Journal of the Society of Naval Architects of Korea
[ Research Paper ]
Journal of the Society of Naval Architects of Korea - Vol. 62, No. 3, pp.199-209
ISSN: 1225-1143 (Print) 2287-7355 (Online)
Print publication date 20 Jun 2025
Received 05 Mar 2025 Revised 02 May 2025 Accepted 02 May 2025
DOI: https://doi.org/10.3744/SNAK.2025.62.3.199

경사면으로 전파하는 고립파와 수직 벽면 충돌 과정에서 갇힌 공기에 의한 벽면 압력 진동 해석

신상묵
국립부경대학교 조선해양시스템공학전공
Analysis of Wall Pressure Oscillations Caused by Entrapped Air During the Collision Between a Solitary Wave Propagating on a Slope and a Vertical Wall
Sangmook Shin
Department of Naval Architecture and Marine Systems Engineering, Pukyong National University

Correspondence to: Sangmook Shin, smshin@pknu.ac.kr

This is an Open-Access article distributed under the terms of the Creative Commons Attribution Non-Commercial License(http://creativecommons.org/licenses/by-nc/3.0) which permits unrestricted non-commercial use, distribution, and reproduction in any medium, provided the original work is properly cited.

Abstract

A developed code based on the unified conservation laws for incompressible and compressible fluids is applied to analyze wall pressure oscillations caused by entrapped air during a collision between a solitary wave and a vertical wall. To validate the developed code for the interaction of wave and structure, the computed results are compared with reported experimental data for interactions between a solitary wave and a submerged rectangular structure. Good agreements are archived for the time histories of velocity components at measuring points, which are dominated by vortex shedding caused by horizontal velocity behind the submerged obstacle while a solitary wave passes through. The validated code is applied to simulate collision between a breaking solitary wave and a vertical wall. Solitary waves are generated using a piston-type wave maker at one end of the computational domain, and an inclined plane is located in front of a vertical wall at the other end of the domain to expedite wave breaking. Pressure fields around an entrapped air pocket are shown at each one millisecond during the air pocket pulsates. The variations in amplitude, period, and attenuation of wall pressure oscillations are analyzed according to the distance from a solitary wave to a vertical wall, at the moment the solitary wave breaks on a slope. It is observed that the maximum wall pressure occurs just before the pulsating air pocket is entrapped as the distance increases, and this tendency is found to be in agreement with the recently reported experimental results.

Keywords:

Incompressible fluid, Pulsating air pocket, Wave maker, Breaking wave, Wave impact

키워드:

비압축성 유체, 압축 팽창하는 갇힌 공기, 조파기, 쇄파, 파랑 충격

1. 서 론

해양 구조물에 파가 충돌하거나 슬로싱 혹은 수면 입수 등과 같은 급격한 자유표면 유동에서 기체가 주위 액체나 고체 벽에 의해 고립되는 경우 갇힌 기체의 빠른 압축 팽창으로 인해 주위 유동장의 압력도 급격히 진동한다. 자유표면 유동에서 갇힌 기체의 압축성 효과에 의한 압력 진동을 해석하기 위한 많은 연구들이 진행되어 오고 있다 (Abrahamsen and Faltinsen, 2011; Zhou et al. 2024). Shen et al. (2024)는 2차원 사각 탱크 내 슬로싱 유동에 대한 실험을 통해 급격한 충격압에 대한 통계적 해석을 수행하고 flip-through 형태의 충격 압력은 가두어진 공기의 압축 팽창이 발생하는 형태의 충격과 파가 벽을 타고 올라오면서 발생하는 충격 사이의 전환 과정에서 발생함을 보고하였다. Talioua et al. (2022)은 수면으로 낙하하는 평판에 작용하는 충격 압력에 대한 실험을 수행하고 계측된 충격압의 최대치가 von Karman 추정식 결과와 차이가 있으며 이러한 불일치의 상당한 부분은 갇힌 공기의 압축성에 기인함을 보고하고 공기의 기준 압력을 조절하여 갇힌 공기의 강성 변화에 따른 충격 압력 변화를 비교하여 이러한 해석을 뒷받침하였다. Croquer et al. (2023)은 기체의 압축 팽창을 단열(adiabatic)과정으로 가정하고 FANS (Favre- Averaged Navier–Stokes) 방정식을 해석하여 파와 구조물의 충돌 과정에서 갇힌 공기의 압축성이 벽면에 작용하는 유체력에 큰 영향을 미침을 보고하였다. 그러나 갇힌 공기에 의한 압력 진동의 진폭이나 진동 주기 및 감쇠 등의 특성에 대한 물리적 이해를 위해서는 아직도 많은 실험 및 이론적 해석이 요구된다.

Shin (2020)은 비압축성 및 압축성 유체에 대한 통합보존식 해석을 위한 압력 기반 기법을 제안하였다. 압축성 영역을 포함한 전체 유동장의 압력을 하나의 Poisson 방정식을 이용해 계산하였으며 이 과정에서 기체의 압축성 효과는 Poisson 방정식의 생성항에 반영되었다. 제안된 기법은 관속에서 기체의 압축 팽창에 의한 물의 진동이나 자유 낙하하는 물과 탱크 바닥면 사이에 갇힌 공기의 압축 팽창에 따른 압력 진동에 대한 다른 계산 결과들과의 비교를 통해 검증되었다. Shin (2019)은 기체의 압축성 거동 특성에 따른 계산 결과와 실험 결과와의 비교를 통해 갇힌 공기의 압축 팽창이 짧은 주기로 인해 등엔트로피 과정임을 보고하였다. Shin (2021)은 통합보존식 해석 코드를 갇힌 공기에 의해 벽면 압력 진동이 발생하는 슬로싱 유동에 적용하여 계산된 압력 진동의 진폭, 주기 및 감쇠 등이 Lugni et al. (2010)의 실험에서 계측된 결과와 좋은 일치를 보임을 보고하였으며 격자나 시간 간격 등의 수치 인자들에 대한 계산 결과의 수렴성 등을 보고하였다. Shin (2023)은 갇힌 공기의 압축 팽창이 없는 경우 슬로싱 유동에서 기하학적 상사와 Froude 상사만 만족되면 무차원화된 압력의 시간 변화가 탱크 크기와 관계없이 일정하지만 갇힌 공기의 압축 팽창이 발생하는 경우 Bagnold 충격수가 추가적으로 일치하여야만 상사한 시간 변화를 얻을 수 있음을 보고하였다.

본 연구에서는 통합보존식 해석 코드를 조파기에 의해 생성되어 전파하는 해양파를 고려할 수 있도록 확장하여 진행하는 파와 구조물 충돌 과정에서 갇힌 공기의 압축 팽창에 따른 벽면 압력 진동을 해석하였다. 조파기에 의한 파 생성 및 해양파와 구조물의 상호 작용에 대한 통합보존식 코드의 추가 검증을 위해 고립파가 바닥에 놓인 구조물 위를 통과하면서 발생하는 박리 및 와류에 의한 속도의 시간 변화에 대한 계산 결과를 보고된 다른 실험 및 계산 결과들과 비교하였다. 추가 검증된 코드를 이용하여 경사면으로 전파하는 중에 쇄파되는 고립파가 수직 벽면에 충돌하는 과정에서 갇힌 공기의 압축 팽창에 의한 벽면 압력 진동 특성을 해석하였다.


2. 통합보존식 해석 기법

지배방정식은 비압축성 및 압축성 Newtonian 유체에 대한 질량 및 운동량 보존식이며 압축성 유체의 밀도는 계산된 압력으로부터 상태방정식을 이용하여 계산된다. 질량 보존식의 경우 밀도에 대한 가정 없이 Lagrangian 관점에서 질량의 시간 미분이 영이라는 식을 적용한다.

ρt+uiρxi+ρuixi=0(1) 

여기서 ρ는 유체의 밀도이고 ui는 속도 벡터이다.

Lagrangian 관점에서의 운동량의 시간 미분항의 경우 밀도에 대한 가정을 적용하지 않아도 식 (1)의 질량 보존식을 적용하면 비압축성 유동의 경우와 동일하게 속도에 대한 전미분항이 얻어진다. 그러나 압축성 유체의 조성방정식(constitutive equation)에는 전단변형률에 비례하는 항 외에 이차 점성계수 λ와 체적팽창률이 곱해진 항이 추가된다. 그러나 최근의 아음속 유동 해석에서는 이 항의 크기가 미미할 뿐만 아니라 이차 점성계수 λ의 불확실성을 고려하여 흔히 λ를 영으로 가정한다 (Luo et al., 2016). 이러한 경우 운동량 보존식은 비압축성 유체의 경우와 동일하다.

uit+ujuixj=-1ρpxi+1ρxjμuixj+ujxi+gi(2) 

여기서 p는 압력이며, μ는 점성계수, gi는 중력가속도 벡터이다.

비압축성 및 압축성 영역을 구분하기 위해 CLSVOF법 (Kwakkela et al., 2013; Denner et al., 2018)을 연성시켜 매 순간 매질 경계면을 포착하였다. 매 순간 영역이 구분되면 비압축성 영역에서 유체의 밀도는 초기 밀도 ρ0로 고정되었으며 압축성 영역에서는 압력이 새로 계산될 때마다 밀도-압력 관계식을 이용하여 밀도를 추정하였다. 본 연구에서와 같이 압축성 유체의 밀도를 계산된 압력으로부터 추정하는 압력 기반 기법의 경우 Mach 수가 낮아 기체가 거의 비압축성에 가까운 거동을 할 때도 수치적 경직성에 따른 어려움을 전혀 초래하지 않는다. 본 연구에서는 기체의 밀도-압력 관계식으로 polytropic 과정을 가정하였다.

ρ=ρo, for incompressible fluid(3) 
ρ=ρrefppref1/n, for compressible fluid(4) 

여기서 ρrefpref는 각각 기체 기준 상태에서의 밀도와 압력이고 n은 polytropic 지수이다. n이 1인 경우 등온과정이며 n이 기체의 비열비 γ인 경우 기체의 압축 팽창이 등엔트로피 과정이 된다.

비압축성 및 압축성 영역에서의 압력은 하나의 압력 Poisson 방정식으로부터 계산되며 기체의 압축성 효과는 Poisson 방정식의 생성항에 포함된다. 압력장과 속도장의 연성을 위하여 fractional step 기법(Liu and Pletcher, 2007)이 적용되었다. 시간 단계 n에서의 속도 벡터 uin에서 중간 단계 속도 벡터 ui*를 운동량 보존식 (2)에서 압력 기울기 항을 제외하고 추정한다. 중간 단계 속도 벡터 ui*에 다음 시간 단계 n+1에서의 압력 기울기가 더해진 속도 벡터 uin+1가 질량 보존식 (1)을 만족하도록 요구하면 다음과 같이 시간 단계 n+1에서의 압력장 pn+1에 대한 Poisson 방정식이 유도된다.

ui*=uin+Δt-ujuixj+1ρxjμuixj+ujxi+gin(5) 
uin+1=ui*-Δt1ρpxin+1(6) 
uin+1xi=-1ρρt+uiρxin+1=ui*xi-Δtxi1ρpxin+1(7) 
xi1ρpxin+1==1Δtui*xi+1Δt1ρρt+uiρxin+1(8) 

여기서 밀도의 전미분이 압축성 영역에서 영이 아니기 때문에 식 (8)의 마지막 항은 압력이 새로 계산될 때마다 갱신되어야 한다. 이 과정에서 밀도와 압력의 관계식을 이용하여 압력에 대한 미분항으로 대체할 수 있고 이 항을 이항시키면 압력 Poisson 방정식 대각 요소의 절대치가 증가하여 압축성의 영향이 압력장 수렴을 촉진시킨다 (Shin, 2020).

격자 조밀도가 조절된 Cartesian 배후 격자계를 이용하여 지배 방정식을 이산화하였다. 대류항 계산에는 5차의 WENO 기법 (Wang et al., 2018; Zhu and Qiu, 2016)을 적용하였다. 큰 밀도차로 인해 매질 경계면에서 발생하기 쉬운 비물리적인 압력 진동을 억제하기 위해 Shin (2020)에서 제안된 밀도의 역수를 가중치로 하는 요소 평균 밀도를 사용하였다. 시간 전진에서 계산의 안정성을 보장하기 위해 매 시간 단계마다 국소 Courant 수의 최대치가 일정한 값이 되도록 시간 간격 Δt가 조절되었다. 이러한 방법은 본 연구에서와 같이 기체의 압축성으로 인해 빠른 유동장 변화가 발생하는 시간 동안 요구되는 대단히 작은 시간 단계에 대한 요구를 만족시키기에 적합하다.

움직이는 조파기와 같이 유동 영역의 변형을 초래하는 물체 경계의 시간에 따른 위치와 속도를 고려하기 위해 HCIB 법 (Gilmanov and Sotiropoulos, 2005; Shin, et al., 2009; Shin, 2021)이 적용되었다. HCIB 법에서는 물체 경계면에 분포된 Lagrangian 절점들의 시간에 따른 위치와 속도 벡터들이 경계조건으로 주어진다. 매 시간 단계마다 배후격자계의 선분들 중에서 물체 표면과 접촉하는 선분들을 찾고 그 선분 양쪽의 두 절점 중 유동 영역 내부의 절점을 가상경계절점으로 분류한다. 이러한 분류 방법은 가상경계절점들의 집합이 닫힌 유동 영역의 경계를 보장한다는 중요한 장점을 제공한다 (Shin, et al., 2007). 가상경계절점마다 그 점을 통과하면서 물체 표면과 수직으로 만나는 국부 법선을 부여한다. 국부 법선의 물체 표면에서의 속도는 교점 주위 Lagrangian 절점에서 그 순간 주어진 속도들을 보간하여 추정한다. 국부 법선을 유동 영역으로 연장하여 유동 영역 내부의 면과 만나는 점을 찾는다. 국부 법선의 유동 영역 내부 교점에서의 속도는 주위 절점에서 계산되는 속도를 보간하여 추정한다. 국부 법선 양쪽에서의 속도가 추정되면 국부 법선을 따른 속도 변화와 물체 표면에서 가상경계절점까지의 거리를 이용하여 가상경계절점 에서의 속도를 재구성한다. 가상경계절점들에서 재구성된 속도들은 이산화된 유동 해석 문제의 경계 조건을 제공한다.


3. 잠긴 구조물 위를 통과하는 고립파 주위 유동 해석

조파기에 의한 파 생성 및 진행하는 파와 구조물의 상호 작용에 대한 통합보존식 해석 코드의 추가 검증 예로서 잠긴 사각 구조물 위를 통과하는 고립파 주위 유동장을 해석하고 구조물 후면에서 계산된 속도 벡터의 시간 변화를 보고된 실험 및 다른 계산 결과들과 비교하였다. Fig. 1은 이 문제에 대한 개략도를 보여준다. Zhuang and Lee (1996)Chang et al. (2001)은 이 문제에 대해 실험 결과를 보고하였으며, Ji et al. (2017)은 Constrained Interpolation Profile (CIP) 기법을 사용한 계산 결과를 보고하였고, Han and Dong (2020)은 입자법을 사용한 계산 결과를 보고하였다.

Fig. 1

Schematic of solitary wave passing a submerged rectangular obstacle

수심 h는 0.228 m이고 파고 H가 0.069 m인 고립파가 수조 좌측에 설치된 피스톤 형태의 조파기에 의해 생성된다. Goring (1979)Shin et al. (2014)에서 제안된 방법에 따라 시간에 따른 조파기의 변위는 다음과 같이 주어졌다.

Xp=Hkhtanh kcτ-xp(9) 
k=3H/4h3(10) 
c=gH+h(11) 

여기서 Xp는 시간 τ에서 조파기의 변위이고 조파기의 전체 변위는 2H/kh이다. Goring (1979)이 제안한 바와 같이 조파기의 운동 지속 시간은 2/kc(3.8+H/h)로 제한하였다. 수조 바닥에 설치된 구조물의 길이와 높이는 각각 0.381 m, 0.114 m이다. 구조물 후면에서 0.034 m 후방으로 떨어진 위치에 두 개의 속도 계측기 P1, P2가 설치되었으며, 속도 계측점의 바닥에서의 높이는 각각 0.04 m, 0.0572 m이다.

좌표계의 원점은 바닥 구조물의 전면 상부에 교란이 없는 자유표 면에 위치한다. 수평 방향의 계산 영역은 Chang et al. (2001)과 유사하게 -15 m < x < 15 m로 주어졌으며 수직 방향으로는 -0.228 m < y < 2.5 m로 주어졌다. 계산 영역의 우측에서는 파의 반사를 억제하기 위해 격자 간격을 조절하고 종속변수 변화량을 감쇠시켰다. 중력가속도 g는 9.81 m/s2으로 주어졌고 물과 공기의 초기 밀도는 각각 1000, 1.2 kg/m3으로 주어졌다. 공기의 기준 압력 pref는 1×105 Pa로 주어졌다. 물의 밀도는 고정되었으며 공기의 밀도는 계산되는 압력으로부터 비열비 γ가 1.4인 등엔트로피 과정을 가정하여 계산 되었다. 물과 공기의 동점성계수 ν는 각각 1×106, 1.5×105 m2/s으로 주어졌다. 바닥 구조물 및 자유표면 주위에 조밀한 격자가 유지되도록 격자 간격을 조절하였으며 계산 영역 내부에 3000×300개의 절점들이 분포되었다. 시간 간격은 전체 계산 영역 내에서 국부 Courant 수의 최대값이 항상 0.5로 유지되도록 매 시간 단계마다 조절되었다.

Fig. 2는 고립파가 바닥 구조물을 통과하는 동안 정수압을 제외한 압력 분포, 즉 p+ρgy의 시간 변화를 보여준다. 그림에서 Δt는 고립파의 정점이 바닥 구조물의 중앙을 통과하는 시점을 기준으로 계산된 시간을 의미한다. 고립파와 구조물의 상호작용이 시작되기 전인 Δt = -0.8 s에서는 전파하는 고립파 주위의 전형적인 압력 분포가 형성되어 있음을 관찰할 수 있다. 고립파의 정점이 구조물 상단 근처에 도착한 Δt = -0.2 s에서는 고립파에 의해 유기되는 속도장이 구조물 전면 상단 모서리에서 박리를 유발하면서 와류의 중심에 국부적인 낮은 압력이 발생함을 관찰할 수 있다. 고립파가 계속 우측으로 진행함에 따라 Δt = 0 s에서는 구조물 후면 상단 모서리에서도 박리가 유발되어 국부적으로 낮은 압력이 발생함을 관찰할 수 있다. 고립파가 구조물 후면을 통과한 후인 Δt = 0.2 s 및 0.4 s에서는 고립파의 정점 주위에서 전형적인 고립파의 압력 분포를 서서히 회복해 가지만 구조물을 통과하면서 발생한 와류에 의한 낮은 압력은 계속 지속되고 있음을 관찰할 수 있다.

Fig. 2

Time variation of pressure fields around a submerged obstacle

Fig. 3은 고립파가 바닥 구조물 주위를 지나가는 동안 속도 계측점 P1, P2 주위의 속도 벡터 분포를 보여준다. 그림에서 속도 벡터는 수평 및 수직 방향으로 2번째 요소들마다 도시되었다. Δt = -0.8 s에서는 고립파의 진행 방향으로 유기되는 양의 수평속도 영향으로 인하여 구조물 상단을 통과하여 아래로 확산되는 방향, 즉 양의 수평속도와 음의 수직속도가 약하게 형성되고 있음을 관찰할 수 있다. Δt = -0.2 s에서는 고립파의 중심이 가까워지면서 구조물 상단을 통과하여 아래로 확산되는 유동이 강해지면서 구조물 후면 상단 모서리에 앞서 설명한 와류가 박리되고 있음을 관찰할 수 있다. 그러나 이 시점에서도 속도 계측점에서는 양의 수평속도와 음의 수직속도가 유지된다. Δt = 0.4 s에서는 박리된 와류가 강해지면서 속도 계측점에서 이전과 반대 방향, 즉 음의 수평속도와 양의 수직속도가 강하게 발생함을 관찰할 수 있다.

Fig. 3

Snap shots of velocity vector distribution around a submerged obstacle

Fig. 4에서는 두 속도 계측점 P1, P2에서 계산된 수평 및 수직 속도 성분의 시간 변화가 보고된 실험 및 다른 계산 결과들과 비교되었다. 시간은 t(g/h)1/2로 무차원화하였으며 속도 성분은 u/(gh)1/2v/(gh)1/2로 무차원화하였다. 그림에서 본 계산 결과는 적색 실선으로 표시하였으며 흑색 원은 Zhuang and Lee (1996)의 실험 결과이며 청색 점선은 Han and Dong (2020)에 의해 실험 결과와 좋은 일치를 보인다고 평가된 Ji et al. (2017)의 CIP에 의한 계산 결과이며 녹색 이점 쇄선은 포텐셜 유동 해석 결과이다. 그림으로부터 포텐셜 유동 해석의 경우에는 초기의 경향, 즉 양의 수평속도와 음의 수직속도라는 경향만 다른 결과들과 일치하나 그 이후에는 전혀 반대의 결과를 예측함을 관찰할 수 있다. 그 이유는 앞서 설명한 속도 벡터의 시간 변화에서 설명된다. 점성이 고려되는 본 계산에서도 고립파가 구조물에 접근하는 초기에는 구조물 상단을 통과하여 아래로 확산하는 유동이 발생하기 때문에 약하게 양의 수평속도와 음의 수직속도 성분이 예측된다. 그러나 고립파가 통과하면서 구조물 후면 상단 모서리에서 박리되는 시계방향 와류가 속도 계측점 주위의 속도장을 지배하기 때문에 초기의 짧은 시간 이후에는 음의 수평속도와 양의 수직속도가 강하게 나타나며 이러한 와류 발생은 포텐셜 유동에서 고려하지 못한다. 즉 그림에서 나타나는 수평 및 수직 속도의 시간 변화는 구조물 후면 상단에서 박리되는 와류의 시간에 따른 중심 이동과 와류 강도 변화에 의해 지배된다. 본 계산 결과는 진행하는 고립파에 의해 유기되는 속도장에 의한 구조물 주위의 와류 박리 및 와류 중심 위치의 이동이나 와류 강도 변화 등을 제대로 예측하고 있음을 보여준다.

Fig. 4

Comparison of time histories of horizontal and vertical velocity components at P1 and P2


4. 고립파와 수직 벽면 충돌 과정에서 갇힌 공기에 의한 압력 진동 해석

고립파와 잠긴 구조물의 상호 작용에 대해 추가 검증된 통합보존식 해석 코드를 이용하여 고립파가 경사면으로 전파되어 수직 벽면과 충돌하는 과정에서 가두어진 공기의 압축 팽창에 의한 벽면 압력 진동이 해석되었다. Fig. 5는 이 문제에 대한 개략도를 보여준다. Wu et al. (2022)은 유사한 문제에 대해 고립파가 바닥 경사면의 영향으로 쇄파되는 경우에 대한 실험 및 해석 결과를 보고하였다.

Fig. 5

Schematic of a solitary wave on a slope

전절과 유사하게 왼쪽 벽면에 설치된 피스톤 형태의 조파기에 의해 고립파가 생성되어 우측으로 일정 거리 전파된 후 바닥 기울기가 m : 1인 경사면으로 전파된다. 좌표계의 원점은 바닥 경사가 시작되는 점에 위치하며 원점으로부터 수평거리 Lw 떨어진 지점에 수직 벽면이 위치한다. 경사면 이전에서의 수심은 h이고 고립파 파고는 H이다. 고립파 생성을 위한 조파기 운동은 전절과 동일하게 Goring (1979)Shin et al. (2014)에서 제안된 방법이 적용되었으며 계산에 필요한 수치적 인자들은 전절과 유사하게 주어졌다.

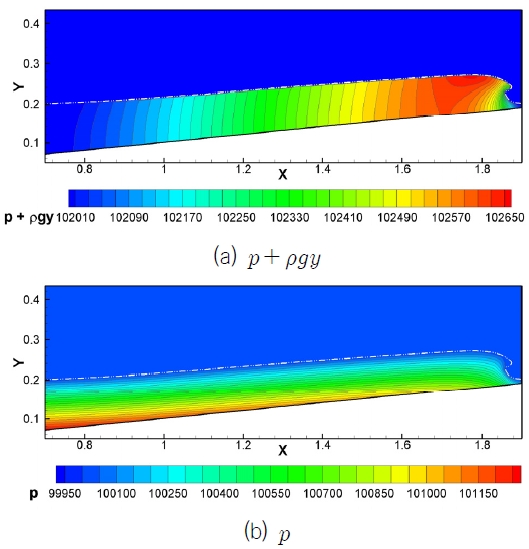
Fig. 6은 바닥 경사면 기울기 m : 1 = 10:1, Lw = 1.9 m, h = 0.2 m, H = 0.06 m인 경우에 대해 움직이는 피스톤에 의해 생성된 고립파가 경사면쪽으로 이동하는 중인 Δt = -1.7 s에서 파정 주위 압력 및 유선을 보여준다. 첫 번째 그림은 압력을 그대로 도시한 그림이며 두 번째 그림은 계산된 압력에서 정수압 성분인 - ρgy를 제거한 그림이다. 세 번째 그림은 정수압을 제거한 압력 분포와 식 (12)로 계산된 이론적 고립파의 파고 η를 비교하였다. 그림에서 정수압을 제거한 압력의 불연속이 발생하는 경계 즉 계산된 자유표면과 이론적 고립파의 파형이 좋은 일치를 보임을 관찰할 수 있다. 마지막 그림은 파정 주위의 순간 유선(instantaneous streamlines)을 보여준다. 파정 위 공기 영역에 중심을 둔 큰 와류 형태의 속도 분포임을 관찰할 수 있다.

ηx,t=Hsech23H4h3x-ct(12) 
Fig. 6

Free surface elevation, pressure distribution, and instantaneous streamlines around a solitary wave

Fig. 7은 정수압을 제거한 압력 분포의 시간 변화를 보여준다. 움직이는 피스톤에 의해 고립파가 생성되어 우측으로 전파되는 동안인 Δt = -1.7 s 이전까지는 전형적인 고립파 주위의 압력 분포가 형성되어 있음을 관찰할 수 있으며 이후 경사면을 따라 전파되는 과정에서 파정에서의 유체의 속도가 빨라지면서 파 전방의 표면 기울기가 가파르게 변하여 쇄파에 가까워짐을 관찰할 수 있다.

Fig. 7

Time variation of pressure fields around a solitary wave on a slope

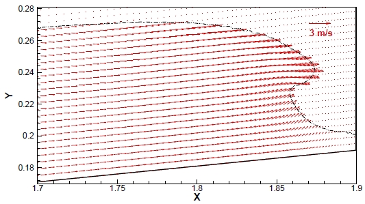
Fig. 8-10은 파가 수직 벽면과 충돌하기 직전인 Δt = -0.017 s에서 압력 및 속도 분포를 보여준다. 속도 분포의 경우 빠른 변화가 발생하는 공기 영역 영향을 제외하기 위해 요소 평균 밀도와 속도 벡터의 곱을 물의 밀도로 나눈 값을 도시하였다. 파정 주위의 속도 분포로부터 파정에서 물의 수평 속도가 인접 영역의 물의 속도보다 커서 수면이 점점 돌출되어가는 과정임을 관찰할 수 있다.

Fig. 8

Free surface and pressure distributions around a breaking solitary wave

Fig. 9

Free surface and velocity components distributions around a breaking solitary wave

Fig. 10

Velocity vector distribution around a breaking solitary wave

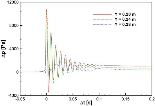
Fig. 11은 X = 1.9 m에서 Y = 0.2, 0.24, 0.28 m에서 계산된 압력의 시간 변화를 보여준다. 벽면 압력 진동에서 위상의 경우에는 물에서는 음속이 이론상 무한대이고 공기 중에서도 340 m/s이므로 거리에 따른 압력 전파 소요 시간은 무시할만하기 때문에 갇힌 공기의 압축 팽창에 따라 위상차 없이 동일한 위상의 압력의 시간 변화가 발생한다. Fig. 12에서 확인되듯이, 공기의 작은 밀도로 인해 갇힌 공기 내부에서 압력의 공간상 변화는 무시할만하나 물에서는 큰 압력 기울기가 발생하기 때문에 계측점에 물이 접촉하면 위치에 따라 압력의 차이가 크게 발생한다. Y = 0.28 m의 경우, 내부에 갇힌 공기의 압축 팽창에도 불구하고 외부 공기의 압력은 기준 압력이 유지되다가 충돌한 물이 올라오면서 압력이 증가하고 이후 압축 팽창하는 공기의 영향이 반영됨을 관찰할 수 있다.

Fig. 11

Time histories of calculated pressure at X = 1.9 m; Y = 0.20, 0.24, and 0.28 m

Fig. 12

Snap shots of pressure distributions around a pulsating entrapped air pocket

Fig. 12는 고립파가 벽면과 충돌하면서 갇힌 공기가 압축 및 팽창하는 동안 0.001 s 간격으로 갇힌 공기 주위 압력장을 보여준다. 각각의 시간마다 그림의 좌측 상단에 X = 1.9 m, Y = 0.20 m에서 계산된 압력의 시간 변화에서 해당하는 시점이 표시되었다. 앞서 Δt = -0.017 s에서 설명된 바와 같이 파정 주위의 유체 속도가 커서 돌출되기 시작한 수면은 벽면과 충돌하며 그 아래에 빠져나가지 못한 공기를 가둔다. Δt = 0 s에서는 가두어진 공기가 압축되면서 대단히 높은 벽면 압력이 발생한다. 가두어진 공기 내부의 압력은 시간에 따라서는 급격한 변화가 발생하지만 매 순간 공기 내부의 공간상 압력 기울기는 항상 미미함을 확인할 수 있다. 그러나 물에서는 공간상의 큰 압력 기울기가 발생하여 파면 위에서는 바로 기준 압력이 회복됨을 관찰할 수 있다. 압력의 첫 번째 최대치가 발생한 Δt = 0 s 이후 가두어진 공기의 압력은 빠르게 낮아져 Δt = 0.004 s 경 압력의 첫 번째 최소값이 발생함을 관찰할 수 있다. 이후 가두어진 공기는 다시 압축되기 시작한다.


5. 수직 벽면 위치에 따른 벽면 압력 진동 특성

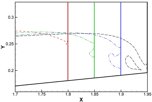
수직 벽면에 충돌하는 시점에서 고립파의 쇄파 진행 정도에 따른 충격 압력의 변화를 검토하기 위해 다른 조건은 동일하게 유지하면서 수직 벽면의 위치만 다양하게 변화시킨 결과들을 비교하였다. Fig. 13Lw이 각각 1.8, 1.85, 1.9, 1.95 m인 경우 첫 번째 압력 최대치가발생하는 시점에서의 자유표면 형상을 보여준다. Lw가 1.85 및 1.9 m인 경우에는 파의 정점에서 돌출된 유체가 벽에 충돌하면서 공기를 가두게 된다. Lw가 1.8 m인 경우에는 정점에서의 돌출이 진행되기 전에 수직 벽에 충돌하며, Lw가 1.95 m인 경우 정점에서 돌출된 유체가 낙하하여 아래쪽 유체와 충돌한 후 수직 벽에 부딪힌다.

Fig. 13

Variations in free surfaces around the vertical wall according to the location of the vertical wall

Fig. 14는 이 네가지 경우에 대해 첫 번째 압력 최대치가 발생하는 순간 압력 분포를 보여준다. 수직 벽면 위치에 따라 충격 압력의 최대치는 민감하게 변함을 관찰할 수 있다. 갇힌 공기의 압축에 의한 압력 최대치가 발생한 Lw = 1.85, 1.9 m의 경우에는 공기 영역에서 압력이 일정한 영역이 존재하지만 Lw = 1.8, 1.95 m의 경우에는 벽면에서의 압력이 연속적으로 변화한다. 이러한 차이는 Y = 0.20, 0.22, 0.24, 0.26 m에서 계산된 압력의 시간 변화를 보여주는 Fig. 15에서도 관찰할 수 있다. Lw가 1.85 m인 경우는 1.9 m인 경우에 비해 정점에서 유체의 돌출이 적어서 갇힌 공기의 부피가 작으며 이에 따라 Fig. 15에서 보이듯이 압력 진동의 주기가 짧아진다. 갇힌 공기의 부피와 압력 진동의 주기는 Bagnold 충격수(impact number)에 의해서도 설명될 수 있다 (Shin, 2023). 갇힌 공기의 부피 증가는 동일한 자유표면 변위에 대해 밀도 변화의 감소를 초래하고 이는 압력 변화량도 감소시킴으로써 스프링의 강성이 약한 경우에 해당한다. 질량의 경우 공기의 질량에 비해 주위 물의 부가질량이 지배적인 영향을 주기 때문에 외부 자유표면이 유사하면 부가질량의 차이는 무시할만하다. 즉 갇힌 공기의 부피가 증가하면 질량-스프링계에서 질량은 유사하나 스프링의 강성이 감소한 경우에 해당되며, 따라서 압력 진동 주기는 길어진다.

Fig. 14

Free surfaces and pressure distributions around the vertical wall

Fig. 15

Comparisons of tme histories of pressure according to the location of the vertical wall

Fig. 16의 윗 그림에서는 압력 변화량이 가장 큰 Y = 0.24 m에서 계산된 압력의 시간 변화를 Lw가 1.8, 1.85, 1.9, 1.95 m 인 경우들에 대해 비교하였다. Lw가 1.85 m보다 큰 경우 갇힌 공기의 부피가 증가하면서 압력 진동 주기는 길어지며 압력 진동의 최대치는 낮아진다. 그리고 Lw가 1.95 m인 경우 수직 벽에 부딪히기 전에 쇄파가 완료되어 충돌 압력도 낮아지고 벽면 압력 진동도 거의 없다. Lw가 1.8 m의 경우 파가 충분히 가팔라지기 전에 수직 벽면에 충돌함으로써 충격 압력도 낮고 압력 진동도 발생하지 않는다. Fig. 16의 아래 그림은 Lw를 1.81, 1.82, 1.83, 1.84 m로 변화시킨 경우 Y = 0.24 m에서 계산된 압력의 시간 변화를 보여준다. Lw가 1.82 m보다 작은 경우에는 압력 진동 없이 Lw가 커질수록 최대 압력이 커진다. Lw가 1.83 m 보다 큰 경우에는 압력 진동이 발생하고 Lw가 커질수록 압력 진동 진폭이 작아지고 진동 주기는 길어진다. 이러한 압력 최대치의 변화 경향은 국부 압력의 최대치가 갇힌 공기의 부피가 극히 미소할 때 발생함을 시사하며, 이는 Shen et al. (2024)이 2차원 사각 수조 내 슬로싱 유동 실험을 통해 최대 압력치가 발생하는 조건에 대해 보고한 결과와 일치한다. 이러한 결과들은 충격 압력이 최대치에 가까운 경우 갇힌 공기의 부피가 워낙 작아서 압력 진동 주기가 대단히 짧고 감쇠가 빠르게 일어날 것임을 의미한다.

Fig. 16

Variarion of time histories of pressure at Y = 0.24 m according to the location of the vertical wall


6. 결 론

비압축성 및 압축성 통합보존식 해석 코드가 해양파와 구조물의 상호작용 해석을 위해 확장되었다. 확장된 통합보존식 해석 코드를 이용하여 조파기에 의해 전파하는 고립파를 생성하고 해양 구조물과의 상호 작용 과정 중에 발생하는 경계층 박리 및 와류 이동을 해석하였다. 고립파 전파에 따라 구조물 후면에서 발생하는 이동하는 와류의 영향을 강하게 받는 속도 계측점에서의 속도 성분들의 시간 변화가 보고된 Zhuang and Lee (1996)의 실험 결과와 비교하여 좋은 일치를 보임을 확인하였다.

전파하는 파와 해양 구조물의 상호 작용에 대해 추가 검증된 통합보존식 해석 코드를 이용하여 경사면으로 진행하는 고립파가 쇄파되면서 수직 벽면에 충돌하는 과정에서 갇힌 공기의 압축 팽창에 의한 벽면 압력 진동이 해석되었다. 갇힌 공기 내부의 공간상의 압력 구배는 항상 미미하나 주위 물에서의 압력 기울기는 대단히 크기 때문에 압력 계측점의 위치가 압력 진동의 진폭에 큰 영향을 미침을 확인하였다. 그러나 압력 진동의 주기와 위상은 압축 팽창하는 공기 내부나 주위 물의 영역에서도 모두 동일함을 확인하였다.

수직 벽의 위치를 조절하여 파와 수직 벽면 충돌 시점에서 쇄파 진행 정도가 충격 압력에 미치는 영향이 검토되었다. 파면의 기울기가 수직에 가까운 시점에 벽에 충돌할수록, 즉 파면이 돌출되어 공기를 가두기 시작하기 직전에 충격 압력의 최대치가 발생하며 수직 벽 위치의 작은 변화에도 압력 진동 진폭의 큰 변화가 초래됨을 관찰하였다. 압력 진동 진폭의 최대치가 발생한 이후에는 갇힌 공기의 부피가 커짐에 따라 압력 진동 주기는 길어지고 감쇠에 긴 시간이 소요됨을 확인하였다.

경사면으로 진행하는 고립파와 수직 벽면 충돌 과정에서 갇힌 공기의 압축 팽창 문제는 갇힌 공기의 부피 변화나 유입 속도 등의 조절이 용이하고 명확하기 때문에 향후 갇힌 공기에 의한 압력 진동에 대한 물리적 특성 해석에 유용한 수단으로 활용될 수 있으리라 기대한다.

Acknowledgments

이 논문은 국립부경대학교 자율창의학술연구비(2025년)에 의하여 연구되었음.

References

  • Abrahamsen, B.C. and Faltinsen, O.M., 2011. The effect of air leakage and heat exchange on the decay of entrapped air pocket slamming oscillations. Physics of Fluids, 23(10), pp.1-17. [https://doi.org/10.1063/1.3638612]
  • Chang, K.A., Hsu, T.J. and Lui, P.L.F., 2001. Vortex generation and evolution in water waves propagating over a submerged rectangular obstacle: part 1. Solitary waves. Coastal Engineering, 44, pp.13–36. [https://doi.org/10.1016/S0378-3839(01)00019-9]
  • Croquer, S., Diaz-Carrasco, P., Tamimi, V., Poncet, S., Lacey, J. and Nistor, I., 2023. Modelling wave–structure interactions including air compressibility: A case study of breaking wave impacts on a vertical wall along the Saint-Lawrence Bay. Ocean Engineering, 273, 113971. [https://doi.org/10.1016/j.oceaneng.2023.113971]
  • Denner, F., Xiao, C.N. and Wachem, B.G.M., 2018. Pressure-based algorithm for compressible interfacial flows with acoustically-conservative interface discretization. Journal of Computational Physics, 367, pp.192-234. [https://doi.org/10.1016/j.jcp.2018.04.028]
  • Gilmanov, A. and Sotiropoulos, F., 2005. A hybrid Cartesian/immersed boundary method for simulating flows with 3D, geometrically complex, moving bodies. Journal of Computational Physics, 207(2), pp.457–492. [https://doi.org/10.1016/j.jcp.2005.01.020]
  • Goring, D.G., 1979. Tsunamis-the propagation of long waves on to shelf. Ph.D. Pasadena: California Institute of Technology.
  • Han, X. and Dong, S., 2020. Interaction of solitary wave with submerged breakwater by smoothed particle hydrodynamics. Ocean Engineering, 216, 108108. [https://doi.org/10.1016/j.oceaneng.2020.108108]
  • Ji, Q.L., Dong, S., Luo, X. and Soares, C.G., 2017. Wave transformation over submerged breakwaters by the constrained interpolation profile method. Ocean Engineering, 136, pp.294–303. [https://doi.org/10.1016/j.oceaneng.2017.03.037]
  • Kwakkela, M., Breugema, W.P. and Boersma, B.J., 2013. Extension of a CLSVOF method for droplet-laden flows with a coalescence/breakup model. Journal of Computational Physics, 253, pp.166-188. [https://doi.org/10.1016/j.jcp.2013.07.005]
  • Liu, K. and Pletcher, R.H., 2007. A fractional step method for solving the compressible Navier-Stokes equations. Journal of Computational Physics, 226(2), pp.1930-1951. [https://doi.org/10.1016/j.jcp.2007.06.026]
  • Lugni, C., Brocchini, M. and Faltinsen, O.M., 2010. Evolution of the air cavity during a depressurized wave impact. II. The dynamic field. Physics of Fluids, 22, 056102. [https://doi.org/10.1063/1.3409491]
  • Luo, M., Koh, C.G., Bai, W. and Gao, M., 2016. A particle method for two-phase flows with compressible air pocket. International Journal for Numerical Methods in Engineering, 108(7), pp.695-721. [https://doi.org/10.1002/nme.5230]
  • Shen, L., Wei, Z., Ji, S. and Ivanov, D., 2024. Experimental investigation of the flip-through impact: The generation mechanism and statistical characteristics. Ocean Engineering, 294, 116690. [https://doi.org/10.1016/j.oceaneng.2024.116690]
  • Shin, S., 2019. Variation in air cushion effects caused by isentropic and isothermal processes of entrapped air in incompressible free surface flows. Journal of Computational Fluids Engineering, 24(3), pp.76-83. [https://doi.org/10.6112/kscfe.2019.24.3.076]
  • Shin, S., 2020. Simulation of compressibility of entrapped air in an incompressible free surface flow using a pressure-based method for unified equations. International Journal for Numerical Methods in Fluids, 92(10), pp.1274-1289. [https://doi.org/10.1002/fld.4827]
  • Shin, S., 2021. Simulation of a pulsating air pocket in a sloshing tank using unified conservation laws and HCIB method. Journal of the Society of Naval Architects of Korea, 58(5), pp.193-201. [https://doi.org/10.3744/SNAK.2021.58.5.271]
  • Shin, S., 2023. Similarity analysis of scale ratio effects on pulsating air pockets based on Bagnold’s Impact Number. Journal of the Society of Naval Architects of Korea, 60(3), pp.271-280. [https://doi.org/10.3744/SNAK.2023.60.3.193]
  • Shin, S., Kim, I.C. and Kim, Y.G., 2014. Effects of Body Motion on Wave Force Acting on an Elastically Mounted Cylinder. Journal of Society of Naval Architects of Korea, 51(4), pp.265-273. [https://doi.org/10.3744/SNAK.2014.51.4.265]
  • Shin, S., Bae, S.Y., Kim, I.C. and Kim, Y.J., 2009. Effects of flexibility on propulsive force acting on a heaving foil. Ocean Engineering, 36, pp.285-294. [https://doi.org/10.1016/j.oceaneng.2008.12.002]
  • Shin, S., Bae, S.Y., Kim, I.C., Kim, Y.J. and Goo, J.S., 2007. Computations of flow over a flexible plate using the hybrid Cartesian/immersed boundary method. International Journal for Numerical Methods in Fluids, 55(3), pp.263–282. [https://doi.org/10.1002/fld.1459]
  • Talioua, A., Berkane, B., Martin, M.B., Perret, G. and Pinon, G., 2022. Flat plate pressure impact on a still water surface: The effect of surrounding ambient pressure and plate size. Ocean Engineering, 263, 111926. [https://doi.org/10.1016/j.oceaneng.2022.111926]
  • Wang, B.S., Li, P., Gao, Z. and Don, W.S., 2018. An improved fifth order alternative WENO-Z finite difference scheme for hyperbolic conservation laws. Journal of Computational Physics, 374, pp.469-477. [https://doi.org/10.1016/j.jcp.2018.07.052]
  • Wu, Y.T., Huang, K.W. and Kobayashi, N., 2022. Runup of breaking solitary waves on rough uniform slopes. Ocean Engineering, 245, 110551. [https://doi.org/10.1016/j.oceaneng.2022.110551]
  • Zhou, T., Ma, Z., Chen, J. and Zhai, G., 2024. Multiscale air entrainment in wave-in-deck loads. Coastal Engineering, 188, 104431. [https://doi.org/10.1016/j.coastaleng.2023.104431]
  • Zhu, J. and Qiu, J., 2016. A new fifth order finite difference WENO scheme for solving hyperbolic conservation laws. Journal of Computational Physics, 318, pp.110-121. [https://doi.org/10.1016/j.jcp.2016.05.010]
  • Zhuang, F. and Lee, J.J., 1996. A viscous rotational model for wave overtopping over marine structure. Proceedings of the 25th International Conference on Coastal Engineering, ASCE, Orlando, Florida, 2178–2191. [https://doi.org/10.1061/9780784402429.169]
신 상 묵

Fig. 1

Fig. 1
Schematic of solitary wave passing a submerged rectangular obstacle

Fig. 2

Fig. 2
Time variation of pressure fields around a submerged obstacle

Fig. 3

Fig. 3
Snap shots of velocity vector distribution around a submerged obstacle

Fig. 4

Fig. 4
Comparison of time histories of horizontal and vertical velocity components at P1 and P2

Fig. 5

Fig. 5
Schematic of a solitary wave on a slope

Fig. 6

Fig. 6
Free surface elevation, pressure distribution, and instantaneous streamlines around a solitary wave

Fig. 7

Fig. 7
Time variation of pressure fields around a solitary wave on a slope

Fig. 8

Fig. 8
Free surface and pressure distributions around a breaking solitary wave

Fig. 9

Fig. 9
Free surface and velocity components distributions around a breaking solitary wave

Fig. 10

Fig. 10
Velocity vector distribution around a breaking solitary wave

Fig. 11

Fig. 11
Time histories of calculated pressure at X = 1.9 m; Y = 0.20, 0.24, and 0.28 m

Fig. 12

Fig. 12
Snap shots of pressure distributions around a pulsating entrapped air pocket

Fig. 13

Fig. 13
Variations in free surfaces around the vertical wall according to the location of the vertical wall

Fig. 14

Fig. 14
Free surfaces and pressure distributions around the vertical wall

Fig. 15

Fig. 15
Comparisons of tme histories of pressure according to the location of the vertical wall

Fig. 16

Fig. 16
Variarion of time histories of pressure at Y = 0.24 m according to the location of the vertical wall