영재1 ; 황승현1 ; 권용주1, 2,
1한국해양과학기술원 부설 선박해양플랜트연구소
2서울대학교 조선해양공학과
Experimental Study on the Nonlinearity of Added Resistance
Dong-Min Park1 ; Young Jae Oh1 ; Seunghyun Hwang1 ; Yong-Ju Kwon1, 2,
1Korea Research Institute of Ships and Ocean Engineering
2Department of Naval Architecture and Ocean Engineering, Seoul National University

Correspondence to: Yong-Ju Kwon, kwonyj@kriso.re.kr

This is an Open-Access article distributed under the terms of the Creative Commons Attribution Non-Commercial License(http://creativecommons.org/licenses/by-nc/3.0) which permits unrestricted non-commercial use, distribution, and reproduction in any medium, provided the original work is properly cited.

Abstract

This study experimentally investigates the nonlinear characteristics of ship motion responses and added resistance under varying wave heights. Two ship models-a bulk carrier (KSUPRAMAX-O) and a liquefied natural gas carrier (KLNG)—were selected for tests. Experiments were conducted in regular wave conditions with varying wave heights to analyze the influence of wave height on the nonlinear behavior of ship motions and added resistance. The validity of the theoretical models applied to the incident wave conditions was first examined, and the characteristics of the incident waves were quantitatively analyzed. The nonlinear behavior of motion responses with respect to wave height variations was then evaluated. The heave response exhibited a decreasing trend with increasing wave height at wavelengths comparable to the ship length, while the pitch response showed relatively low sensitivity to wave height changes. Nonlinear characteristics of added resistance were also analyzed. The KSUPRAMAX-O model exhibited decreasing sensitivity to wave height variations as the wavelength increased, whereas the KLNG model showed a marked increase in sensitivity when the wavelength-to-ship-length ratio (λ/L) exceeded 0.85. Based on the experimental findings, a correction factor was proposed to quantify the nonlinear effects of added resistance. The proposed method also showed applicability to other hull forms with similar geometric characteristics.

Keywords:

KLNG(KRISO 138K LNG Carrier), KSUPRAMAX-O(KRISO Bulk Carrier Original), Seakeeping, Added resistance, Nonlinearity

키워드:

내항성능, 부가저항, 비선형

1. 서 론

선박의 운동응답은 일반적으로 파고(wave height)에 비례하고, 부가저항(added resistance)은 파고의 제곱에 비례하는 것으로 알려져 있다. 이러한 관계는 파고가 매우 작은 조건에서는 유효하지만, 파고가 증가함에 따라 비선형적인 거동이 나타나며 해당 관계가 더 이상 성립하지 않을 수 있다.

실제 해상 환경은 대부분 불규칙파(irregular waves)로 구성되어 있으며, 이와 같은 조건에서 선박의 응답을 정밀하게 예측하기 위해서는 파고에 따른 비선형성을 고려할 필요가 있다. 불규칙파 조건 하에서의 운동응답 추정 방법은 크게 두 가지로 구분된다. 첫 번째는 규칙파(regular wave)에서 도출된 전달함수(transfer function)에 불규칙파의 스펙트럼을 중첩하는 방식이며, 두 번째는 불규칙파 조건을 직접 적용하여 모형 실험 또는 수치적으로 불규칙파 조건에서 운동응답을 얻는 방식이다. 전자의 방법은 선형 이론 기반의 접근으로서 계산 효율성과 해석의 단순성 측면에서 널리 활용되고 있으나, 전달함수가 도출된 파고 조건에 따라 해석 결과가 달라질 수 있다는 한계가 존재한다. 특히, 높은 파고 또는 극한 해역(extreme sea states)에서는 이러한 선형 기반 해석이 실제 응답을 충분히 설명하지 못하는 경우가 빈번하게 발생한다. 따라서 불규칙파 조건 하에서 선박의 운동응답 및 부가저항을 보다 정확하게 예측하기 위해서는, 모형 실험 및 해석에 비선형성을 반영한 접근법의 도입이 필수적이라 할 수 있다. 두 번째 방법에서 불규칙파 중 운동응답 및 부가저항의 수렴된 값을 얻기 위해서는 하나의 불규칙파 조건에서도 많은 시간이 필요하며 불규칙파 조건이 변할때마다 해석 또는 실험이 필요하다.

선형 포텐셜 이론(linear potential theory)은 파랑 중 선체의 운동 응답 및 부가저항 특성을 예측하기 위한 대표적인 수치 해석 기법으로, 계산 효율성 측면에서 널리 활용되어 왔다. 그러나 이 이론은 파고가 작다는 가정을 하기 때문에, 실제 해역 조건과의 불일치 가능성을 내포하고 있다. 일부 비선형 포텐셜 기반 해석에서는 파고의 영향을 부분적으로 반영하기도 하나, 해당 영향이 정량적으로 엄밀히 평가되는 경우는 드물다.

모형 실험과 전산유체역학(CFD, Computational Fluid Dynamics) 기반 해석에서는 파고의 변화가 선체 운동 및 부가저항과 같은 주요 응답에 직접적인 영향을 미치기 때문에, 이를 적절히 반영하는 것이 필수적이다. 그러나 모형 실험과 전산유체역학 해석에서 파고를 자유롭게 정하기는 쉽지 않다. 모형 실험에서는 측정 정확도 및 센서 용량을 고려하여 파고를 결정하게 되며, 지나치게 작은 파고 조건에서는 정밀한 계측이 어려워 실험 신뢰성이 저하되는 한계가 존재한다. CFD 해석의 경우, 입사파의 정확한 재현을 위해 격자 설정이 중요한 요소로 작용한다. 일반적으로 수평 방향 격자 해상도는 파장당(λ/dx) 100개 이상, 수직 방향에는 파고당(H/dz) 10개 이상의 격자 분할이 요구되며, 수평 및 수직 격자 크기의 비율(dx/dz)은 2~4 범위 내에서 유지하는 것이 바람직하다. 그러나 통상적으로 사용되는 선형파의 파 기울기(H/λ)가 0.01 수준일 경우, 위 조건을 모두 만족하려면 dx/dz 비가 10 이상으로 증가하게 되며, 이는 격자의 수평 길이를 과도하게 증가시켜 해석 정확성에 부정적인 영향을 미칠 수 있다. 이러한 문제를 보완하기 위해 파장당 격자 수를 더욱 증가시킬 수 있으나, 이 경우 격자 수의 급증과 함께 시간 간격(time step)의 감소가 수반되어 전반적인 해석 시간이 크게 증가하는 문제가 발생한다. 따라서, 파고 변화에 따른 운동응답 및 부가저항의 비선형성을 파악하는 것은 모형 실험 및 전산유체역학 해석을 수행하고 이를 활용하여 불규칙파 중 운동응답과 부가저항을 추정하는데 꼭 필요하다.

운동응답의 비선형성에 관한 연구는 다양한 실험적 및 수치적 접근을 통해 지속적으로 수행되어 왔다. O’Dea et al. (1994)은 파 기울기의 변화에 따른 규칙파 및 불규칙파 실험을 통해 비선형 운동응답의 특성을 실험적으로 규명하였고, Fonseca and Guedes Soares (1998, 2002)는 수치해석을 통해 상하동요(heave), 종동요(pitch), 수직 가속도, 수직 굽힘 모멘트 등에서 나타나는 비선형 응답 특성을 제시하였다. Kim (2010)은 ITTC 내항성능 위원회 활동의 일환으로, 비선형 수치해석 코드의 검증 및 타당성 평가(Verification and Validation)를 수행하였다. 최근에는 Kim et al. (2022)이 수치해석과 모형 실험을 병행하여 텀블홈(tumblehome) 선형과 일반(conventional) 선형 간의 비선형 운동 특성을 비교 분석하였다.

부가저항의 비선형성 역시 다양한 연구를 통해 활발히 검토되어 왔다. Yasukawa et al. (2016)은 형상계수를 변화시킨 시리즈 모델을 이용해 두 가지 파고 조건에서 모형 실험을 수행하였고, 특히 단파장 영역에서 부가저항이 파고에 따라 달라지는 현상을 관찰하였다. Lee et al. (2017)은 서로 다른 파고 조건에서 부가저항 실험을 수행하여, 부가저항이 파고의 제곱에 비례하여 증가하지 않음을 확인하였다. Sigmund and el Moctar (2018)은 CFD 해석을 통해 파 기울기가 부가저항에 미치는 영향을 해석하였으며, 특히 짧은 파장에서 그 영향이 더욱 뚜렷하게 나타나는 양상을 제시하였다. Hizir et al. (2019) 또한 CFD 기반 해석을 통해, 규칙파 조건 하에서 단파 및 장파장의 영향을 고려한 운동응답과 부가저항의 비선형적 특성을 분석하였다. 최근 Jawa and Munehiko (2023)는 RIOS 컨테이너선을 대상으로 한 수치해석을 통해 파 기울기가 커질수록 부가저항의 비선형성이 정량적으로 증가함을 입증하였다.

이에 본 연구에서는 두 종류의 선종을 대상으로 파고 변화에 따른 운동응답 및 부가저항의 비선형 특성을 실험적으로 분석하였다. 먼저, 실험에 적용된 입사파 조건에 대해 유효한 이론을 검토하고, 파 특성을 정량적으로 분석하였다. 이후 규칙파 조건 하에서 세 가지 서로 다른 파고를 적용하여 모형 실험을 수행하였으며, 이를 통해 운동응답의 비선형 거동을 평가하였다. 아울러 파고에 따른 부가저항의 변화 특성을 분석하고, 부가저항의 비선형성을 보정할 수 있는 방법을 제안하였다. 마지막으로, 제안된 보정 기법을 유사한 선종에 적용하여 그 확장 가능성을 검토함으로써, 보정 기법의 활용 가능성을 확인하였다.


2. 모형 실험

2.1 해양공학수조

모형 실험은 선박해양플랜트연구소(Korea Research Institute of Ships and Ocean Engineering, KRISO) 내 해양공학수조(Ocean Engineering Basin, OEB)에서 수행되었다. 본 수조는 길이 56m, 폭 30m, 수심 3.2m의 규모를 가지며, 규칙파 및 불규칙파의 발생이 가능하도록 설계되어 있어 다양한 파랑 조건하에서의 실험 수행이 가능하다. Fig. 1은 KRISO 해양공학수조의 전경을 나타낸다.

Fig. 1

Ocean Engineering Basin(OEB)

2.2 대상 선형

본 연구에서는 서로 다른 형상 특성을 가지는 두 종류의 선종을 대상 선형으로 선정하였다. 선택된 선형은 벌크선(Bulk Carrier, BC)인 KSUPRAMAX-O와 액화천연가스 운반선(Liquefied Natural Gas Carrier, LNGC)인 KLNG이다. Fig. 2는 각각의 선형에 대한 정면도(body plan)를 나타낸다. 두 선형은 선형 특성 측면에서 뚜렷한 차이를 보인다. KSUPRAMAX-O는 저속 운항을 위한 비대선형으로, 전반적으로 뭉툭한 형상을 가지는 반면, KLNG는 상대적으로 더 높은 속도로 운항하며, 보다 유선형에 가까운 날렵한 형상을 가지고 있다. Fig. 3은 각 선박의 수선면 형상을 비교한 것으로, 형상 차이를 보다 명확히 확인하기 위해 반폭으로 무차원화하여 나타내었다. 수선면 형상 비교 결과, 두 선형은 선수부와 선미부 형상에서 뚜렷한 차이를 보이며, 이는 파랑 중 선체 응답 특성에 영향을 줄 수 있는 주요 요소로 작용할 수 있다.

Fig. 2

Body plans of ship models

Fig. 3

Water planes of ship models

모형선은 해양공학수조(Ocean Engineering Basin, OEB)의 크기와 파랑 생성 조건을 고려하여 제작되었다. KSUPRAMAX-O는 1/55 스케일, KLNG는 1/69 스케일로 축소 제작되었으며, 두 선형 모두 섬유 강화 플라스틱(Fiber-Reinforced Plastic, FRP)을 주요 재료로 사용하였다. Fig. 4는 제작된 모형선의 외형을 나타내며, 각 선형의 주요 제원은 Table 1에 정리되어 있다.

Fig. 4.

Model ships

Principal dimensions of models

2.3 견인 방법

모형선은 soft-spring 시스템을 이용하여 견인되었으며, 각 선형의 형상 및 운동 특성을 고려하여 배치 방식에 차이를 두었다. KSUPRAMAX-O의 경우, 일반적으로 모형 실험에서 널리 사용되는 X자 형태의 견인 방식을 적용하였고, KLNG는 종동요 복원력을 최소화할 수 있도록 다이아몬드형(◇) 배치 방식으로 설계하였다. 이는 KLNG 선형의 배수량이 상대적으로 작아, soft-spring의 영향이 더 크게 작용할 수 있기 때문이다. 특히 KLNG의 soft-spring 배치는 Seo et al. (2023)에서 제안한 방법론을 참고하여 설계되었으며, 이 방식은 soft-spring이 운동응답에 간섭을 최소화하는 데 효과적인 것으로 알려져 있다. 각 선형에 적용된 soft-spring의 주요 제원은 Table 2Table 3에 정리되어 있다. KSUPRAMAX-O는 X자 형태의 견인 방식을 사용하였기 때문에 종동요 운동이 soft-spring의 영향을 조금 받았을 것으로 예상된다. 수치해석시 Table 2에 제시된 soft-spring을 고려하여야 한다.

Soft-spring information of KSUPRAMAX-O

Soft-spring information of KLNG

2.4 모형 실험 조건

모형 실험은 규칙파 조건에서 수행되었으며, 각 선형의 설계 속도에서 실험이 진행되었다. 파고 변화에 따른 선체 운동 응답 및 부가저항의 변화를 정량적으로 분석하기 위해, 세 가지 파고 조건을 적용하였다.

파고 설정 방식은 일반적으로 두 가지로 구분된다. 하나는 파의 기울기(wave steepness)를 일정하게 유지하는 방식이며, 다른 하나는 파고(wave height)를 일정하게 유지하는 방식이다. 본 연구에서는 파고를 일정하게 유지하는 방식을 채택하였다. 이와 같은 방식을 채택한 이유는 다음과 같다. 첫째, 부가저항 계측의 정확도를 고려하였다. 단파장 영역에서 파의 기울기를 일정하게 유지할 경우, 파고가 매우 작아져 부가저항의 크기 또한 작아지고, 그에 따라 계측의 불확실성이 증가하게 된다. Park et al. (2019)의 연구에 따르면, KVLCC2 선형 1/100 모델을 대상으로 파장비가 0.3이고 파의 기울기가 1/100인 조건에서, 부가저항은 정수 중 저항(calm water resistance)의 약 1.6% 수준에 불과한 것으로 보고된 바 있다. 둘째, 부가저항의 비선형 성분 보정을 위한 변수 확보 측면에서 파고 고정 방식이 더 유리하다. 본 연구에서는 파의 기울기를 변수로 활용하여 비선형 보정을 수행할 예정이며, 이때 파의 기울기를 고정할 경우 관측 가능한 데이터 포인트 수가 제한되는 단점이 있다. 반면, 파고를 고정하면 파장 변화에 따라 파의 기울기가 자연스럽게 변화하므로, 보다 다양한 기울기 조건에 대한 데이터 확보가 가능하여 보정의 정밀도를 향상시킬 수 있다.

실험 조건은 Table 4 에 요약되어 있다. 파의 입사 방향은 선수파(head-sea) 조건으로 설정하였으며, 파장비(λ/L)는 0.5부터 1.5까지 총 9개의 조건에서 실험을 수행하였다. 시험은 각 선형의 설계 속도(degisn speed)에서 수행되었으며, KSUPRAMAX-O의 경우 14.5 knots, KLNG의 경우 19.5 knots에서 수행하였다.

Regular wave test conditions


3. 입사파

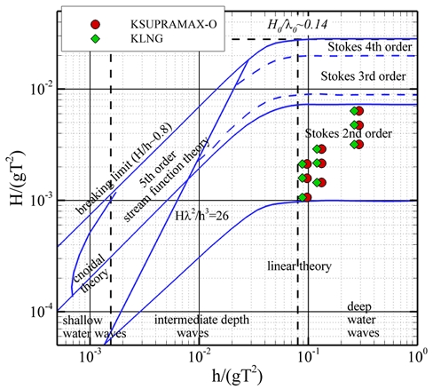
모형 실험에서 적용된 입사파의 특성을 정량적으로 분석하였으며, 그 특성에 따라 적용 가능한 파 이론을 검토하였다. Fig. 5는 파의 상대적인 조건에 따른 이론적 적용 범위를 도시한 것으로, 본 연구에서 사용된 파 조건이 심수파(deep water waves) 영역에 해당함을 확인할 수 있다. 또한, 파고를 기준으로 판단할 때 Stokes 2차 이론을 적용하는 것이 적절함을 알 수 있다.

Fig. 5

Applicability of wave theories

입사파에 대한 세부 분석 결과는 Table 5에 정리하였다. Stokes 2차 이론이 적용 가능한 조건임을 바탕으로, 입사파를 1차 성분(1st harmonic)과 2차 성분(2nd harmonic)으로 분석하였다. 1차 성분은 파도 교정에서 목표 파고(target wave amplitude)에 해당하는 성분으로 목표 파고대비 3% 이내의 오차를 유지하도록 파 교정을 수행하였으며, 전반적으로 양호한 정확도를 확보하였다. 2차 성분의 분석 결과, 파장비 λ/L = 0.5이고 파고비 H/L = 0.02인 조건에서는 2차 성분의 크기가 약 5% 수준으로 나타났으며, 이는 해당 조건에서 비선형 성분이 무시할 수 없는 수준임을 보여준다. 반면, 파장이 길어질수록 2차 성분의 비율은 점차 감소하여 대부분 2% 이하로 유지되었으며, 이는 해당 조건에서 선형 이론의 적용 가능성이 상대적으로 높다는 점을 보여준다. 이와 같은 분석을 통해, 파장비와 파고비에 따라 입사파의 비선형성을 정량적으로 확인할 수 있었다.

Wave amplitude of incident waves


4. 운동응답

4.1 운동 응답

운동응답 분석은 일반적으로 선박의 길이로 무차원화된 파장(λ/L)을 가로축(x축), 무차원화된 운동응답 계수(normalized response amplitude)를 세로축(y축)으로 하여 그래프 형태로 표현된다. 경우에 따라, 운동응답의 크기뿐만 아니라 위상(phase) 정보도 함께 제시되어 파랑에 대한 선체의 시간적 응답 특성을 파악할 수 있다.

본 연구에서는 기본적인 분석 접근으로서, 세 가지 파고 조건에서의 운동응답 크기 변화를 우선적으로 비교하였다. Fig. 6Fig. 7은 KSUPRAMAX-O 선박의 상하동요(heave) 및 종동요(pitch) 운동응답 결과를 나타낸 것이다. 해당 선형의 운동응답 특성은 일반적인 선박의 전형적인 경향과 유사하며, 파고 변화에 따른 응답 크기의 차이는 제한적인 수준으로 나타났다.

Fig. 6

Heave motion response of KSUPRAMAX-O (Fr = 0.172)

Fig. 7

Pitch motion response of KSUPRAMAX-O (Fr = 0.172)

Fig. 8Fig. 9는 KLNG 선박의 상하동요(heave) 및 종동요(pitch) 응답 결과를 나타낸 것이다. 전반적인 운동응답 특성은 일반적인 선박의 전형적인 경향과 유사하게 나타났으나, 파장비 λ/L = 1.5에서 종동요 응답이 1보다 다소 크게 계측되었다. 해당 현상의 원인을 분석하기 위해 다양한 속도 조건에서 추가 실험을 수행하였다. 17.0knots (Fr = 0.171) 조건에서 실험을 수행한 결과, 파장비 1.5에서 운동응답 계수는 1.0에 근접하였으며, 12.0knots (Fr = 0.121) 조건에서는 동일 파장비에서 약 0.9의 값을 보였다. 이를 통해, 속도가 증가할수록 운동응답이 커지는 경향이 있음을 확인할 수 있었으며, 더 긴 파장 조건(λ/L⟫2.0)에서는 응답 계수가 1로 수렴할 것으로 보여진다.

Fig. 8

Heave motion response of KLNG (Fr = 0.196)

Fig. 9

Pitch motion response of KLNG (Fr = 0.196)

한편, 파고 변화에 따른 운동응답을 살펴보면, 상하동요의 경우 파장비 λ/L = 1.0~1.4 구간에서 파고에 따른 응답 크기의 차이가 비교적 뚜렷하게 나타났다. 파고가 증가할수록 상하동요 운동응답이 줄어 들었다. 반면, 종동요 응답은 상하동요에 비해 파고의 영향이 제한적이었으며, 운동응답의 위상(phase)은 파고 변화와 무관하게 일정하게 유지되는 경향을 보였다.

Fig. 6부터 Fig. 9까지의 그래프 형태는 전체적인 운동응답의 경향을 파악하는 데 효과적이나, 파고 변화에 따른 세밀한 응답 차이를 정량적으로 분석하는 데에는 한계가 존재한다.

4.2 운동 응답의 비선형성

본 연구에서는 세 가지 대표 파장 조건(λ/L = 0.5, 1.1, 1.5)에 대해 파고 변화에 따른 운동응답의 비선형성을 분석하였다. Fig. 10에서 파의 기울기(wave steepness, kA)를 가로축(x축), 무차원화된 운동응답 계수(normalized response amplitude)를 세로축(y축)으로 나타내었다. 본 실험에서는 파고(H/L)를 일정하게 유지하였기 때문에, 파장이 짧을수록 파의 기울기가 크게 변화하고, 파장이 길어질수록 기울기 변화 폭이 작아지는 특성이 있다.

Fig. 10

Nonlinearity of heave motion responses

파장비 λ/L = 0.5에서는 상하동요 응답이 전반적으로 매우 작은 값을 나타내며, 파고 변화에 따른 비선형적 응답 차이는 관찰되지 않았다. 이는 짧은 파장에서 선체가 거의 운동을 하지 않기 때문이다. 반면, λ/L = 1.1에서는 Fig. 10(b)에 나타난 바와 같이 두 선박 모두에서 파고 변화에 따른 운동응답의 비선형성이 뚜렷하게 나타났다. Kim et al. (2022)를 참고하면, 이러한 파고 변화에 따른 운동응답의 차이는 선박의 자세 변화와 입사파에 의한 접수 면적의 변화로 인해 복원력과 기진력이 비선형적으로 달라지기 때문으로 해석된다. KSUPRAMAX-O의 경우, 파고가 증가함에 따라 운동응답이 점진적으로 감소하는 경향을 보였으며, 최대 파고 조건에서의 응답은 최소 파고 조건 대비 약 3% 낮게 나타났다. KLNG 선박의 상하동요는 동일 조건에서 약 8%의 감소 폭을 보여, KSUPRAMAX-O보다 상대적으로 더 큰 비선형 영향을 받는 것으로 분석되었다. λ/L = 1.5의 경우, KSUPRAMAX-O는 파고 증가에 따라 운동응답이 소폭 증가하는 경향을 보였으나, 그 변화폭은 제한적이었다. KLNG 선박 역시 파고에 따른 유의미한 변동은 나타나지 않았으며, 파고에 따른 운동응답의 비선형성은 상대적으로 미미한 수준으로 평가되었다.

이러한 결과는 파장 조건에 따라 파고 변화가 선체 운동응답에 미치는 영향이 달라짐을 보여주며, 선박의 종류에 따라 특정 파장 영역(λ/L ≈ 1.1)에서 비선형 특성이 두드러지게 나타날 수 있음을 확인할 수 있다.

Fig. 11은 두 선박의 종동요(pitch) 응답에 대한 결과를 나타낸 것이다. 파장비 λ/L = 0.5에서는 KSUPRAMAX-O와 KLNG 선박 모두 파고 변화에 따른 종동요 응답에서 유의미한 차이를 보이지 않았다. λ/L = 1.1 조건에서는 KSUPRAMAX-O 선박의 응답 변화는 미미한 수준이었으며, KLNG 선박은 파고가 증가함에 따라 응답이 소폭 증가하는 경향을 나타냈다. λ/L = 1.5에서는 두 선박 모두 파고가 높아질수록 종동요 응답이 완만하게 증가하는 경향을 보였다.

Fig. 11

Nonlinearity of pitch motion responses

운동응답의 비선형성 관점에서 살펴보면, 상하동요의 경우 선박 길이와 유사한 파장 영역(λ/L ≈ 1.1)에서 파고가 증가함에 따라 운동응답이 오히려 감소하는 특성이 관찰되었다. 반면, 종동요 응답은 전반적으로 파고 변화에 대해 민감도가 낮은 것으로 분석되었다. 이러한 상하동요와 종동요 응답의 경향은 Kim (2010)Kim et al. (2022)의 연구에서 보고된 S175 선형의 비선형 응답 특성과 일치하는 결과로, 종동요는 상하동요에 비해 비선형 파랑 조건에 대한 민감도가 상대적으로 낮음을 다시 한번 확인할 수 있다.


5. 부가저항

5.1 부가저항

Fig. 12Fig. 13는 각각 KSUPRAMAX-O와 KLNG 선박의 부가저항(added resistance) 결과를 나타낸 것이다. KSUPRAMAX-O 선박의 경우, 파장비 λ/L ≈ 1.0에서 부가저항이 최대값을 나타내며, 단파장 영역에서 파고 변화에 따라 부가저항의 차이가 뚜렷하게 나타났다. 반면, 파장이 길어질수록 파고 변화에 따른 부가저항의 차이는 점차 줄어드는 경향을 보였다.

Fig. 12

Added resistance of KSUPRAMAX-O (Fr = 0.172)

Fig. 13

Added resistance of KLNG (Fr = 0.196)

KLNG 선박의 경우, 부가저항은 λ/L ≈ 1.1에서 최대값을 나타냈었다. 선박 길이와 유사한 파장 영역(λ/L ≈ 1.1)에서는 파고 변화에 따른 부가저항의 영향이 상대적으로 크게 나타났으며 파장비 1.5 조건에서도 파고 변화에 따른 저항 변화가 일정 수준 존재하는 것으로 나타났다. 그러나 단파장 영역에서는 파고 변화에 따른 부가저항의 차이가 매우 제한적이었다.

이와 같은 경향은 각 선형의 형상 특성 및 파랑 상호작용의 결과에 기인하며, 부가저항 해석 시 파고와 파장의 복합적인 영향을 함께 고려해야 함을 보여준다.

5.2 부가저항의 비선형성

파고 변화에 따른 부가저항의 비선형적 특성을 보다 정밀하게 분석하기 위해, 세 가지 파장비(λ/L = 0.5, 1.1, 1.5)에 대해 KSUPRAMAX-O와 KLNG 선박의 부가저항 결과를 나타내었다(Fig. 14). 본 그래프는 앞서 제시한 운동응답 그래프와 동일한 방식으로 작성되었으며, 가로축은 파의 기울기(wave steepness, kA), 세로축은 무차원화된 부가저항 계수(normalized added resistance)를 나타낸다.

Fig. 14

Nonlinearity of added resistance

파장비 λ/L = 0.5에서는 두 선박 모두 파고가 증가함에 따라 부가저항이 감소하는 경향을 보였다. KSUPRAMAX-O 선박은 H/L = 0.01 조건 대비 H/L = 0.02 조건에서 약 40%의 부가저항 감소가 나타났으며, KLNG 선박의 경우에는 약 10% 감소하였다. 파장비 λ/L = 1.1 조건에서도 두 선형 모두 파고가 증가할수록 부가저항이 감소하는 경향을 보였다. KSUPRAMAX-O는 약 14%, KLNG는 약 22%의 부가저항 감소가 관찰되었으며, 특히 KLNG의 경우 부가저항의 감소가 더 크게 나타났다. 다만, 이 구간에서는 부가저항의 절대값이 크기 때문에, 감소의 비율(%)은 상대적으로 작게 나타나는 특성이 있다. 파장비 λ/L = 1.5에서도 유사한 경향이 유지되었다. KSUPRAMAX-O는 약 9%, KLNG는 약 23%의 부가저항 감소를 보였다. KLNG 선형은 λ/L = 1.1과 1.5에서 유사한 수준의 감소폭을 나타내며 파고 변화에 민감한 반응을 지속적으로 보여주는 것으로 나타났다.

Fig. 12Fig. 13에서는 y축의 범위가 상대적으로 넓게 설정되어 부가저항 변화가 명확히 드러나지 않았던 반면, Fig. 14에서는 y축의 범위를 조정하여 보다 세밀한 부가저항 변화 양상을 시각적으로 확인할 수 있다. 특히 무차원 부가저항 값의 상대적 감소 비율을 통해 각 선형의 파고 민감도를 정량적으로 비교할 수 있다.

정리하면, KSUPRAMAX-O 선박은 파장비가 0.5, 1.1, 1.5로 증가함에 따라 부가저항 감소율이 각각 40%, 14%, 9%로 점차 감소하는 경향을 보이며, 파장이 길어질수록 파고 변화에 둔감해지는 특성을 나타낸다. 반면, KLNG 선박은 같은 파장비 조건에서 10%, 22%, 23%의 부가저항 감소율을 보여, 중장파 영역(λ/L = 1.1, 1.5)에서 파고 변화에 더욱 민감하게 반응하는 경향을 보였다.

부가저항의 비선형적 거동이 나타나는 원인을 고찰하기 위해, 기존 포텐셜 이론 기반 해석에서 부가저항이 어떻게 정의되고 계산되는지를 검토하였다. Kim and Kim (2010), Park et al. (2014)의 연구를 참고하면, 파랑 중 선박에 작용하는 부가저항은 다음과 같이 이론적으로 표현될 수 있다.

F2=12ρgWLζI+ζd-ξ3+ξ4Y-ξ5X2Ndl  I-ρSB¯12ϕI+ϕdϕI+ϕdNdS  II-ρSB¯δϕI+ϕdtNdS  III-ρSB¯gξ3+ξ4Y-ξ5X+ϕI+ϕdtN1dS  IV-ρS-BgzN2dS-ρSB¯HXgZNdS  IV(1) 

이 식에서 각 성분은 다음과 같은 물리적 의미를 가진다.

첫 번째 성분 (I)은 상대파고에 따른 수선 적분 항으로, 파랑과 선체의 상대적인 위치 변화에 의해 발생하는 압력 분포를 반영한다. 두 번째 성분 (II)은 유체의 운동 에너지와 관련된 속도 제곱 항으로, 파 내 유체 입자의 속도 변화에 의해 유도되는 비선형 압력 성분을 나타낸다. 세 번째 성분 (III)은 선체의 운동에 따른 압력 변화 항으로, 선박의 선형 및 각운동에 의해 유체와의 상호작용이 발생하며, 이에 따른 부가적인 압력 분포 변화가 포함된다. 네 번째 성분 (IV)은 선체의 회전 운동에 의해 유도되는 항으로, 선박의 회전에 따라 변화하는 법선 벡터 및 좌표계 변환 효과가 반영되며, 회전에 따른 유체 압력의 공간 분포 변화를 포함한다. 여기서 변위, 1차 법선 벡터, 2차 법선 벡터, 회전 운동과 관련된 좌표 변환 행렬에 대한 자세한 내용은 Park et al. (2014)에 설명되어 있다.

Park et al. (2025)의 연구에 따르면, 식 (1)에서 제시된 부가저항의 구성 항 중 첫 번째 성분, 즉 상대파고에 기반한 수선 적분 항이 전체 부가저항에 가장 큰 기여를 하는 것으로 보고되었다. 이는 수면 경계 조건의 변동이 선체 주변 압력 분포에 미치는 영향이 지배적이라는 점을 보여준다.

KSUPRAMAX-O 선박에 대해 선수부 Y/L = 0 지점에서의 상대파고를, KLNG 선박에 대해서는 X/L = 0.943 지점에서의 상대파고를 계측하였으며, 그 결과를 Fig. 15에 제시하였다. KLNG 선박의 경우, 선수부 형상이 날렵하여 Y/L = 0.0 지점에서 상대파고 계측 및 분석이 어려워, 비교적 안정적인 X/L = 0.943 위치에서 분석이 수행되었다. 상대파고 계측에 대한 자세한 내용은 Park et al. (2023)에 설명되어 있다.

Fig. 15

Relative wave elevation

앞서 파고 증가에 따라 부가저항이 감소하는 경향이 관찰된 바 있으며, 이와 유사하게 상대파고(relative wave elevation)의 RAO 또한 파고가 증가할수록 감소하는 경향을 보였다. 다만, 본 연구에서는 특정 지점에서의 상대파고만을 분석하였기 때문에, 이를 바탕으로 전체 부가저항의 정량적 변화량을 직접 추정하기에는 한계가 있다. 부가저항을 보다 정확하게 예측하기 위해서는 선체 전반에 걸친 상대파고의 공간 분포에 대한 분석이 필요하다.

단파장 영역에서는 선박의 운동이 거의 발생하지 않기 때문에, 파고 증가에 따른 상대파고 감소는 선체 형상과 입사파 간의 비선형 상호작용에 기인한 것으로 해석될 수 있다. Fig. 16은 두 선박의 측면도(profile)을 나타낸 것이다. 일반적으로 x축은 선박의 길이(L)로 무차원화하지만, 본 연구에서는 측면도 형상의 왜곡을 방지하기 위해 x축과 y축 모두를 흘수(T)를 기준으로 무차원화하여 제시하였다. Fig. 16에서 확인할 수 있듯이, KSUPRAMAX-O와 KLNG 선박은 선수부 형상에서 뚜렷한 차이를 보인다. 이러한 형상의 차이는 동일한 입사파 조건 하에서도 서로 다른 상대파고 분포를 유도하며, 이는 결과적으로 부가저항에 영향을 미치는 요인으로 작용한다. 파장비 λ/L = 1.1 조건에서는 KLNG 선박의 경우, 운동응답의 비선형성까지 더해져 상대파고 및 부가저항의 변화가 더욱 복합적으로 발생하는 것으로 판단된다.

Fig. 16

Profiles of ship models

이러한 결과는 부가저항의 비선형성이 단순히 파고의 크기에만 의존하는 것이 아니라, 파장, 선체 형상, 파의 비선형성, 그리고 운동응답 특성 간의 복합적인 상호작용에 의해 발생함을 보여준다.

5.3 부가저항의 비선형성 보정

앞서 파고 변화에 따른 부가저항의 응답 특성을 정성적으로 분석하였다. 그러나 다양한 파고 조건에서 부가저항을 반복적으로 측정하는 것은 상당한 시간과 물리적 자원이 소요되는 작업이며, 실험 파고를 다양하게 선택하는 과정 또한 실험 계획 측면에서 쉽지 않다. 이와 같은 문제를 해결하기 위한 시도로, Jawa and Munehiko (2023)은 불규칙파 조건에서 부가저항을 예측하기 위해 다음과 같은 경험식 기반 보정식을 제안하였다. 해당 식은 벌크선(Bulk Carrier)에 대해 적용되었으며, 비선형 보정 계수(C(s))를 도입하여 파고 변화에 따른 비선형 효과를 보정하였다.

Cs=Rω,HRω,Hlinear(2) 

여기서 C(s)는 비선형 보정 계수이며, s는 파의 기울기(H/λ), Hlinear는 낮은 파고 조건을 나타낸다. 즉, C(s)는 특정 파의 기울기 조건에서 낮은 파고 대비 높은 파고에서의 부가저항 비율을 정량적으로 표현하는 계수이다. 본 연구에서는 낮은 파고로 H/L=0.01의 조건을 활용하였다. 비선형 보정 계수는 파의 기울기 함수이며 C(s)= exp(As2) 형태를 제안하였다. 모형 실험의 결과로부터 계수 A를 얻을 수 있다.

본 연구에서는 Jawa and Munehiko (2023)의 방법론을 KSUPRAMAX-O 선박에 적용하였으며, 이를 통해 파의 기울기에 따른 C(s)의 변화를 도출하였다. Fig. 17은 KSUPRAMAX-O 선박의 파 기울기에 따른 비선형 보정 계수를 나타낸 것이다. 해당 결과의 추세선은 아래와 같다.

Cs=exp-361.95s2(3) 
Fig. 17

Nonlinearity of added resistance and wave steepness, KSUPRAMAX-O (Fr = 0.172)

식 (3)과 같은 비선형 보정 계수 기반의 접근 방식은 형상계수(block coefficient, CB)가 큰 선형, 예를 들어 벌크선(Bulk Carrier)과 같이 형상을 가진 선박에 대해 유효하게 적용될 수 있는 것으로 보여진다. 실제로 KSUPRAMAX-O 선박에 본 방식을 적용한 결과, 파의 기울기에 따른 부가저항의 감소 경향이 추세선 형태와 유사하였다.

반면, KLNG 선박의 경우에는 선수부가 날렵하고 형상계수가 작아, Fig. 18에 나타낸 것과 같은 분포되어 있어서 KSUPRAMAX-O 선박에 적용한 것과 동일한 형태의 비선형 보정식을 적용하기 어렵다.

Fig. 18

Nonlinearity of added resistance and wave steepness, KLNG (Fr = 0.196)

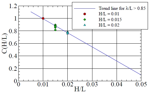
앞서 분석한 바와 같이, KLNG 선박의 경우 파장비 λ/L = 1.1과 1.5에서 파고 변화에 따른 부가저항의 감소 비율이 유사한 경향을 보였다. 이에 착안하여, 파고에 따른 부가저항 감소율을 파고의 1차 함수 형태(C(H/L)= A(H/L)+B)로 정리하고자 하였으며, 이를 통해 파장비가 일정 수준 이상일 때 적용 가능한 보정 관계식을 도출하였다. 다만, 본 보정 관계식은 과도한 green water가 발생하지 않는 파고 조건에서 적용되어야 한다.

본 분석에서는 파장비 λ/L ≥ 0.85인 조건에 대해서만 부가저항 보정을 수행하였다. 이 구간은 실제 부가저항의 크기가 상대적으로 크고, 파고 변화에 따른 민감도가 높게 나타나는 영역으로, 보정식 적용의 유효성이 확보되는 조건이다. Fig. 19는 파고에 따른 부가저항 비선형 보정 계수를 나타낸 것이다.

Fig. 19

Nonlinearity of added resistance and wave height, KLNG (Fr = 0.196)

도출된 추세선은 다음과 같이 표현될 수 있다.

CH/L=-22.46HL+1.22(4) 

부가저항 비선형 보정 계수를 각 선형(KSUPRAMAX-O, KLNG)에 적용한 결과를 Fig. 20Fig. 21에 나타내었다. 낮은 파고 조건(Base)은 H/L = 0.01로 설정하였으며, 이를 기준으로 보정 계수를 이용해 추정된 부가저항 값은 점선으로, 모형시험 결과는 점으로 표시하였다. KSUPRAMAX-O 선박의 경우, 파장이 길어질수록 파고 변화에 따른 부가저항의 차이가 점차 줄어드는 경향이 있으며, 이러한 특성이 추정 결과에도 잘 반영되었다. KLNG 선박은 선박의 길이와 유사한 파장 영역에서 파고 증가에 따른 부가저항 감소 경향이 잘 반영되었음을 확인할 수 있다. 두 선형 모두에서 추정값과 실측값 간의 전반적인 경향이 잘 일치하였으며, 제안된 보정 계수의 적용 가능성과 유효성을 확인할 수 있었다.

Fig. 20

Application of nonlinear correction for added resistance, KSUPRAMAX-O (Fr = 0.172)

Fig. 21

Application of nonlinear correction for added resistance, KLNG (Fr = 0.196)

제안된 부가저항의 비선형 보정 계수가 다른 선형에 대해서도 확장 가능한지를 검토하기 위해, 기존 문헌에서 파고 변화에 따른 부가저항 모형 실험 결과를 조사하였다. KSUPRAMAX-O 선박과 유사한 선박의 실험 데이터는 Lee et al. (2017)의 연구에서 확인할 수 있으며, 해당 연구에서는 KVLCC2(CB=0.810) 선박을 대상으로 파장비 λ/L = 0.5, 1.1, 2.0 조건에서 4가지 파고에 대해 부가저항 실험을 수행하였다. 본 연구에서는 이 데이터를 활용하여, 앞서 제안한 보정 방식과 동일한 방법으로 파고에 따른 부가저항 변화 비율을 분석하였으며, 그 결과를 Fig. 22에 나타내었다.

Fig. 22

Nonlinearity of added resistance and wave steepness, KVLCC2 (Fr = 0.142)

도출된 추세선은 다음과 같이 표현된다.

Cs=exp-378.5s2(5) 

KVLCC2 선박의 부가저항에 대한 비선형 보정 역시 KSUPRAMAX-O 선박의 경우와 유사한 형태의 추세식으로 근사될 수 있으며 비선형 보정식의 계수(-361.95, -378.5) 또한 유사한 값을 가졌다.

이는 두 선형 모두 형상계수(CB)가 크고, 상대적으로 비대한 선형을 가지는 공통점을 바탕으로, 파고 변화에 따른 부가저항의 비선형 특성이 유사한 특성을 보임을 의미한다.

LNG 선박에 대한 부가저항의 비선형 특성은 Lee et al. (2021)Kim et al. (2019)의 연구를 통해 확인할 수 있었다. 해당 연구에서는 S-LNG(CB=0.770) 선형을 대상으로, 두 가지 조건—고정 파고 조건(H/L = 0.01)과 고정 파 기울기 조건(H/λ = 0.025)—에서 모형 실험을 수행하였다.

해당 실험 데이터를 바탕으로 부가저항의 파고 민감도를 분석하였으며, 그 결과는 Fig. 23에 도시되어 있다. 다른 선형들과 동일한 방식으로 보정 계수를 도출하였고, 이로부터 다음과 같은 추세선을 얻을 수 있었다.

CH/L=-19.24HL+1.18(6) 
Fig. 23

Nonlinearity of added resistance and wave height, S-LNGC (Fr = 0.188)

KVLCC2와 S-LNG 선박에 대한 분석 결과를 통해, 동일한 선종 내에서는 유사한 형태의 비선형 보정 추세식이 도출되는 경향이 있음을 확인할 수 있었다.

향후 연구에서는, 동일 선종에 속하는 다양한 선박에 대해 모형 실험 또는 파고 효과를 반영할 수 있는 수치 해석 기법을 활용하여, 선형 특성과 연계된 보정 계수의 예측 모델을 구축할 예정이다.


6. 결 론

본 연구는 서로 다른 형상 특성을 가진 벌크선(KSUPRAMAX-O)과 액화천연가스 운반선(KLNG)을 대상으로, 파고 변화에 따른 선박의 운동응답 및 부가저항의 모형 실험을 수행하고 이를 바탕으로 파고 변화에 따른 운동응답 및 부가저항의 비선형 특성을 분석하였다. 이로부터 다음과 같은 결론을 얻었다.

  • - 운동응답 분석 결과, 상하동요는 선박 길이와 유사한 파장 영역(λ/L ≈ 1.1)에서 파고 증가에 따라 응답이 감소하는 비선형 특성이 나타났으며, 종동요는 전체적으로 파고 변화에 대한 민감도가 낮게 나타났다.
  • - 부가저항의 경우, KSUPRAMAX-O 선박은 파장이 길어질수록 파고 변화에 둔감해지는 경향을 보인 반면, KLNG 선박은 중장파 영역(λ/L = 1.1, 1.5)에서 파고 변화에 대해 더욱 민감하게 반응하였다.
  • - 부가저항의 비선형 특성을 정량화하기 위해, 파 기울기를 변수로 한 비선형 보정 계수 C(s)를 도입하였다. 벌크선형의 경우, 지수함수 형태의 보정식이 효과적으로 적용되었으며, KLNG 선형의 경우에는 파고를 변수로 한 함수 형태의 보정식이 보다 적합한 것으로 나타났다.

본 연구는 실제 해역에서의 선체 응답 예측 시 파고에 따른 비선형 효과를 고려하는 것이 중요함을 실험적으로 입증하였으며, 제안된 보정 기법은 다양한 형상 특성을 가진 선박의 내항 성능 평가 및 부가저항 예측에 효과적으로 활용될 수 있을 것으로 기대된다.

Acknowledgments

본 논문은 해양수산부 재원으로 선박해양플랜트연구소의 주요사업인 “극한환경상태의 선박성능 평가기술 개발”에 의해 수행되었습니다(2520000674, PES5460).

References

  • Fonseca, N. and Guedes Soares, C. 2002. Comparison of numerical and experimental results of nonlinear wave-induced vertical ship motions and loads. Journal of Marine Science and Technology, 6, 193-204. [https://doi.org/10.1007/s007730200007]
  • Fonseca, N. and Soares, C. G. 1998. Time-domain analysis of large-amplitude vertical ship motions and wave loads. Journal of Ship Research, 42(02), pp.139-153. [https://doi.org/10.5957/jsr.1998.42.2.139]
  • Hizir, O., Kim, M., Turan, O., Day, A., Incecik, A. and Lee, Y. 2019. Numerical studies on non-linearity of added resistance and ship motions of KVLCC2 in short and long waves. International Journal of Naval Architecture and Ocean Engineering, 11(1), pp.143-153. [https://doi.org/10.1016/j.ijnaoe.2018.02.015]
  • Jawa, S. and Munehiko, M. 2023. Validation of short-term prediction of added resistance in head seas considering wave steepness nonlinearity with probability density function method. Ocean Engineering, 278, 114353. [https://doi.org/10.1016/j.oceaneng.2023.114353]
  • Kim, B.S., Park, D.M. and Kim, Y. 2022. Study on nonlinear heave and pitch motions of conventional and tumblehome hulls in head seas. Ocean Engineering, 247, 110671. [https://doi.org/10.1016/j.oceaneng.2022.110671]
  • Kim, Y. 2010. ITTC Workshop on Seakeeping: V & V for Non-linear Seakeeping Analysis, Seoul National University, Seoul.
  • Kim, K.H. and Kim, Y. 2010. Comparative study on ship hydrodynamics based on Neumann-Kelvin and double-body linearizations in time-domain analysis. International Journal of Offshore and Polar Engineering, 20(04).
  • Kim, Y., Park, D.M., Lee, J.H., Lee, J., Kim, B.S., Yang, K. K., Oh, S. and Lee, D.Y. 2019. Numerical analysis and experimental validation of added resistance on ship in waves. Journal of Ship Research, 63(04), 268-282. [https://doi.org/10.5957/JOSR.10180091]
  • Lee, J., Park, D.M. and Kim, Y. 2017. Experimental investigation on the added resistance of modified KVLCC2 hull forms with different bow shapes. Proceedings of the Institution of Mechanical Engineers, Part M: Journal of Engineering for the Maritime Environment, 231(2), 395-410. [https://doi.org/10.1177/1475090216643981]
  • Lee, J.H., Kim, Y., Kim, B.S. and Gerhardt, F. 2021. Comparative study on analysis methods for added resistance of four ships in head and oblique waves. Ocean Engineering, 236, 109552. [https://doi.org/10.1016/j.oceaneng.2021.109552]
  • O'dea, J., Powers, E. and Zselecsky, J. 1994. Experimental determination of nonlinearities in vertical plane ship motions. Proceedings of the 19th Symposium on Naval Hydrodynamics, Seoul, Korea, 73-90.
  • Park, D.M., Hwang, S.H. and Kwon, Y.J. 2025. Experimental study on the hull surface pressure, motion response, and added resistance measurement of a KLNG in regular waves. Journal of the Society of Naval Architects of Korea, 62(3), pp.169-178. [https://doi.org/10.3744/SNAK.2025.62.3.169]
  • Park, D.M., Lee, J.H., Jung, Y.W., Lee, J., Kim, Y. and Gerhardt, F. 2019. Experimental and numerical studies on added resistance of ship in oblique sea conditions. Ocean Engineering, 186, 106070. [https://doi.org/10.1016/j.oceaneng.2019.05.052]
  • Park, D.M., Kwon, Y.J., Kim, G.W., Nam, H. and Hwang, S. 2023. A study on relative wave elevation measurement of KSUPRAMAX-O in regular waves. Journal of the Society of Naval Architects of Korea, 60(5), pp.305-319. [https://doi.org/10.3744/SNAK.2023.60.5.305]
  • Park, D.M., Seo, M.G., Lee, J., Yang, K.K. and Kim, Y. 2014. Systematic experimental and numerical analyses on added resistance in waves. Journal of the Society of Naval Architects of Korea, 51(6), pp.459-479. [https://doi.org/10.3744/SNAK.2014.51.6.459]
  • Seo, M.G., Park, I.B., Park, D.M. and Hwang, S. 2023. A study on soft-mooring model test techniques for the evaluation of added resistance on ships. Journal of the Society of Naval Architects of Korea, 60(5), pp.320-331. [https://doi.org/10.3744/SNAK.2023.60.5.320]
  • Sigmund, S. and El Moctar, O. 2018. Numerical and experimental investigation of added resistance of different ship types in short and long waves. Ocean Engineering, 147, pp.51-67. [https://doi.org/10.1016/j.oceaneng.2017.10.010]
  • Yasukawa, H., Matsumoto, A. and Ikezoe, S. 2016. Wave height effect on added resistance of full hull ships in waves. Journal of the Japan Society of Naval Architects and Ocean Engineers, 23. [https://doi.org/10.2534/jjasnaoe.23.45]
박 동 민

오 영 재

황 승 현

권 용 주

Fig. 1

Fig. 1
Ocean Engineering Basin(OEB)

Fig. 2

Fig. 2
Body plans of ship models

Fig. 3

Fig. 3
Water planes of ship models

Fig. 4.

Fig. 4.
Model ships

Fig. 5

Fig. 5
Applicability of wave theories

Fig. 6

Fig. 6
Heave motion response of KSUPRAMAX-O (Fr = 0.172)

Fig. 7

Fig. 7
Pitch motion response of KSUPRAMAX-O (Fr = 0.172)

Fig. 8

Fig. 8
Heave motion response of KLNG (Fr = 0.196)

Fig. 9

Fig. 9
Pitch motion response of KLNG (Fr = 0.196)

Fig. 10

Fig. 10
Nonlinearity of heave motion responses

Fig. 11

Fig. 11
Nonlinearity of pitch motion responses

Fig. 12

Fig. 12
Added resistance of KSUPRAMAX-O (Fr = 0.172)

Fig. 13

Fig. 13
Added resistance of KLNG (Fr = 0.196)

Fig. 14

Fig. 14
Nonlinearity of added resistance

Fig. 15

Fig. 15
Relative wave elevation

Fig. 16

Fig. 16
Profiles of ship models

Fig. 17

Fig. 17
Nonlinearity of added resistance and wave steepness, KSUPRAMAX-O (Fr = 0.172)

Fig. 18

Fig. 18
Nonlinearity of added resistance and wave steepness, KLNG (Fr = 0.196)

Fig. 19

Fig. 19
Nonlinearity of added resistance and wave height, KLNG (Fr = 0.196)

Fig. 20

Fig. 20
Application of nonlinear correction for added resistance, KSUPRAMAX-O (Fr = 0.172)

Fig. 21

Fig. 21
Application of nonlinear correction for added resistance, KLNG (Fr = 0.196)

Fig. 22

Fig. 22
Nonlinearity of added resistance and wave steepness, KVLCC2 (Fr = 0.142)

Fig. 23

Fig. 23
Nonlinearity of added resistance and wave height, S-LNGC (Fr = 0.188)

Table 1

Principal dimensions of models

Item KSUPRAMAX-O KLNG
Ship Model Ship Model
Scale ratio 1 1/55 1 1/69
LBP [m] 192.0 3.491 266.0 3.855
B [m] 36.0 0.655 42.6 0.617
T [m] 11.2 0.204 11.3 0.164
▽ [m3] 65,028 0.391 95,940 0.292
LCB [m] 5.773 0.105 1.04 0.015
CB 0.840 0.840 0.749 0.749
KG [m] 7.020 0.128 16.5 0.239
GM [m] 8.586 0.156 2.7 0.039
kxx [m] 14.4 0.262 12.78 0.185
kyy, kzz [m] 48.0 0.873 63.84 0.925

Table 2

Soft-spring information of KSUPRAMAX-O

Item Spring stiffness
[N/m]
Pretension
[N]
Position1
(Model)
[m]
Position2
(Towing point)
[m]
M1 198.78 135.72 1.912,0.0,0.131 3.28,1.96,0.131
M2 1.912,0.0,0.131 3.28,-1.96,0.131
M3 -1.912,0.0,0.131 -3.28,-1.96,0.131
M4 -1.912,0.0,0.131 -3.28,1.96,0.131

Table 3

Soft-spring information of KLNG

Item Spring stiffness
[N/m]
Pretension
[N]
Position1
(Model)
[m]
Position2
(Towing point)
[m]
M1 120.0 90.3 2.158,0.0,0.075 -0.155,1.795,0.075
M2 2.158,0.0,0.075 -0.155,-1.795,0.075
M3 -2.468,0.0,0.075 -0.155,-1.795,0.075
M4 -2.468,0.0,0.075 -0.155,1.795,0.075

Table 4

Regular wave test conditions

Ship Speed [Fr] Heading angle
[deg.]
Wave height
[H/L]
Wave length
[λ/L]
KSUPRAMAX-O 0.172 180.0 0.01, 0.015, 0.02 0.5, 0.6, 0.7, 0.85, 1.0, 1.1, 1.2, 1.35, 1.5
KLNG 0.196

Table 5

Wave amplitude of incident waves

Ship Wave length
[λ/L]
Wave height
[H/L]
A1A
[%]
A2A
[%]
A: Target wave amplitude
A(1): First-order wave amplitude
A(2): Second-order wave amplitude
KSUPRAMAX-O 0.5 0.01 102.7 2.7
0.015 101.5 3.5
0.02 101.7 4.7
1.1 0.01 99.8 1.0
0.015 102.7 1.7
0.02 99.8 1.2
1.5 0.01 101.5 1.8
0.015 99.8 0.7
0.02 100.8 1.2
KLNG 0.5 0.01 100.3 1.4
0.015 97.8 3.6
0.02 102.8 4.9
1.1 0.01 99.3 0.8
0.015 100.5 1.4
0.02 100.6 1.9
1.5 0.01 97.6 1.8
0.015 101.7 0.9
0.02 102.1 1.4