
CFD를 이용한 원환체 프로펠러 단독성능 수치해석 연구
This is an Open-Access article distributed under the terms of the Creative Commons Attribution Non-Commercial License(http://creativecommons.org/licenses/by-nc/3.0) which permits unrestricted non-commercial use, distribution, and reproduction in any medium, provided the original work is properly cited.
Abstract
This study investigates the open-water performance of a toroidal propeller proposed by Ye et al. (2024) through model tests and Reynolds-averaged Navier–Stokes (RANS) simulations. Changes in propeller performance in response to variations in major design variables—including pitch angle, wheelbase length, vertical angle, and lateral angle—were analyzed. The performance trend with respect to changes in the pitch angle was found to be similar to that of a conventional propeller. Similar to the pitch angle, the vertical angle, which determines the blade's incidence angle, increased thrust and torque as it increased, while propeller efficiency decreased. An increase in the wheelbase length, which governs the interference between the front and rear blades, improved propeller efficiency. Likewise, increasing the lateral angle, which affects lateral interference between the front and rear blades when viewed from the front, decreased torque and enhanced efficiency. Overall, the toroidal propeller was found to generate higher thrust than a conventional propeller but exhibited excessive torque and lower efficiency. These results indicate that further design optimization is necessary to improve the applicability of the toroidal propeller for marine propulsion systems.
Keywords:
Toroidal propeller, Propeller open water performance(POW), Computational Fluid Dynamics(CFD), RANS method키워드:
원환체 프로펠러, 프로펠러 단독성능, 전산유체역학, RANS법1. 서 론
해상 운송에 필수적인 역할을 수행하는 선박의 탄소 배출과 소음을 포함한 환경 문제 해결에 관한 인식이 증가하고 있다. IMO는 선박 에너지 효율성, 배출가스에 대한 규제를 시행하고 있으며, 향후 소음에 대한 규제도 시행할 예정이다. 이러한 상황에서 선박의 프로펠러는 유동 소음 발생의 주요 원인으로 소음, 에너지, 배출가스 저감을 위해 고효율, 저소음 추진시스템을 도입해야 하고, 기존 프로펠러 설계를 기반으로 하는 성능 개선 또는 새로운 개념의 추진기 개발 연구들이 수행되고 있다.
추진기 소음과 침식 성능에 관련된 유동 현상인 캐비테이션 제어는 오랜 염원적인 기술 분야이다. 특히, 함정의 캐비테이션 초생 속도 성능은 프로펠러 날개 끝 캐비테이션 현상과 긴밀하게 연결되어 있다. 최근 선박에 적용된 사례는 거의 없지만, 기존 프로펠러 날개 끝에서 발생하는 캐비테이션을 억제할 수 있다고 알려진 새로운 개념의 추진기인 원환체 프로펠러(toroidal propeller)에 대한 연구 결과들이 조금씩 소개되고 있다 (Blain, 2023; Hannah, 2024; Ye et al., 2024; Xu et al., 2024). 원환체 프로펠러의 날개 끝은 앞쪽 날개와 뒤쪽 날개가 닫힌 루프 형태로 연결되어 있으며, 와류 생성을 크게 줄이고 날개 끝의 에너지 손실을 효과적으로 억제하여 추진 효율을 개선하는 것으로 소개되고 있다. 기존 프로펠러와 비교하여 날개 끝의 캐비테이션 발생으로 인한 소음을 많이 감소시킬 수 있는 것으로 기대된다. 원환체 프로펠러는 2018년 미국 Sharrow 업체에서 선박용으로 특허를 등록하였고 (Sharrow, 2018), 2020년 MIT에서 드론용 특허를 등록하였다 (Sebastian and Sterm, 2020). 선박용의 경우, 1978년의 표준선 프로펠러보다 9∼15% 효율 향상과 17% 토오크 감소를 보였다고 주장하고 있다.
본 논문에서는 Ye et al. (2024)이 소개한 원환체 프로펠러의 형상을 도출하고, 대상 프로펠러의 단독성능(Propeller Open Water performance, POW)을 분석한 결과를 소개한다. 먼저, 선박해양 플랜트연구소(KRISO) 예인수조(towing tank) 시험을 통해 대상 프로펠러의 단독성능 결과를 도출하였으며, 함께 수행한 RANS (Reynolds Averaged Navier-Stokes)법 기반의 수치해석 결과를 검증하였다. 이후, 수치해석 방법으로 형상 정의에 관련된 주요 설계 변수에 따른 대상 원환체 프로펠러의 단독성능 변화를 분석하였다.
2. 원환체 프로펠러의 정의
원환체 프로펠러는 일반 프로펠러와 같은 방법으로 정의할 수 있다. 프로펠러 정의의 중요한 골격이 되는 원환체 프로펠러 기준선(reference line)은 원통좌표계 (x, r, θ)를 이용해서 표현된다. 여기서, x축은 프로펠러 축 방향과 정렬되며, r은 반경 좌표이고 θ는 원주 방향을 나타낸다. 프로펠러의 기준선은 θ = 0인 평면 내에서 축 방향을 따라 반경의 변화를 통해 나타나는 곡선으로 정의되며, 아래 식 (1)로 나타낸다.
| (1) |
여기서 l은 원환체 프로펠러 허브(hub)에 접하는 앞쪽 날개 기준선 위치(x=0)에서 축 방향 임의의 길이이며, rl(l)은 축 길이 l에서의 반경을 나타내고, 날개 단면은 원환체 프로펠러의 기준선을 따라 배치된다. 원환체 프로펠러 형상은 일반 프로펠러와 같이 반경, 날개 단면의 코드 길이(chord length), 피치비(pitch ratio), 최대 두께(maximum thickness), 최대 캠버(maximum camber), 스큐(skew), 레이크(rake) 및 날개 단면의 종류 그리고 반경에 따른 날개 단면의 분포로 표현된다. 원환체 프로펠러 표현에 추가되는 변수는 축간거리(wheelbase length), 측각(lateral angle), 롤각(roll angle) 그리고 수직각(vertical angle)이 있으며, 이들을 변수로 하여 프로펠러 날개 압력면과 흡입면의 3차원 좌표를 계산하기 위한 식은 다음과 같이 정의된다 (Ye at al., 2024).
| (2) |
여기서 xT는 전체 레이크, b는 코드 길이, s는 날개 단면의 임의의 점에서 날개의 전연(leading edge)까지 코드 길이 방향의 거리, β는 피치각, yb와 yf는 각각 날개 단면의 뒷면과 앞면에 놓인 점들에서 날개 단면의 코-꼬리선(nose-tail line) 상으로 수직으로 내린 거리, ϕ는 측각, ψ는 롤각, α는 수직각이며 θs는 스큐이다. Fig. 1(a)에서 볼 수 있듯이, 원환체 프로펠러가 가지는 추가 변수들에서 축간거리(L)는 프로펠러 허브와 만나는 앞쪽 날개와 뒤쪽 날개의 기준선 사이 거리이다. Fig. 1(b)에 나타낸 측각은 원환체 프로펠러의 앞쪽 날개와 뒤쪽 날개 사이 원주 방향 거리를 늘리거나 줄이기 위한 각이다. 같은 그림에 표시한 수직각은 주어진 반경의 원주선에 접한 날개 단면의 중심점에 대한 코-꼬리선 방향의 기울기 각이다. 원주선 상에 접할 경우 수직각은 0°이다. 일반 프로펠러에서 피치비와 캠버가 날개의 입사각을 주로 결정하는 변수인데, 소개되는 원환체 프로펠러에서는 날개 단면의 수직각 변화 개념을 추가하여 입사각 변화의 자유도를 높인 것으로 추정된다. 롤각은 Fig. 1(c)에서 볼 수 있듯이, 날개 단면을 정면에서 봤을 때 단면의 횡 경사각을 나타낸다. 그림에서 두 가지 롤각의 분포 예에 따라 원환체 프로펠러 앞날개와 뒷날개를 잇는 환고리, 즉 날개 끝 부근의 날개 두께 분포가 변하는 것을 볼 수 있다. 이처럼 각 반경 위치에서 기준선을 따른 날개의 두께 분포를 개선하기 위해 단면의 횡 경사각인 롤각을 조정할 수 있으며, 회전축은 날개 단면의 코-꼬리선이 된다.
Fig. 2와 3은 Table 1의 Ye et al. (2024)이 제공한 설계 변수를 사용하여 생성한, 반경에 따른 원환체 프로펠러 날개 단면의 분포와 이를 이용하여 도출한 세 개의 날개를 가진 프로펠러의 3차원 형상을 각각 보여주고 있다. 여기서, 프로펠러 날개는 NACA66-mod 단면을 사용하였으며, 프로펠러 직경 D로 무차원화 한 축간거리, L/D = 0.2이다.
Fig. 4는 비슷한 형상의 기존 일반 프로펠러와의 단순한 비교를 위해 프로펠러 유동 특성 연구용으로 설계된 DTMB P4119와 본 논문의 대상 원환체 프로펠러 형상을 비교하고 있다. 주요 제원의 비교는 Table 2에 나타내었다. 비교를 위해 두 프로펠러 모두 동일한 직경(0.25m)과 허브비(0.2)로 형상을 생성하였으며, 0.7R(반경) 에서 스큐, 피치비, 레이크 그리고 전개 면적비를 비교하고 있다. 전개 면적비의 경우 대상 원환체 프로펠러가 0.535로 0.6의 P4119 보다 약간 작다. 참고로, Ye et al. (2024)의 원환체 프로펠러가 P4119를 기반으로 유체성능 비교를 위해 설계되었다는 정보는 명확하지 않다.
3. 프로펠러 단독성능 시험
프로펠러 단독성능 시험은 KRISO의 예인수조에서 수행되었다. 수조의 크기는 200m×16m×7m 이며, 프로펠러 단독성능 시험에 사용된 예인수조용 동력계의 용량은 Table 3에 나타내었다 (Ahn et al., 2019). 단독성능 시험을 위해 제작된 원환체 프로펠러 모형의 모습을 Fig. 5에 나타내었으며, 프로펠러가 설치된 동력계 장치와 예인수조 시험의 모습을 Fig. 6에서 볼 수 있다.
원환체 프로펠러의 단독성능은 다음의 전진비(advance ratio), 추력계수(thrust coefficient), 토오크계수(torque coefficient) 그리고 효율(efficiency)의 무차원 계수로 정리하였다.
| (3) |
| (4) |
| (5) |
| (6) |
여기서 J는 전진비, V는 프로펠러 전진 속도, n은 프로펠러 회전수, D는 프로펠러 직경, ρ는 물의 밀도, T와 Q는 프로펠러의 추력과 토오크, KT와 KQ는 각각 추력계수와 토오크계수를 나타내고, η는 프로펠러의 단독효율이다.
4. 프로펠러 단독성능 CFD 해석
원환체 프로펠러 단독성능에 대한 수치해석은 유한체적법(finite volume method) 기반의 범용 프로그램인 STAR-CCM+ (Siemens, 2019)을 이용하여 수행하였다. RANS법 기반의 수치해석법으로 일반 상선 프로펠러, 함정 CPP(Controllable Pitch Propeller) 프로펠러 그리고 잠수함의 고스큐 및 펌프젯 추진기의 단독성능 해석에 적용하고 그 결과를 검증한 수치해석 최근 연구들은 문헌에서 찾을 수 있다 (Irannezhada et al., 2024; Kim et al., 2022; Kim et al., 2017; Lin and Hasan, 2023; Lee et al., 2022; Tu, 2019).
회전하는 프로펠러 주위 유동은 비압축성 난류유동(incompressible turbulent flow)으로 가정하고, 유동의 지배방정식으로 연속방정식(continuity equation)과 RANS 방정식을 사용하였다. 여기서, 지배 방정식에 나타나는 Reynolds 응력항은 SST k-ω 난류모형(Menter, 1994)과 벽함수(wall function)기법으로 처리된다. 프로펠러 단독 성능 해석은 균일한 유입 유속 조건을 사용하므로 프로펠러를 직접 회전시키는 방법보다 프로펠러 주위 유동을 회전시키는 상대적으로 계산시간이 짧고 쉬운 수치기법인 MRF(Moving Reference Frame)법을 사용하였다.
원환체 프로펠러 단독성능 수치해석에 사용된 계산영역의 크기는 Fig. 7과 같이 프로펠러 직경 0.25m를 기준으로 폭 방향과 높이 방향으로 12배, 축 방향으로 직경의 16배 크기를 가지도록 하였다. 계산영역의 경계조건으로 프로펠러 표면에서는 유체의 점착조건(no-slip condition)을 적용하고, 유동장의 유입면에 속도 유입 조건(velocity inlet condition), 유출면에서는 압력 유출 조건(pressure outlet condition) 그리고 나머지 경계면은 대칭 경계조건(symmetry condition)을 적용하였다.
Fig. 8은 원환체 프로펠러 단독성능 해석을 위해 사용된 격자를 보여주고 있다. 수치해석 결과의 격자 의존성 검토를 위해 coarse, medium 그리고 fine 격자를 생성하였으며, 각각 2백만, 2.8백만, 4백만 격자수를 가진다. 본 논문에서 y+값 변화에 따른 격자 의존성 검토는 fine 격자에 대해서 수행하였으며, 격자수 변화 검토에서는 세 가지 격자의 유동 경계층 안에 같은 격자수와 격자분포를 사용하여 격자의 y+값을 100으로 고정하였다.
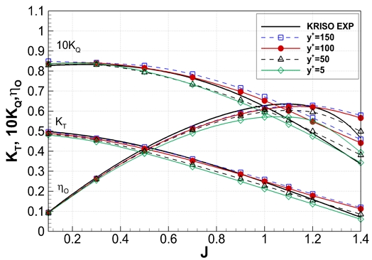
Fig. 9는 격자 의존성 중, 가장 조밀한 fine 격자의 y+값 변화에 대한 원환체 프로펠러에 대한 수치해석 결과의 변화를 KRISO 예인수조에서 수행한 모형시험 결과와 비교하여 보여주고 있다. y+값은 경계층의 점성저층(viscous sub-layer)을 포함하는 5의 값부터 log 벽 법칙이 적용되는 50, 100, 150 값을 고려하였다. 추력계수의 경우 낮은 y+격자 조건에서 모형시험 결과 대비 과소평가하고 있고, y+= 100 격자 조건에서 전진비 변화에 따라 적절한 일치를 보여주고 있다. 토오크계수의 경우 y+= 100을 기준으로 그보다 작은 조건일 때 과소 평가되고 더 큰 조건의 격자에서 과대평가하였다. y+= 5와 50 조건은 전진비 0.3에서 1.0 사이에서 모형시험 결과보다 토오크 값이 작게 추정되었고, y+= 100의 경우 전진비 0.8까지 좋은 일치를 보이다, 그보다 높은 전진비에서 모형시험보다 다소 크게 토오크 값이 추정된 것을 볼 수 있다. y+= 150 격자에서는 y+= 100 조건보다 약간 더 높은 토오크 값 변화를 나타내었다. 효율은 전진비 1.2까지 y+값이 증가할수록 모형시험 결과와 좋은 일치를 보이는 경향을 나타내었다. 추력과 토오크의 결과를 함께 고려했을 때, 대상 원환체 프로펠러의 단독성능 해석은 y+= 100 조건의 격자가 적절한 것으로 판단하였다.
Fig. 10은 y+= 100 조건에서 격자수 변화에 따른 원환체 프로펠러의 단독성능 수치해석 결과의 영향을 보여주고 있다. 추력계수의 경우 격자수 변화에 따라 변화가 작으나, 토오크계수는 격자 간 다소 큰 차이를 보인다. 결과적으로 많은 격자수 fine 격자가 실험과 더 좋은 일치를 보여주고 있다. 한편으로, 수치해석은 1.0 이상의 높은 전진비에서 모형시험과의 차이가 다소 커지는 경향을 보여주고 있다.
Fig. 11은 원환체 프로펠러 단독성능 해석에 사용된 fine 격자를 이용하여 얻은 DTMB P4119 프로펠러 단독성능 수치해석 결과를 Jessup(1989)의 모형시험 결과와 비교하고 있다. 높은 전진비 1 이상에서 효율의 변화를 제외하고 본 수치해석은 모형시험 결과와 만족스러운 일치를 보인다. 기존 프로펠러와 비교하였을 때, Ye et al.(2024)이 소개한 원환체 프로펠러는 비슷한 형상의 DTMB P4119를 포함하여, 최근 연구되고 있는 고효율 계열 프로펠러(Moon et al., 2003)보다 추력이 큰 이점이 있지만, 토오크가 매우 크고 효율이 다소 낮은 것으로 나타났다. Ye et al. (2024)의 원환체 프로펠러가 어떤 대상 선박용으로 설계되었으며, 최적의 설계인지 알려지지는 않았다. 본 논문의 단독성능 결과로 볼 때 실제 적용을 위해서는 대상 원환체 프로펠러의 토오크와 효율의 개선이 필요하다고 판단된다.
Fig. 12는 전진비 1.0에서 원환체 프로펠러 압력면과 흡입면에서 압력분포(a)와 주위 유속 분포와 후류 와류구조(b)를 보여주고 있다. 여기서, (a)의 압력면 그림에서 12시 방향의 오른쪽 날개가 원환체 프로펠러 앞쪽 날개이며 왼쪽이 뒤쪽 날개이다. Table 1에 의하면 Ye et al. (2024)의 원환체 프로펠러의 뒤쪽 날개의 피치비가 더 크며, 유동의 입사각에 기여하는 원주방향 수직각의 분포가 날개의 반경 0.8R 이상에 상대적으로 큰 값 을 가진다. 이 때문에 원환체 프로펠러 뒤쪽 날개가 더 큰 하중을 받는 것을 볼 수 있다. 원환체 프로펠러는 날개 끝 와류 감소의 이점이 있다고 하나, 압력분포에서 날개 끝 주위에서 하중을 비교적 크게 받고 있어, 날개 끝 와류가 많이 감소하지 않은 것으로 보인다. 향후, 원환체 프로펠러의 적용 설계에서는 상기 상황을 적절히 고려할 필요가 있다.
5. 설계 변수 변화와 단독성능 해석
본 절에서는 앞서 모형시험 결과를 바탕으로 검증된 수치해석 접근법을 이용하여 원환체 프로펠러의 주요 설계 변수 변화에 따른 단독성능 변화를 조사한 결과를 소개한다.
5.1 피치각 변화
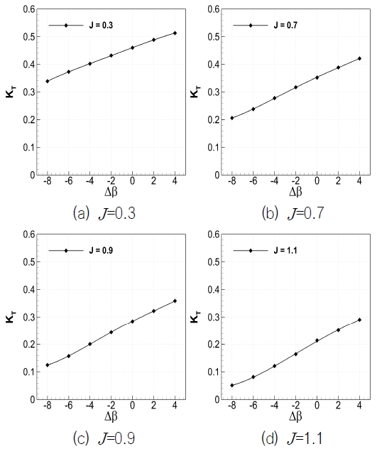
Table 1의 대상 원환체 프로펠러의 반경별 피치비를 피치각(pitch angle, β)으로 환산한 값은 약 14° ~ 69° 범위를 가진다. 기준 피치각 분포에 변화량 Δβ를 가감하여 평균 피치각을 감소하거나 증가시키는 방법으로 피치각을 변화시켰다. 이때, 피치각 분포의 평행이동 범위는 –8° ≤ Δβ ≤ 4°이며, 피치각 변화량은 2° 간격으로 하였다.
Fig. 13은 피치각 변화에 따른 원환체 프로펠러의 단독성능 변화에 대한 수치해석 결과를 보여주고 있다. 피치각 증가는 추력과 토오크의 증가를 동반하고, 이때, 효율의 경우 전진비가 커질수록 증가하는 경향을 나타내었다.
Fig. 14, Fig. 15 그리고 Fig. 16은 주요 전진비 0.3, 0.7, 0.9 그리고 1.1에서 피치각 변화에 따른 추력, 토오크 그리고 효율의 변화를 별도로 살펴본 결과이다. Fig. 14와 15에 나타낸 추력과 토오크는 피치각이 증가함에 따라 대체로 값들이 증가하는 경향을 보였다. 추력의 경우 전진비가 커질수록 피치각 변화에 따른 힘 변화의 기울기가 약간 증가하였고, 토오크도 비슷한 경향을 보였다. 낮은 전진비 0.3에서 효율은 피치각 증가에 따라 감소하는 경향을 Fig. 16에서 볼 수 있으며, 전진비 0.7에서는 전체 피치각 분포를 –2° 감소한 조건에서 가장 큰 효율을 보이고 이보다 작거나 큰 피치각 변화에서 오히려 감소하였다. 전진비 0.9의 경우 기준 피치각 분포까지 피치각이 증가할수록 효율이 증가하고 더 큰 피치각 증가 영역에서는 작은 기울기로 효율이 감소하는 모습을 보였다. 전진비 1.1의 결과도 비슷한 경향을 보이고 있으며, 기준 피치각 분포 이후의 큰 피치각 변화 영역에서 효율의 변화는 크지 않음을 볼 수 있다.
5.2 축간거리 변화
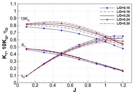
기준 프로펠러의 축간거리(L)는 0.05m이고, 직경으로 무차원화 한 거리, L/D=0.2이다. 본 절에서는 대상 원환체 프로펠러의 L/D를 0.1, 0.16, 0.2, 0.24, 0.3으로 변화시켰을 때 프로펠러 단독성능의 변화를 해석하여 비교한 결과를 소개한다.
Fig. 17은 축간거리의 변화에 따른 원환체 프로펠러의 단독성능 곡선의 변화를 보여주고 있다. 축간거리 증가에 따라 추력이 약간 증가하고, 토오크는 좀 더 큰 변화량으로 증가하는 경향을 보였다. 이때, 효율의 경우 대체로 축간거리가 감소할수록 증가하였다.
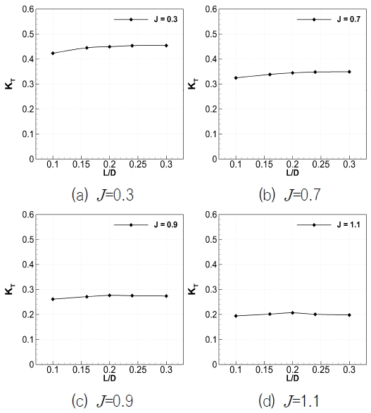
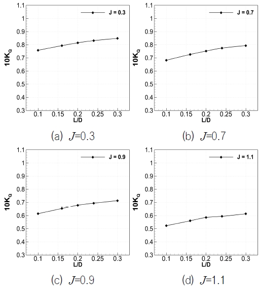
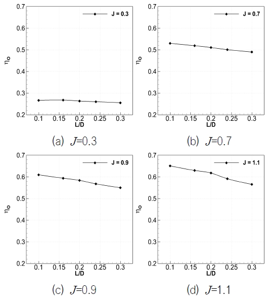
Fig. 18, Fig. 19 그리고 Fig. 20은 주요 전진비 0.3, 0.7, 0.9 그리고 1.1에서 축간거리 변화에 따른 추력, 토오크 그리고 효율의 변화를 별도로 살펴본 결과이다. Fig. 18의 전진비 0.3과 0.7의 조건에서는 축간거리가 증가할수록 추력이 증가하고, 더 큰 축간거리에서 그 값이 수렴하는 경향을 보였다. 큰 전진비 1.1에서는 L/D=0.2까지 추력계수가 증가하다 더 큰 축간거리 조건에서 약간 감소하였다. Fig. 19의 토오크계수는 축간거리가 커짐에 따라 모든 전진비에서 증가하는 경향을 나타내고 있다. 효율 변화의 경우 대체로 축간거리 증가에 따라 감소하였다. 효율의 감소 변화 기울기는 Fig. 20에서 볼 수 있듯이 전진비가 증가할수록 커지고 있다.
Fig. 21은 앞서 전진비 1.1에서 큰 축간거리에 조건에서 추력이 약간 감소한 현상을 축간거리 0.2와 0.3 조건의 원환체 프로펠러 표면 압력분포 차이로 설명하고 있다. 축간거리가 증가할 때 뒤쪽 날개와 간섭이 큰 영역인 원환체 프로펠러 앞쪽 날개의 압력면 끝 부근에서 압력이 떨어지는 현상이 발생하여 추력이 약간 감소한 것으로 보인다. 이는 전진비 조건에 따라 원환체 프로펠러 앞쪽 날개와 뒤쪽 날개의 추력에 대한 긍정적 상호작용 거리의 제한이 있음을 보여준다.
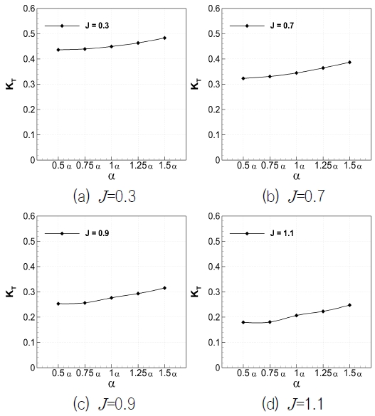
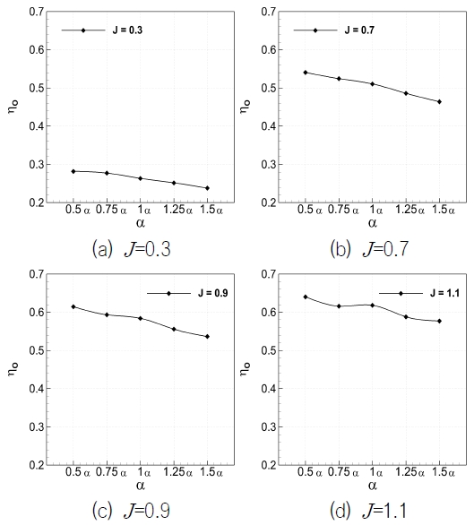
5.3 수직각 변화
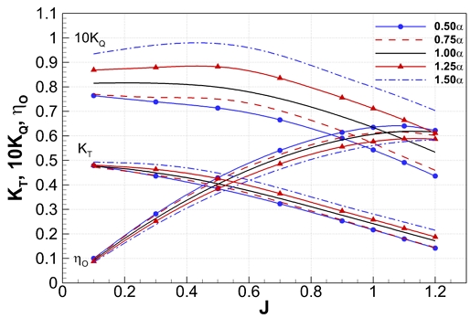
대상 원환체 프로펠러의 수직각(α)은 약 0° ~ 12°의 변화 범위를 가진다. 본 절에서는 대상 원환체 프로펠러의 각 반경에서 기준 수직각을 각각 0.5, 0.75, 1.0, 1.25 그리고 1.5배로 변화시킨 조건에서 수행한 단독성능 해석 결과를 소개한다.
Fig. 22는 수직각 변화에 따른 원환체 프로펠러의 단독성능 곡선의 변화를 보여주고 있다. 수직각이 증가할수록 추력계수가 증가하는 경향을 볼 수 있으며, 이때, 토오크는 좀 더 큰 변화량으로 증가하였다. 반면, 효율은 수직각 증가에 따라 감소하는 추세를 보여주었다.
Fig. 23, Fig. 24 그리고 Fig. 25는 주요 전진비 0.3, 0.7, 0.9 그리고 1.1에서 수직각 변화에 따른 추력, 토오크 그리고 효율의 변화를 별도로 살펴본 결과이다. Fig. 23과 24에서 볼 수 있듯이, 수직각이 증가할수록 추력과 토오크계수는 모든 전진비에서 증가하는 경향을 나타내었다. 이때, 수직각 변화에 따라 토오크가 증가하는 기울기가 더 크기 때문에, 프로펠러의 효율은 Fig. 25와 같이 수직각 증가에 따라 감소하였다. 다만, 전진비 1.1에서는 기준 수직각 조건에서는 효율이 약간 증가하다가 이후, 수직각이 더 증가하면 다시 감소하는 현상을 보인다.
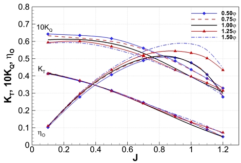
5.4 측각 변화
대상 원환체 프로펠러 기준 측각(ϕ)은 Table 1에서 볼 수 있듯이, 약 -28° ~ 28°의 범위를 가진다. 각 반경의 기준 측각을 각각 0.5, 0.75, 1.25 그리고 1.5배로 변화시키고, 각각의 조건에서 단독성능 변화를 해석하였다. 여기서, 측각 변화는 0.5ϕ, 0.75ϕ, 1.0ϕ, 1.25ϕ 그리고 1.5ϕ로 표시하였다. 앞서 단독성능 분석 결과에서 살펴본 바와 같이, 대상 원환체 프로펠러는 일반 프로펠러에 비해 토오크가 상당히 크다. 특별히, 측각 변화는 대상 프로펠러의 평균 피치각을 –6° 감소시킨 토오크가 작은 피치각 분포 조건에서 수행하여 힘과 효율의 변화 정도를 살펴보고자 하였다. 물론, 피치각 분포가 큰 조건에서 본 수치해석을 수행한다 해도 측각의 변화가 단독성능에 미치는 변화의 경향은 달라지지 않을 것으로 판단된다.
Fig. 26은 측각 변화에 따른 원환체 프로펠러의 단독성능 변화에 대한 수치해석 결과를 보여주고 있다. 측각 증가에 따라 높은 전진비에서 추력이 증가하며, 반면, 토오크는 감소하는 경향을 보였다. 이때, 효율의 경우 대체로 측각이 커질수록 증가하였다.
Fig. 27, Fig. 28 그리고 Fig. 29는 주요 전진비 0.3, 0.7, 0.9 그리고 1.1에서 측각 변화에 따른 추력, 토오크 그리고 효율의 변화를 별도로 살펴본 결과이다. Fig. 27의 낮은 전진비 0.3 조건에서는 측각에 따른 추력의 변화가 크지 않음을 볼 수 있다. 이보다 높은 전진비에서는 기준 측각 조건까지 추력이 약간 감소하다 측각이 더 커지면 추력이 증가하는 추세를 보였다. Fig. 28의 토오크계수는 측각이 커짐에 따라 감소하는 경향을 나타내고 있다. 다만, 높은 전진비 1.1의 측각 1.25φ 조건에서 토오크가 증가하다 이후 다시 감소하는 현상을 보였다. 측각 증가에 따른 토오크가 감소하는 경향은, Fig. 29에서 볼 수 있듯이, 원환체 프로펠러 효율 증가의 결과로 이어졌다.
Fig. 30은 높은 전진비 조건에서 측각이 기준 측각보다 커지면 추력이 증가하는 이유를 전진비 1.1에서 프로펠러 표면 압력분포의 변화로 설명하고 있다. 앞서, 전전비 1.1에서 축간거리가 커지면서 추력이 약간 감소하는 현상과는 반대로 측각이 커지면서 앞쪽 날개와 뒤쪽 날개의 간섭의 영향이 큰 날개 끝의 유동 박리현상이 감소하여 압력면의 압력분포가 개선되어 추력이 증가하였다. 원환체 프로펠러의 경우 앞쪽 날개와 뒤쪽 날개의 유동 간섭의 영향이 서로 인접한 날개 끝 영역에서 큰 것을 볼 수 있으며, 전진비 변화에 따라 그 영향도 변할 수 있음을 알 수 있다.
6. 결 론
본 논문에서는 모형시험과 수치해석을 통해 Ye et al. (2024)이 소개한 원환체 프로펠러의 단독성능을 분석한 결과를 소개하였다. KRISO 예인수조 단독성능 시험 결과를 기반으로 수치해석의 격자 의존성을 검증하고 원환체 프로펠러 설계 변수에 따른 성능에 적절한 수치해석 조건을 결정하였다.
단독성능 분석 결과, 대상 원환체 프로펠러는 일반 프로펠러보다 높은 추력을 내지만, 토오크도 크고 효율이 다소 낮은 성능을 보였으며, 실제 선박 적용을 위해서는 프로펠러의 토오크와 효율에 대한 개선 설계가 필요한 것으로 보였다.
원환체 프로펠러 설계 변수에 따른 단독성능 해석은 피치각, 축간거리, 수직각 그리고 측각을 대상으로 하였다. 피치각 조건의 경우 일반 프로펠러와 유사한 성능 변화 거동을 보였다. 날개의 입사각을 결정하는 변수 중 하나인 수직각은 피치각에 의한 프로펠러 힘의 변화와 유사하지만, 효율의 경우 전체 전진비 영역에서 수직각이 증가하면 더 낮아지는 경향을 보였다. 원환체 프로펠러 앞쪽 날개와 뒤쪽 날개의 간섭에 영향을 미치는 축간거리는 작을수록 효율이 증가하였으며, 측각은 클수록 효율 증가에 유리한 것으로 나타났다.
향후, 본 연구 결과를 바탕으로 개선된 원환체 프로펠러 설계 연구를 수행하고, 기존 일반 프로펠러의 성능과 함께 국부유동을 비교할 예정이다.
Acknowledgments
본 연구는 선박해양플랜트연구소 소형모듈원전(SMR) 추진선박·해양플랜트 개념 설계 연구(PES5490) 과제 지원으로 수행되었습니다.
References
-
Ahn, J.W., Kim, K.S. and Park, Y.H., Park, 2019. Experimental study of the POW characteristics using high-capacity inclined-shaft dynamometer. Journal of the Society of Naval Architects of Korea, 56(2), pp.168-174.
[https://doi.org/10.3744/SNAK.2019.56.2.168]
- Blain, L., Toroidal propellers: a noise-killing game changer in air and water[Online]. (Updated 26 January 2023) Available at:https://newatlas.com/aircraft/toroidal-quiet-propellers/, [Accessed 24 June 2023].
- Hannah, J., 2024. Impact of toroidal propeller design on unmanned aerial vehicle acoustic signature and aerodynamic performance. International Journal of Aeronautical and Space Sciences, 2, pp.1–11.
-
Irannezhada, M., Kjellbergb, M., Bensowa, R.E. and Eslamdoosta A., 2024. Experimental and numerical investigations of propeller open water characteristics in calm water and regular head waves. Ocean Engineering, 302, pp.117703.
[https://doi.org/10.1016/j.oceaneng.2024.117703]
- Jessup, S.D., 1989, An experimental investigation of viscous aspects of propeller blade flow. Ph.D. Thesis, The Catholic University of America.
-
Kim, J.I., Moon, Y.S., Park, I.L., Kim, J.U., Kim, M.C., Seol, H.S. and Ahn, J.W., 2022. A numerical study on the prediction of the open water performance of a pumpjet propulsor. Journal of Computational Fluids Engineering, 27(4), pp.37-45.
[https://doi.org/10.6112/kscfe.2022.27.4.037]
-
Kim, J.I., Park, I.L., Kim, K.S. and Ahn, J.W., 2017. Numerical analysis of non-cavitating and cavitating performance of a SVA potsdam propeller. Journal of the Society of Naval Architects of Korea, 54(3), pp.215-226.
[https://doi.org/10.3744/SNAK.2017.54.3.215]
- Lee, J.H., Kim, M.C., Shin, Y.J., Kang, J.G. and Jang, H.G., 2022. A study on performance of tip rake propeller in propeller open water condition. Journal of Computational Fluids Engineering, 27(4), pp.37-45.
-
Lin, Y.H. and Hasan, A.D., 2023. The CFD simulation of E1619 propeller open-water tests validated by the EFD in the NCKU towing tank. Journal of Mechanics, 39, pp.416-430.
[https://doi.org/10.1093/jom/ufad034]
-
Menter, F.R., 1994, Two-equation eddy-viscosity turbulence models for engineering application. AIAA Journal, 32(8), pp.1598-1605.
[https://doi.org/10.2514/3.12149]
-
Moon, I.S., Kim, G.D., Park, C.S., and Hwang, S.H., 2023, Development of a high-efficiency KRISO series propeller. Journal of the Society of Naval Architects of Korea, 60(4), pp.416-423.
[https://doi.org/10.3744/SNAK.2023.60.6.416]
- Sebastian, T., and Sterm, C., 2020. Toroidal propeller, U.S. Patent CN10836466B2, 17 November 2020.
- Sharrow, 2018. G.C. Propeller, CN, Patent CN108367801A, 3 August 2018.
- Siemense, 2019. STAR-CCM+ 14.04.013 User Guide, [Online] Available at:https://support.sw.siemens.com, [Accessed 01 February 2019].
-
Tu, T.N., 2019. Numerical simulation of propeller open water characteristics using RANSE method. Alexandria Engineering Journal, 58(2), pp.531-537.
[https://doi.org/10.1016/j.aej.2019.05.005]
- Ye, L., Wang, C., Sun, C., Guo, C., 2024. Mathematical expression method for geometric shape of toroidal propeller. Chinese Journal of Ship Research, 19, pp.224–233.






























