Journal of the Society of Naval Architects of Korea
[ Research Paper ]
Journal of the Society of Naval Architects of Korea - Vol. 62, No. 3, pp.169-178
ISSN: 1225-1143 (Print) 2287-7355 (Online)
Print publication date 20 Jun 2025
Received 14 Feb 2025 Revised 12 Mar 2025 Accepted 31 Mar 2025
DOI: https://doi.org/10.3744/SNAK.2025.62.3.169

규칙파에서 KLNG 선형의 선체 표면 압력, 운동 응답 및 부가저항 계측 연구

박동민1 ; 황승현1 ; 권용주1, 2,
1한국해양과학기술원 부설 선박해양플랜트연구소
2서울대학교 조선해양공학과
Experimental Study on Hull Surface Pressure, Motion Response, and Added Resistance Measurements of a KLNG in Regular Waves
Dong-Min Park1 ; Seunghyun Hwang1 ; Yong-Ju Kwon1, 2,
1Korea Research Institute of Ships and Ocean Engineering
2Department of Naval Architecture and Ocean Engineering, Seoul National University

Correspondence to: Yong-Ju Kwon, kwonyj@kriso.re.kr

This is an Open-Access article distributed under the terms of the Creative Commons Attribution Non-Commercial License(http://creativecommons.org/licenses/by-nc/3.0) which permits unrestricted non-commercial use, distribution, and reproduction in any medium, provided the original work is properly cited.

Abstract

This study investigates the hull surface pressure measurement and analysis of the KLNG(KRISO 138K LNG Carrier) hull form under regular wave conditions. The relative wave elevation was measured using resistance-type wave probes, and the hull surface pressure was obtained using strain gauge-type sensors. The global motion responses(heave and pitch) and added resistance, were compared between experimental results and potential-based numerical simulations. The relative wave elevation was analyzed based on the first harmonic component, whereas the hull surface pressure was decomposed into time-averaged added pressure, first harmonic, and second harmonic components to assess their individual characteristics. The measurement data obtained in this study are expected to serve as a valuable experimental benchmark for validating CFD-based analyses of added resistance and hull surface pressure. Furthermore, by quantitatively analyzing the correlation between relative wave elevation and hull surface pressure, this study contributes to a better understanding of the influence of local flow characteristics on seakeeping performance and added resistance.

Keywords:

KLNG(KRISO 138K LNG Carrier), Seakeeping, Pressure, Relative Wave Elevation, Computational Fluid Dynamics(CFD)

키워드:

내항성능, 압력, 상대파고, 전산유체역학

1. 서 론

선박의 내항성능 및 부가저항 해석에는 전통적으로 포텐셜 기반 해석 프로그램이 주로 활용되어 왔다. 포텐셜 기반 해석 기법은 초기의 2D strip method에서 3D panel method로, 그리고 선형(linear)에서 비선형(non-linear) 방법으로 꾸준히 발전해왔다. 최근에는 고성능 컴퓨팅(High Performance Computing, HPC)과 전산유체역학(Computational Fluid Dynamics, CFD)의 급속한 발전으로, 선박의 내항성능 및 부가저항 해석에서 CFD의 활용이 점점 증가하고 있다. 포텐셜 기반 해석 프로그램이 주로 사용되던 시기에는 부가질량(added mass), 감쇠계수(damping coefficient), 파랑 기진력(wave exciting force), 운동응답(motion amplitude and phase), 부가저항 계수(added resistance coefficient) 등이 비교 연구의 주요 지표로 사용되었다. 포텐셜 기반 프로그램은 운동응답 해석 과정에서 부가질량, 감쇠계수, 파랑 기진력을 부수적으로 얻을 수 있다. 반면, 모형시험이나 전산유체역학(CFD)에서는 부가질량, 감쇠계수, 파랑 기진력을 운동응답 해석에서 바로 얻을 수 없다. 이러한 값을 얻기 위해서는 강제 동요(forced oscillation) 또는 구속 조건 하에서의 모형시험 및 해석이 추가적으로 필요하다. 또한, 부가질량, 감쇠계수, 파랑 기진력, 운동응답, 부가저항 계수는 모두 전역(global) 값으로, 전역 데이터만으로 해석 프로그램을 검증하는데 한계가 있다.

CFD 프로그램의 해석 방법 검증에는 전역 값뿐만 아니라 국부적인 값(local values)의 검증이 필수적이다. 선박의 운동과 부가저항은 선박 주변의 유동 변화와 이로 인한 선체 표면 압력 분포에 의해 결정된다. 따라서 선체 표면 압력 비교는 해석 프로그램 검증에 있어 가장 신뢰할 수 있는 방법이다. 그러나 모형시험에서 선체 표면의 압력을 계측하는 것은 기술적 및 물리적 한계로 인해 쉽지 않은 과제이다.

모형시험에서 선체 표면 압력을 계측한 연구는 많지 않다. Tanizawa et al. (1993)은 스트레인 게이지(strain gauge) 타입 센서 15개를 이용하여 VLCC(초대형 원유 운반선) 선체 표면의 압력을 모형시험을 통해 계측하고, 이를 스트립 방법(strip method)과 비교하여 검증 하였다. Chiu et al. (2007)은 스트레인 게이지(strain gauge) 타입 센서 25개를 이용하여 규칙파에서 고속 선박에 작용하는 비선형 압력을 계측한 후, 근사적인 3차 볼테라(approximate third-order Volterra) 모델을 활용하여 비선형 거동을 모델링하였다. Iwashita et al. (2016)Suzuki et al. (2024)은 FBG(Fiber Bragg Grating)라 불리는 광학식(optical type) 센서 379개를 활용하여 벌크선 선체 표면의 압력 분포를 정밀하게 계측하였으며, 이를 바탕으로 파랑 중 선박의 내항성능 및 부가저항 해석에 필요한 검증 데이터를 제공하였다. Yang et al. (2021)은 Rankine 패널 기법과 전산유체 역학(CFD)을 활용하여 선체 표면의 압력을 해석하고, Suzuki et al. (2024)의 모형시험 결과와 비교함으로써 해석 기법의 정확성을 검증하였다. 모형시험에서 선체 표면 압력을 계측한 연구를 살펴보면 스트레인 게이지 타입의 센서를 많이 활용하였으며 최근 FBG 센서를 활용한 연구가 일본에서 수행되었다.

본 연구에서는 선체 표면 압력을 계측하기 위해 스트레인 게이지 타입 센서를 사용하였다. 실험에서는 전역 거동(heave, pitch), 부가저항, 상대파고, 그리고 선체 표면 압력을 계측하였으며, 대상 선형으로 KLNG 선박을 활용하였다. 전역 거동과 부가저항은 포텐셜 기반 수치해석 프로그램과 모형시험 결과를 비교하여 분석하였고, 국부적인 값인 상대파고와 선체 표면 압력은 모형시험 데이터를 분석하였다. 본 연구의 실험 결과는 전산유체역학(CFD)을 활용한 운동응답 및 부가저항 해석 결과의 비교 및 검증에 유용한 데이터를 제공할 것으로 기대된다.


2. 모형시험

2.1 해양공학수조

모형시험은 선박해양플랜트연구소(KRISO) 해양공학수조(Ocean Engineering Basin, OEB)에서 수행되었다. 해양공학수조는 길이 56m, 폭 30m, 깊이 3.2m의 규모로, 규칙파와 불규칙파를 생성할 수 있도록 설계되어 다양한 파랑 조건에서 모형시험을 수행할 수 있다. Fig. 1.은 해양공학수조의 모습을 보여준다.

Fig. 1

Ocean Engineering Basin (OEB)

2.2 대상 선형

대상 선형은 공개 선형인 KLNG(KRISO 138K LNG Carrier)이다. 모형선은 해양공학수조(OEB)의 크기와 파도 생성 조건을 고려하여 1/69 스케일로 제작되었으며, FRP(Fiber-Reinforced Plastic) 소재가 사용되었다. Fig. 2는 모형선의 모습을 보여주며, 주요 제원은 Table 1에 정리되어 있다.

Fig. 2

KLNG model ship

Principal dimensions of KLNG

모형선은 soft-spring을 이용해 견인하였으며, soft-spring의 배치는 Seo et al. (2023)의 방법론을 참고하여 종동요 복원력이 최소화되도록 다이아몬드형으로 설계되었다. Soft-spring의 주요 제원은 Table 2에 제시되어 있다.

Soft-spring information

2.3 선체 표면 압력 계측 위치

선체 표면 압력 계측 위치는 시간 평균 부가 압력(Time-averaged added pressure)이 가장 크게 발생하는 지점을 기준으로 선정하였다. 시간 평균 부가 압력은 아래 수식을 통해서 계산된다.

Δp¯=pwave¯-pcalm water¯(1) 

시간 평균 부가 압력을 선체 표면에 대해 적분하면 부가저항을 구할 수 있다. 본 연구에서 시간 평균 부가 압력은 전산유체역학(Computational Fluid Dynamics, CFD) 해석을 통해서 얻었으며 상용 프로그램 STAR-CCM+를 이용하였다. Fig. 3은 전산유체역학을 통해서 얻은 파장비(λ/L) 1.1조건에서 시간 평균 부가 압력 분포를 나타낸 것이다. 시간 평균 부가 압력 분포를 보면, 전진 속도에 의해서 형성된 선측파형(wave profile along the hull surface) 주변에서 부가 압력이 크게 발생하는 것을 확인할 수 있다. 선측파형은 전진 속도와 관련된 항으로 입사파의 파장 변화와 무관하다. 수선면 아래에서 음의 값이 발생하는 영역도 관찰된다. 이를 바탕으로, 선수부와 선미부에서 시간 평균 부가 압력이 크게 나타나는 위치와, 선수부에서 시간 평균 부가 압력이 음의 값을 가지는 위치를 계측 지점으로 선정하였다. 총 10개의 위치에서 압력을 계측하였으며, 이러한 계측 위치는 정확한 부가 압력 분석을 위해 선정되었다.

Fig. 3

Selection of relative wave elevation and pressure measurement points

선체 표면 압력을 계측하기 위해 스트레인 게이지(strain gauge) 타입의 KISTLER 4567A 센서를 사용하였다. 계측부의 직경은 모형선 기준으로 30mm이며, 계측된 힘을 측정 영역의 면적으로 나누어 압력 값을 산출하였다. 선정된 지점의 좌표는 Table 3에 정리되어 있다. 상대파고 계측 지점은 압력 계측 지점을 피해서 선정하였으며 (Table 4), 계측 방법과 선정 기준은 Park et al. (2023)을 참고하였다. Fig. 4는 상대파고와 압력 센서가 부착된 모형선의 선수부를 보여준다. Fig. 5는 상대파고 계측지점에서 선박의 형상을 나타낸 것이다.

Position of pressure measurement point

Position of relative wave probe

Fig. 4

Model ship for relative wave elevation and pressure measurement

Fig. 5

Body shape at the relative wave elevation measurement locations

2.4 모형시험 조건

모형시험은 규칙파 조건에서 수행되었으며, 시험 조건은 Table 5에 요약되어 있다. 모형선의 속도는 설계 속도인 19.5 knots (Fr=0.196)로 설정하였으며, 파의 진행 방향은 선수파 조건에서 수행하였다. 파고는 선박 길이의 1/100으로 고정하였고, 파장비 (λ/L)는 0.5에서 1.5까지 9개의 조건으로 나누어 시험을 수행하였다.

Regular wave test condition


3. 수치해석

전역(global) 거동 해석 결과를 비교하기 위해, 선박해양플랜트 연구소(KRISO)에서 개발한 포텐셜 기반 해석 프로그램인 AdFLOW(Advanced analysis system for FLOating body in Waves using higher-order element method)를 활용하였다. AdFLOW는 3차원 고차경계요소법(HOBEM, High Order Boundary Element Method)을 기반으로 개발된 주파수 영역 내항 성능 해석 프로그램이다. Fig. 6은 수치해석에서 사용한 패널의 형상을 나타낸 것이다.

Fig. 6

Panel model of KLNG (AdFLOW)

이 프로그램은 zero-speed wave green function을 사용하여 계산을 수행하며, 전진 속도를 고려하기 위해 조우 주파수(encounter frequency) 및 Neumann-Kelvin 선형화 경계 조건을 적용한다. 그러나 이러한 접근 방식은 전진 속도를 정확히 반영하지 못하는 한계를 지니고 있으며, 이는 전진 속도가 높은 조건에서 운동응답 및 부가저항 결과에 영향을 미칠 수 있다.

F2=12ρgWLζI+ζd-ξ3+ξ4Y-ξ5X2Ndl    I-ρSB12ϕI+ϕdϕI+ϕdNdS    II-ρSBδϕI+ϕdtNdS    III-ρSBgξ3+ξ4Y-ξ5X+ϕI+ϕdtN1dS    IV-ρSBgzN2dS-ρSBHXgZNdS    IV(2) 

AdFLOW에서 부가저항은 압력 적분법을 적용하여 계산되었다. 압력 적분법은 Kim and Kim (2010), Park et al. (2014)를 참고하여 위와 같은 식을 적용하였다.

이 식에서 각 성분은 다음과 같은 물리적 의미를 가진다. 첫 번째 성분(I)은 상대파고와 관련된 수선 적분항으로, 파와 선체의 상대위치 변화에 따른 압력 분포를 나타낸다, 두 번째 성분(II)은 유체의 운동 에너지와 관련된 속도 제곱항으로, 유체 속도 변화에 의해 발생하는 압력 성분이다. 세 번째 성분(III)은 선박의 운동에 따른 압력 변화와 관련된 항으로, 선체의 운동과 유체 간 상호작용에 의해 유도된 압력 성분이다. 네 번째 성분(IV)은 선박의 회전 운동에 의한 성분으로, 선체의 회전으로 인한 유체 압력 변화 및 법선 벡터의 변화를 반영한다.

여기서 변위, 1차 법선 벡터, 2차 법선 벡터, 회전 운동과 관련된 좌표 변환 행렬은 다음과 같다.

δ=ξT+ξR×X(3) 
N1=0-ξ6ξ5ξ60-ξ4-ξ5ξ40n1n2n3(4) 
N2=Hn1n2n3(5) 
H=12-ξ52+ξ62002ξ4ξ5-ξ42+ξ6202ξ4ξ62ξ5ξ6-ξ42+ξ52(6) 

4. 모형시험 결과

전역 거동에 대한 모형시험 결과를 분석한 후, 이를 기반으로 국부적인 값을 대한 추가적인 검토를 수행하였다. 전역 거동 결과는 기존 문헌의 연구 결과나 포텐셜 기반 수치해석 결과와 비교하였다.

4.1 정수 중 저항

정수 중 저항은 부가저항 모형시험에서 가장 기본적인 값으로, 이를 먼저 확인하였다. 정수 중 저항 값은 모형선 기준으로 산출되었으며, 해당 결과는 Table 6에 정리되어 있다. 참고 값(reference)은 Kim et al. (2011)을 바탕으로 본 모형선의 스케일에 맞게 추정하였으며, 본 연구에서 도출된 값과 참고 값 간의 차이는 1% 이내로 유사한 값을 보여주었다.

Resistance in calm water (model scale)

4.2 운동 응답

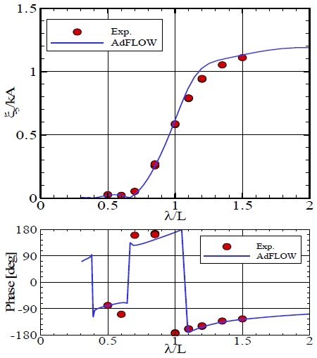
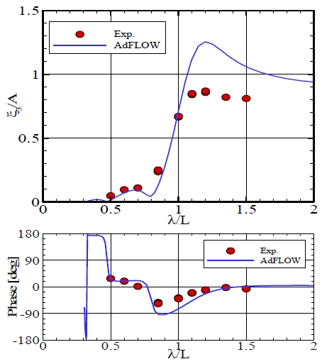
파랑 중에서 전역 운동 응답을 분석하였다. 모형시험은 선수파 조건에서 수행되었으며, 이에 따라 상하동요(heave)와 종동요(pitch)의 운동 응답을 비교하였다. 운동 응답의 크기와 위상은 각각 분석 되었으며, 점으로 표시된 값은 모형시험의 결과를 나타내고, 청색 실선은 포텐셜 해석 프로그램인 AdFLOW의 해석 결과를 나타낸다.

Fig. 7은 상하동요 응답을 나타낸 것이다. 상하동요의 경우, 파장비(λ/L) 1.0 이하에서는 모형시험과 수치해석 결과가 잘 일치하는 경향을 보였다. 그러나 파장비 1.0 이상에서는 수치해석 결과가 모형시험 결과보다 다소 큰 값을 나타내었다. 이러한 경향은 Neumann-Kelvin 선형화 방법을 적용한 포텐셜 해석에서 일반적으로 나타나는 특징으로, Kim and Kim (2010)Lee et al. (2021)에서도 유사한 결과가 보고된 바 있다. 이는 Neumann-Kelvin 선형화 방법이 전진 속도의 영향을 정확하게 반영하지 못하기 때문으로 추정되며 추가적인 연구가 필요하다. Fig. 8은 종동요 응답을 나타낸 것이다. 종동요의 경우, 모형시험 결과와 수치해석 결과가 전반적으로 잘 일치하였으며 이러한 경향 또한 Kim and Kim (2010)Lee et al. (2021)에서도 유사한 결과가 보고된 바 있다.

Fig. 7

Heave motion response (Fr = 0.196)

Fig. 8

Pitch motion response (Fr = 0.196)

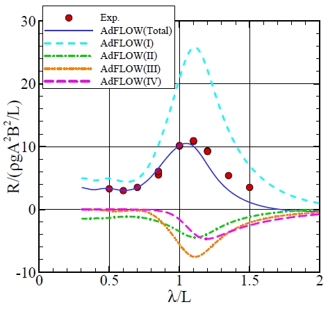
4.3 부가 저항

모형시험에서 부가저항은 파랑 중 저항에서 정수 중 저항을 빼는 방식으로 계산되었다. 반면, 수치해석에서는 식 (2)를 사용하여 부가저항을 산출하였다. Fig. 9는 모형시험 결과와 수치해석 결과를 비교한 부가저항의 값을 나타낸다. 부가저항은 파장비(λ/L) 1.0 이하에서는 모형시험과 수치해석 결과가 전반적으로 잘 일치하였다. 그러나 파장비 1.0 이상에서는 모형시험 결과와 비교하여 수치해석의 부가저항이 상대적으로 작은 값을 나타내었다. 이러한 경향은 앞서 분석한 상하동요(heave)의 영향으로 보인다.

Fig. 9

Added resistance (Fr = 0.196)

수치해석에서 부가저항은 식 (2)를 통해 4가지 성분으로 나누어 계산될 수 있다. Fig. 10은 부가저항을 각 성분별로 구분하여 시각적으로 나타낸 것이다. 첫 번째 성분 (I)은 상대파고와 관련된 수선 적분항으로, 양의 값을 가진다. 상대파고 비교를 통해 모형시험 결과와 수치해석 값을 대략적으로 비교할 수 있으나, 선박 전체에 대한 적분 값을 구하기 위해서는 수선면의 모든 점에서 상대파고를 정확히 알아야 한다. 나머지 성분(II, III, IV)은 모두 음의 값을 가지며, 유체의 운동 에너지, 선박의 병진 운동, 회전 운동에 의한 압력 변화를 나타낸다. 수치해석에서는 위에서 설명한 것과 같이 부가저항 성분을 나눌 수 있다. 그러나 모형시험에서는 이 성분들을 개별적으로 분리하기가 어렵다. 모형시험에서 부가저항을 분석할 수 있는 방법은 상대파고의 비교와 선체 표면의 국부적인 압력을 분석하는 것이다.

Fig. 10

Added resistance components (Fr = 0.196)

4.4 상대 파고

상대파고 계측 및 해석은 Park et al. (2023)의 방법론을 참고하여 모형시험과 결과 해석을 수행하였다. Fig. 11은 상대파고의 1차 성분(1st harmonic)의 크기와 위상을 나타내며, 선수부와 중앙 이후 부분으로 나누어 분석한 결과를 제시한다. Fig. 11에서 (a)는 선수부 부분의 상대파고를, (b)는 중앙 이후 부분의 상대파고를 각각 나타낸다.

Fig. 11

Relative wave elevation at RW1 (Fr = 0.196)

선수부에서는 파장비(λ/L) 1.0~1.2에서 상대파고가 큰 값을 보였으며, 장파장 영역으로 갈수록 상대파고 값이 감소하고, 단파장 영역에서는 일정한 값을 유지하였다. 상대파고의 형상은 부가저항의 형상과 유사한 경향성을 보여준다.

특이한 점으로는 RW1 지점의 상대파고 크기가 RW2 지점보다 작게 나타난 것이다. 일반적으로, 선박 중심에서 멀어질수록 상대파고가 더 커지는 경향이 있기 때문에 RW1의 상대파고가 RW2보다 클 것으로 예상되었으나, 실험 결과는 반대로 나타났다.

Fig. 3을 통해 상대파고의 크기를 정성적으로 유추할 수 있는데, 수선면 위의 시간 평균 부가 압력은 상대파고와 관련된 성분으로, 시간 평균 부가 압력이 큰 부분에서 상대파고가 더 클 것으로 예상할 수 있다. Fig. 3에서 RW1의 시간 평균 부가 압력이 RW2보다 작은 것을 확인할 수 있으며, 이는 Fig. 11 (a)에서 RW1 지점의 상대파고 크기가 RW2보다 작은 결과와 동일한 양상을 보인다. 이러한 차이는 선수부에서 선체 형상의 급격한 변화(Fig. 5)와 구상선수에 의한 교란파의 영향을 받은 결과로 추정되며 추가적인 연구가 필요하다. 중앙 이후 부분의 상대파고는 선수부와 비교하여 크기가 더 작은 경향을 보였다. 특히, 단파장 영역에서 상대파고가 증가하는 경향이 관찰되었는데, 이러한 경향은 선수부에서의 상대파고와는 다른 양상을 나타낸다.

4.5 선체 표면 압력

선체 표면 압력 데이터 해석을 위해 계측 데이터의 후처리 과정이 필요하다. 특히, P1~P6과 같이 수면 위로 노출되는 지점에서 계측된 데이터는 Fig. 12 (a)에서 나타난 것처럼 공기 중에 일부 또는 전체가 노출될 경우 압력이 0 값(Zero value)을 가지지 않고 노이즈 값을 나타낸다. 이 문제를 해결하기 위해 주변의 상대파고 데이터를 활용하여, 계측 지점이 공기 중에 노출되는 경우 해당 구간의 압력을 0으로 보정하는 방식으로 데이터를 수정하였다. 이러한 데이터 처리 방식은 Suzuki et al. (2024)에서도 동일하게 수행된 바 있다. 반면, P7과 같이 항상 물속에 위치하는 지점에서는 압력이 공기 중에 노출되지 않으므로 추가적인 데이터 처리 작업이 필요하지 않았다. 이러한 후처리 과정을 통해 계측 데이터를 정밀하게 보정하였으며, 수면 위 노출로 인한 영향을 배제하여 선체 표면 압력 데이터를 신뢰성 있게 분석할 수 있었다.

Fig. 12

Time histories of pressure on hull surface (Fr = 0.196, λ/L = 1.1)

계측 압력 데이터 분석은 시간 평균 부가 압력, 1차 성분(1st harmonic), 2차 성분(2nd harmonic)으로 구분하여 수행되었다. 모형시험 결과는 다음과 같은 주요 특징을 보였다.

Fig. 13은 P1~P6에서 계측된 압력을 분석한 결과를 나타낸다. P1~P6에서 시간 평균 부가 압력은 거의 유사한 값을 나타내었다. 이는 Fig. 3에서 시간 평균 부가 압력이 큰 지점을 계측 지점으로 선정하였는데, 이 부분의 시간 평균 부가 압력이 유사한 지점이기 때문이다. 위치에 따른 변화를 자세히 살펴보면, 상대 운동이 큰 파장비 1.1 부근에서는 P1이 가장 큰 값을 보였고, 단파장 영역에서는 P6에서 가장 큰 값을 나타내었다. 파장 변화에 따른 경향은 부가저항의 경향과 전반적으로 유사한 패턴을 보였다.

Fig. 13

Magnitude of the harmonic components of pressure at P1 to P6 (Fr = 0.196)

비록 본 연구에서 파장별로 CFD 해석은 수행하지 않았으나, CFD 해석을 통해 부가저항의 국부 값을 검증한다면 유용한 데이터를 제공할 것으로 기대된다.

1차 성분은 시간 평균 부가 압력보다 큰 값을 보였으며, 계측 위치에 따라 상당한 변화를 나타냈다. 파장비 1.1 부근에서 P1에서 P2로 갈수록 크기가 작아지는 경향을 보였다. 2차 성분은 공기 중 노출로 인해 계측 신호가 반파형(half-wave rectified shape)을 가지는 현상이 원인이며, 이는 Fig. 12 (a)에서도 확인된다. 2차 성분의 크기는 1차 성분의 약 30% 수준이며 위치에 따른 큰 변화는 나타나지 않았다.

Fig. 14는 P7~P8에서 계측된 압력 데이터를 분석한 결과를 나타낸다. P7, P8은 공기 중에 노출되지 않는 지점이다. 시간 평균 부가 압력은 파장비 1.0 부근에서 음의 값을 가지며, 이는 Fig. 3에서 관찰된 경향과 동일하다. 1차 성분은 P1~P6와 비교하여 약 2배 큰 값을 나타내었다. 파장비 1.1 부근에서 입사파의 정수압(ρgA)으로 무차원화한 값이 약 4.5로 나타났다. P7과 P8 사이에 있는 상대파고 RW2의 상대파고를 Fig. 11 (a)에서 보면 입사파의 파고로 무차원화한 값이 약 5.0로 나타났다. 이를 통해, 선체 표면에서 계측된 압력은 상대파고에 의한 정수압의 영향이 지배적이며 선박의 운동 및 전진 속도에 의한 동압력(dynamical pressure)의 영향은 상대적으로 작을 것이라고 추론할 수 있다. 2차 성분은 크기가 작으며, P1~P6과 비교했을 때 유사하거나 약간 더 작은 값을 보였다.

Fig. 14

Magnitude of the harmonic components of pressure at P7 to P8 (Fr = 0.196)

Fig. 15는 P9~P10에서 계측된 압력 데이터를 분석한 결과를 나타낸다. P9~P10은 선미 부근의 계측 지점으로, 시간 평균 부가 압력, 1차 성분, 2차 성분 모두 작은 값을 나타내었다. 이는 선미 부분이 부가저항에 미치는 영향이 상대적으로 작다는 것을 의미한다.

Fig. 15

Magnitude of the harmonic components of pressure at P9 to P10 (Fr = 0.196)

이번 분석에서 시간 평균 부가 압력 및 1, 2차 성분에 따른 경향성을 파악하였으며, 위치에 따른 압력 변화와 파장비의 영향을 정성적으로 확인하였다.


5. 결 론

본 연구에서는 KLNG 선형을 대상으로 규칙파 조건에서 선체 표면 압력 계측 실험을 수행하였다. 실험을 통해 전역 거동(상하동요, 종동요), 부가저항, 상대파고, 선체 표면 압력을 계측하였으며, 전역 거동 및 부가저항은 포텐셜 기반 수치해석 결과와 비교 분석을 수행하였다. 이로부터 다음과 같은 결론을 얻었다.

  • - 모형시험과 포텐셜 기반 해석 결과를 비교한 결과, 파장비(λ/L) 1.0 이하에서는 상하동요(heave) 및 부가저항이 비교적 잘 일치하는 경향을 보였다. 반면, 파장비 1.0 이상에서는 수치 해석의 부가저항 값이 모형시험 결과보다 작게 나타나는 경향을 보였으며, 이는 Neumann-Kelvin 선형화 방법의 한계로 인해 전진 속도가 정확히 반영되지 못한 결과로 추정된다.
  • - 상대파고의 1차 성분(1st harmonic)은 부가저항의 경향과 유사한 형태를 나타내었으며, 파장비 1.1 부근에서 상대파고가 가장 큰 값을 가지는 경향을 보였다.
  • - 선체 표면 압력은 위치 및 파장비에 따라 큰 변화를 보였으며, 상대파고가 클수록 선체 표면 압력도 증가하는 경향을 보였다. 본 연구에서는 CFD 해석을 수행하지 않았으나, 향후 CFD 해석을 수행한다면 부가저항 및 국부 압력의 검증 데이터로 활용할 수 있을 것으로 기대된다. 특히, 부가저항을 결정하는 주요 요인 중 하나인 상대파고와 선체 표면 압력을 정량적으로 비교할 수 있는 기초 데이터를 확보하였다.

본 연구에서 획득한 상대파고 및 선체 표면 압력 데이터를 활용하여, 향후 연구에서는 CFD 해석 검증을 수행할 예정이다.

Acknowledgments

본 논문은 해양수산부 재원으로 선박해양플랜트연구소의 주요사업인 “극한환경상태의 선박성능 평가기술 개발”에 의해 수행되었습니다(2520000278, PES5090).

References

  • Chiu, F.C., Tiao, W.C. and Guo, J. 2007. Experimental study on the nonlinear pressure acting on a high-speed vessel in regular waves. Journal of Marine Science and Technology, 12, pp.203–217. [https://doi.org/10.1007/s00773-007-0248-7]
  • Iwashita, H., Kashiwagi, M., Ito, Y., Seki, Y., Yoshida, J. and Wakahara, M. 2016. Measurement of unsteady pressure distributions of a ship advancing in waves. In Proceedings of the Japan Society of Naval Architects and Ocean Engineers, Fukuoka, Japan, 26–27 May, 22, pp.235–238. (In Japanese)
  • Kim, K.H. and Kim, Y. 2010. Comparative study on ship hydrodynamics based on Neumann-Kelvin and double-body linearizations in time-domain analysis. International Journal of Offshore and Polar Engineering, 20(04).
  • Kim, J., Park, I.R., Kim, K.S., Van, S.H. and Kim, Y.C. 2011. Development of a numerical method for the evaluation of ship resistance and self-propulsion performances. Journal of the Society of Naval Architects of Korea, 48(2), pp.147-157. [https://doi.org/10.3744/SNAK.2011.48.2.147]
  • Lee, J.H., Kim, Y., Kim, B.S. and Gerhardt, F. 2021. Comparative study on analysis methods for added resistance of four ships in head and oblique waves. Ocean Engineering, 236, 109552. [https://doi.org/10.1016/j.oceaneng.2021.109552]
  • Park, D.M., Kwon, Y.J., Kim, G.W., Nam, H. and Hwang, S. 2023. A study on relative wave elevation measurement of KSUPRMAX-O in regular waves. Journal of the Society of Naval Architects of Korea, 60(5), pp.305-319. [https://doi.org/10.3744/SNAK.2023.60.5.305]
  • Park, D.M., Seo, M.G., Lee, J., Yang, K.K. and Kim, Y. 2014. Systematic experimental and numerical analyses on added resistance in waves. Journal of the Society of Naval Architects of Korea, 51(6), pp.459-479. [https://doi.org/10.3744/SNAK.2014.51.6.459]
  • Seo, M.G., Park, I.B., Park, D.M. and Hwang, S. 2023. A study on soft-mooring model test techniques for the evaluation of added resistance on ships. Journal of the Society of Naval Architects of Korea, 60(5), pp.320-331. [https://doi.org/10.3744/SNAK.2023.60.5.320]
  • Suzuki, K., Iwashita, H., Kashiwagi, M., Wakahara, M., Iida, T. and Minoura, M. 2024. An innovative EFD using FBG pressure sensors for ship seakeeping. Journal of Marine Science and Technology, pp.1-26. [https://doi.org/10.1007/s00773-024-00986-5]
  • Tanizawa, K., Taguchi, H., Saruta, T. and Watanabe, I. 1993. Experimental study of wave pressure on VLCC running in short waves. Journal of the society of naval architects of japan, 174, pp.233–242. (In Japanese) [https://doi.org/10.2534/jjasnaoe1968.1993.174_233]
  • Yang, K.K., Kim, B.S., Kim, Y., Kashiwagi, M. and Iwashita, H. 2021. Numerical study on unsteady pressure distribution on bulk carrier in head waves with forward speed. Processes, 9(1), pp.171. [https://doi.org/10.3390/pr9010171]
박 동 민

황 승 현

권 용 주

Fig. 1

Fig. 1
Ocean Engineering Basin (OEB)

Fig. 2

Fig. 2
KLNG model ship

Fig. 3

Fig. 3
Selection of relative wave elevation and pressure measurement points

Fig. 4

Fig. 4
Model ship for relative wave elevation and pressure measurement

Fig. 5

Fig. 5
Body shape at the relative wave elevation measurement locations

Fig. 6

Fig. 6
Panel model of KLNG (AdFLOW)

Fig. 7

Fig. 7
Heave motion response (Fr = 0.196)

Fig. 8

Fig. 8
Pitch motion response (Fr = 0.196)

Fig. 9

Fig. 9
Added resistance (Fr = 0.196)

Fig. 10

Fig. 10
Added resistance components (Fr = 0.196)

Fig. 11

Fig. 11
Relative wave elevation at RW1 (Fr = 0.196)

Fig. 12

Fig. 12
Time histories of pressure on hull surface (Fr = 0.196, λ/L = 1.1)

Fig. 13

Fig. 13
Magnitude of the harmonic components of pressure at P1 to P6 (Fr = 0.196)

Fig. 14

Fig. 14
Magnitude of the harmonic components of pressure at P7 to P8 (Fr = 0.196)

Fig. 15

Fig. 15
Magnitude of the harmonic components of pressure at P9 to P10 (Fr = 0.196)

Table 1

Principal dimensions of KLNG

Item Ship Model
Scale ratio 1 1/69
LBP(L) [m] 266.0 3.855
B [m] 42.6 0.617
T [m] 11.3 0.164
▽ [m3] 95,940 0.292
LCB [m] 1.04 0.015
KG [m] 16.5 0.239
GM [m] 2.7 0.039
kxx [m] 12.78 0.185
kyy, kzz [m] 63.84 0.925

Table 2

Soft-spring information

Item Spring stiffness
[N/m]
Pretension
[N]
Position1
(Model)
[m]
Position2
(Towing point)
[m]
M1 120.0 90.3 2.158, 0.0, 0.075 -0.155, 1.795, 0.075
M2 2.158, 0.0, 0.075 -0.155, -1.795, 0.075
M3 -2.468, 0.0, 0.075 -0.155, -1.795, 0.075
M4 -2.468, 0.0, 0.075 -0.155, 1.795, 0.075

Table 3

Position of pressure measurement point

Item X position from AP* / L Y position from CL* / B Z position from BL* / T
AP* : After perpendicular
CL* : Center line
BL* : Base line
P1 0.951 0.081 1.250
P2 0.932 0.135 1.244
P3 0.912 0.198 1.201
P4 0.893 0.261 1.140
P5 0.872 0.323 1.067
P6 0.853 0.373 0.994
P7 0.951 0.097 0.652
P8 0.932 0.133 0.634
P9 0.077 0.373 1.091
P10 0.024 0.225 1.140

Table 4

Position of relative wave probe

Item X position from AP / L
RW1 0.991
RW2 0.943
RW3 0.900
RW4 0.863
RW5 0.800
RW6 0.750
RW7 0.500
RW8 0.150
RW9 0.100
RW10 0.000

Table 5

Regular wave test condition

Speed
[Fr]
Heading angle
[deg.]
Wave height
[H/L]
Wave length
[λ/L]
0.196 180.0 1/100 0.5, 0.6, 0.7, 0.85, 1.0, 1.1, 1.2, 1.35, 1.5

Table 6

Resistance in calm water (model scale)

Item Ctm [10-3] Error[%]
Reference 4.424 -
Exp. 4.465 0.94